(Milbemycin Oxime for Veterinary Use, Ph. Eur. monograph 2536)
129496-10-2
DEFINITION
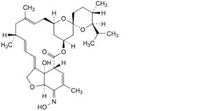
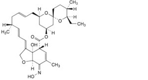
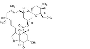
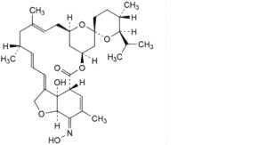
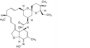
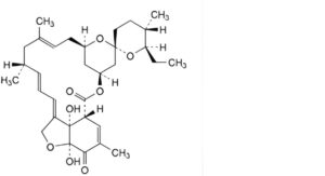
Mixture of (2aE,2′R,2a1 S,4E,5′S,6R,6′R,8E,11R,15S,17aR,20Z,20aR)-6′-ethyl-2a1 -hydroxy-20-(hydroxyimino)-5′,6,8,19- tetramethyl-2a1 ,3′,4′,5′,6,6′,7,10,11,14,15,17a,20,20a-tetradecahydrospiro[2H,17H-11,15-methanofuro[4,3,2-pq] [2,6]benzodioxacyclooctadecine-13,2′-pyran]-17-one (milbemycin A4 oxime) and (2aE,2′R,2a1 S,4E,5′S,6R,6′R,8E,11R,15S,17aR,20Z,20aR)-2a1 -hydroxy-20-(hydroxyimino)-5′,6,6′,8,19-pentamethyl-2a,3′,4′,5′,6,6′,7,10,11,14,15,17a,20,20a-tetradecahydrospiro[2H,17H-11,15-methanofuro[4,3,2-pq] [2,6]benzodioxacyclooctadecine-13,2′-pyran]-17-one (milbemycin A3 oxime).
Semi-synthetic product derived from a fermentation product.
Content
— milbemycin oxime (A4 + A3): 95.0 per cent to 102.0 per cent (anhydrous substance);
— ratio A4/ (A4 + A3): minimum 0.80.
CHARACTERS
Appearance
White or almost white or light yellow, amorphous powder.
Solubility
Practically insoluble in water, very soluble in acetonitrile, in anhydrous ethanol and in ethyl acetate.
IDENTIFICATION
A. Infrared absorption spectrophotometry (2.2.24).
Comparison: milbemycin oxime CRS.
B. Examine the chromatograms obtained in the assay.
Results: The 2 principal peaks in the chromatogram obtained with the test solution are similar in retention time and size to the 2 principal peaks in the chromatogram obtained with reference solution (a).
TESTS
Related substances
Liquid chromatography (2.2.29).
Solvent mixture: Mix 25 volumes of a 0.5 g/L solution of phosphoric acid R and 75 volumes of acetonitrile R.
Test solution: Dissolve 40.0 mg of the substance to be examined in the solvent mixture and dilute to 200.0 mL with the solvent mixture. NOTE: this solution is stable for 72 h if stored at 2-8 °C protected from light.
Reference solution (a): Dissolve 40.0 mg of milbemycin oxime CRS in the solvent mixture and dilute to 200.0 mL with the solvent mixture.
Reference solution (b): Dissolve 2 mg of milbemycin oxime for system suitability CRS (containing impurities E, F, G, H and I) in the solvent mixure and dilute to 10 mL with the solvent mixture.
Reference solution (c): Dilute 1.0 mL of the test solution to 100.0 mL with the solvent mixture.
Column:
— size: l = 0.1 m, Ø = 3.0 mm;
— stationary phase: base-deactivated end-capped octadecylsilyl silica gel for chromatography R (3 μm);
— temperature: 35 °C.
Mobile phase:
— mobile phase A: water for chromatography R;
— mobile phase B: methanol R1;
| Time (min) |
Mobile phase A (per cent V/V) |
Mobile phase B (per cent V/V) |
| 0 – 2 | 26.0 | 74.0 |
| 2 – 27 | 26.0 → 24.5 | 74.0 → 75.5 |
| 27 – 47 | 24.5 | 75.5 |
Flow rate 0.5 mL/min.
Detection Spectrophotometer at 240 nm.
Injection 10 μL of the test solution and reference solutions (b) and (c).
Identification of impurities Use the chromatogram supplied with milbemycin oxime for system suitability CRS and the chromatogram obtained with reference solution (b) to identify the peaks due to impurities E, F, G, H and I.
Relative retention With reference to milbemycin A3 oxime (retention time = about 20 min): impurity B = about 0.89; impurity F = about 1.09; impurity D = about 1.13; impurity H = about 1.17; impurity A = about 1.25; impurity I = about 1.33; milbemycin A4 oxime = about 1.43; impurity E = about 1.51; impurity C = about 1.90; impurity G = about 2.18.
System suitability Reference solution (b):
— peak-to-valley ratio: minimum 3.0, where Hp = height above the baseline of the peak due to impurity F and Hv = height above the baseline of the lowest point of the curve separating this peak from the peak due to milbemycin A3 oxime; minimum 3.0, where Hp = height above the baseline of the peak due to impurity E and Hv = height above the baseline of the lowest point of the curve separating this peak from the peak due to milbemycin A4 oxime.
Calculation of percentage contents:
— for each impurity, use the concentration of milbemycin oxime and the sum of the peak areas due to milbemycin A3 oxime and milbemycin A4 oxime in reference solution (c).
Limits:
— impurity G: maximum 2.0 per cent;
— impurity E: maximum 0.7 per cent;
— impurities H, I: for each impurity, maximum 0.5 per cent;
— any other impurity: for each impurity, maximum 0.3 per cent;
— total: maximum 3.5 per cent;
— reporting threshold: 0.10 per cent.
Water (2.5.12)
Maximum 2.0 per cent, determined on 0.500 g.
ASSAY
Liquid chromatography (2.2.29) as described in the test for related substances with the following modification.
Injection 10 μL of the test solution and reference solution (a).
Calculate the percentage content of milbemycin oxime (A3 + A4) and the ratio A4
/ (A3 + A4) using the chromatogram obtained with reference solution (a) and taking into account the assigned content of milbemycin A3 oxime and milbemycin A4 oxime in milbemycin oxime CRS.
STORAGE
In an airtight container, protected from light.
IMPURITIES
Specified impurities E, G, H, I.
Other detectable impurities (the following substances would, if present at a sufficient level, be detected by one or other of the tests in the monograph. They are limited by the general acceptance criterion for other/unspecified impurities. It is therefore not necessary to identify these impurities for demonstration of compliance. See also 5.10. Control of impurities in substances for pharmaceutical use) A, B, C, D, F.

