Edition: BP 2025 (Ph. Eur. 11.6 update)
(Ph. Eur. monograph 1343)

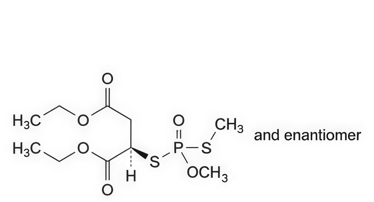
C10H19O6PS2 330.4 121-75-5
Action and use
Organophosphorus insecticide.
Preparations
Malathion Lotion
Malathion Shampoo
Ph Eur
DEFINITION
Diethyl (2RS)-2-(dimethoxyphosphinodithioyl)butanedioate.
Content
98.0 per cent to 102.0 per cent (anhydrous substance).
CHARACTERS
Appearance
Clear, colourless or slightly yellowish liquid.
Solubility
Slightly soluble in water, miscible with acetone, with cyclohexane, with ethanol (96 per cent) and with vegetable oils.
It solidifies at about 3 °C.
IDENTIFICATION
Infrared absorption spectrophotometry (2.2.24).
Comparison malathion CRS.
TESTS
Relative density (2.2.5)
1.220 to 1.240.
Optical rotation (2.2.7)
-0.1° to + 0.1°.
Dissolve 2.50 g in ethanol (96 per cent) R and dilute to 25.0 mL with the same solvent.
Related substances
Liquid chromatography (2.2.29).
Solvent mixture water R, acetonitrile R (1:3 V/V).
Test solution (a) Dissolve 0.10 g of the substance to be examined in the solvent mixture and dilute to 5.0 mL with the solvent mixture.
Test solution (b) Dilute 1.0 mL of test solution (a) to 10.0 mL with the solvent mixture.
Reference solution (a) Dissolve 0.100 g of malathion CRS in the solvent mixture and dilute to 50.0 mL with the solvent mixture.
Reference solution (b) Dilute 0.5 mL of test solution (a) to 100.0 mL with the solvent mixture.
Reference solution (c) Dissolve 5.0 mg of malathion impurity A CRS and 5.0 mg of malathion impurity B CRS in the solvent mixture, then dilute 50.0 mL with the solvent mixture.
Reference solution (d) Dilute 2.0 mL of reference solution (c) to 10.0 mL with the solvent mixture.
Column:
— size: l = 0.15 m, Ø = 4.6 mm;
— stationary phase: octadecylsilyl silica gel for chromatography R (10 μm);
— temperature: 35 °C.
Mobile phase acetonitrile R, water R (45:55 V/V).
Flow rate 1 mL/min.
Detection Spectrophotometer at 210 nm.
Injection 20 μL of test solution (a) and reference solutions (b), (c) and (d).
Retention time Impurity B = about 3.5 min; impurity A = about 5 min; malathion = about 16 min.
System suitability Reference solution (c):
— resolution: minimum 2.0 between the peaks due to impurities B and A.
Limits:
— impurity A: not more than 3 times the area of the corresponding peak in the chromatogram obtained with reference solution (d) (0.3 per cent);
— impurity B: not more than the area of the corresponding peak in the chromatogram obtained with reference solution (d) (0.1 per cent);
— sum of impurities other than A and B: not more than twice the area of the principal peak in the chromatogram obtained with reference solution (b) (1 per cent);
— disregard limit: 0.1 times the area of the principal peak in the chromatogram obtained with reference solution (b) (0.05 per cent).
Water (2.5.12)
Maximum 0.1 per cent, determined on 2.000 g.
ASSAY
Liquid chromatography (2.2.29) as described in the test for related substances with the following modifications.
Injection Test solution (b) and reference solution (a).
System suitability Reference solution (a):
— repeatability: maximum relative standard deviation of 1.0 per cent after 6 injections.
Calculate the percentage content of C10H19O6PS2 from the declared content of malathion CRS.
STORAGE
In an airtight container, protected from light.
IMPURITIES
Specified impurities A, B.
Other detectable impurities (the following substances would, if present at a sufficient level, be detected by one or other of the tests in the monograph. They are limited by the general acceptance criterion for other/unspecified impurities and/or by the general monograph Substances for pharmaceutical use (2034). It is therefore not necessary to identify these impurities for demonstration of compliance. See also 5.10.
Control of impurities in substances for pharmaceutical use) C.

A. diethyl (2RS)-2-[(methoxy)(methylsulfanyl)-S-phosphinothioyl]butanedioate (isomalathion),

B. diethyl (2RS)-2-(dimethoxy-S-phosphinothioyl)butanedioate (maloxon),

C. ethyl and methyl (2RS)-2-(dimethoxyphosphinodithioyl)butanedioate (methyl analogue).
Ph Eur