A. (2aE,2′R,2a1 S,4E,5′S,6R,6′R,8E,11R,15S,17aR,20R,20aR)-6′-ethyl-2a1 ,20-dihydroxy-5′,6,8,19-tetramethyl-2a1,3′,4′,5′,6,6′,7,10,11,14,15,17a,20,20a-tetradecahydrospiro[2H,17H-11,15-methanofuro[4,3,2-pq] [2,6]benzodioxacyclooctadecine-13,2′-pyran]-17-one (milbemycin A4),

B. (2aE,2′R,2a1 S,4E,5′S,6R,6′R,8E,11R,15S,17aR,20R,20aR)-2a1 ,20-dihydroxy-5′,6,6′,8,19-pentamethyl-2a1,3′,4′,5′,6,6′,7,10,11,14,15,17a,20,20a-tetradecahydrospiro[2H,17H-11,15-methanofuro[4,3,2-pq] [2,6]benzodioxacyclooctadecine-13,2′-pyran]-17-one (milbemycin A3),

C. (2aE,2′R,2a1 S,4E,5′S,6R,6′R,8E,11R,15S,17aR,20R,20aR)- 2a1 ,20-dihydroxy-5′,6,8,19-tetramethyl-6′-(1-methylethyl)-2a1 ,3′,4′,5′,6,6′,7,10,11,14,15,17a,20,20a-tetradecahydrospiro[2H,17H-11,15-methanofuro[4,3,2-pq][2,6]benzodioxacyclooctadecine-13,2′-pyran]-17-one (milbemycin D),

D. (2aE,2′R,2a1 S,4E,5′S,6R,6′R,8E,11R,15S,17aR,20R,20aR)-2a1 -hydroxy-20-methoxy-5′,6,6′,8,19-pentamethyl-2a1,3′,4′,5′,6,6′,7,10,11,14,15,17a,20,20a-tetradecahydrospiro[2H,17H-11,15-methanofuro[4,3,2-pq][2,6]benzodioxacyclooctadecine-13,2′-pyran]-17-one (milbemycin B2),

E. (2aE,2′R,2a1 S,4E,5′S,6R,6′R,8E,11R,15S,17aR,20aS)-6′-ethyl-2a1 -hydroxy-5′,6,8,19-tetramethyl-2a1,3′,4′,5′,6,6′,7,10,11,14,15,17a,20,20a-tetradecahydrospiro[2H,17′-11,15-methanofuro[4,3,2-pq] [2,6]benzodioxacyclooctadecine-13,2′-pyran]-17,20-dione (20-oxomilbemycin A4),

F. (2aE,2′R,2a S,4E,5′S,6R,6′R,8E,11R,15S,17aR,20aS)-2a1 -hydroxy-5′,6,6′,8,19-pentamethyl-2a1,3′,4′,5′,6,6′,7,10,11,14,15,17a,20,20a-tetradecahydrospiro[2H,17H-11,15-methanofuro[4,3,2-pq] [2,6]benzodioxacyclooctadecine-13,2′-pyran]-17,20-dione (20-oxomilbemycin A3),

G. (2aE,2′R,2a1 S,4E,5′S,6R,6′R,8E,11R,15S,17aR,20Z,20aR)-2a1 -hydroxy-20-(hydroxyimino)-5′,6,8,19-tetramethyl-6′-(1-methylethyl)-2a,3′,4′,5′,6,6′,7,10,11,14,15,17a,20,20a-tetradecahydrospiro[2H,17H-11,15-methanofuro[4,3,2-pq] [2,6]benzodioxacyclooctadecine-13,2′-pyran]-17-one (milbemycin D oxime),

H. (2aE,2′R,2a1 S,4E,5′S,6R,6′R,8E,11R,15S,17aR,20Z,20aR)-6′-ethyl-2a1 -hydroxy-20-(hydroxyimino)-5′,6,19-trimethyl-2a1,3′,4′,5′,6,6′,7,10,11,14,15,17a,20,20a-tetradecahydrospiro[2H,17H-11,15-methanofuro[4,3,2-pq][2,6]benzodioxacyclooctadecine-13,2′-pyran]-17-one (8-desmethylmilbemycin A4 oxime),

I. (2aE,2′R,2a1 S,4E,5′S,6R,6′R,8E,11R,15S,17aR,20aR)-6′-ethyl-2a1 ,20a-dihydroxy-5′,6,8,19-tetramethyl-2a1,3′,4′,5′,6,6′,7,10,11,14,15,17a,20,20a-tetradecahydrospiro[2H,17H-11,15-methanofuro[4,3,2-pq][2,6]benzodioxacyclooctadecine-13,2′-pyran]-17,20-dione (20a-hydroxy-20-oxomilbemycin A4).






