Edition: BP 2025 (Ph. Eur. 11.6 update)

(Ph. Eur. monograph 1446)
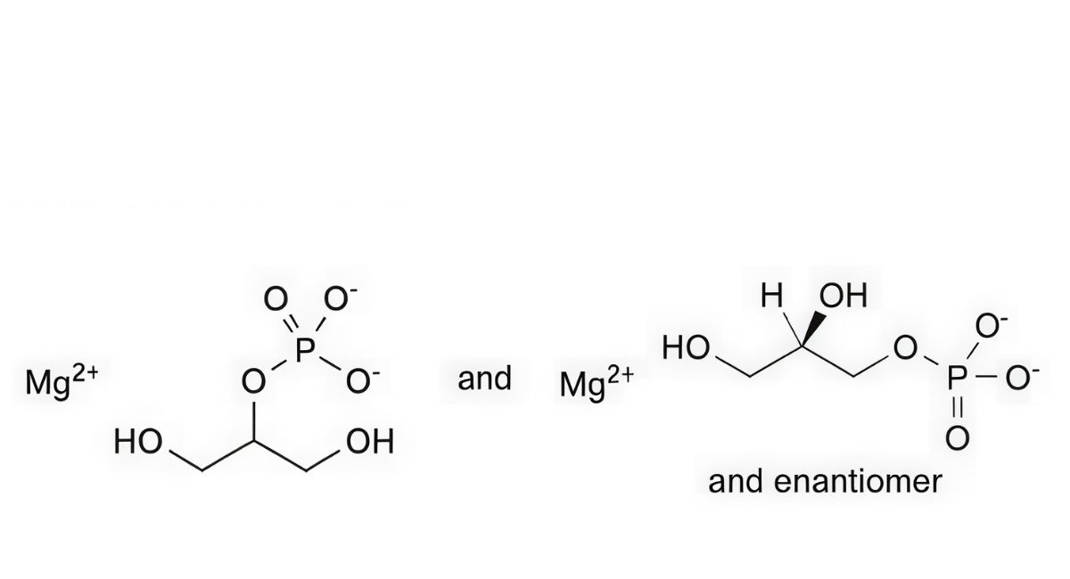
C3H7MgO6P 194.4
Action and use
Excipient.
Preparations
Magnesium Glycerophosphate Chewable Tablets
Magnesium Glycerophosphate Oral Solution
Ph Eur
DEFINITION
Mixture, in variable proportions, of magnesium salts of (RS)-2,3-dihydroxypropyl phosphate and 2-hydroxy-1-(hydroxymethyl)ethyl phosphate, which may be hydrated.
Content
11.0 per cent to 12.5 per cent of Mg (dried substance).
CHARACTERS
Appearance
White or almost white powder, hygroscopic.
Solubility
Practically insoluble in ethanol (96 per cent). It dissolves in dilute solutions of acids.
IDENTIFICATION
A. Mix 1 g with 1 g of potassium hydrogen sulfate R in a test tube fitted with a glass tube. Heat strongly and direct the white vapour towards a piece of filter paper impregnated with a freshly prepared 10 g/L solution of sodium nitroprusside R. The filter paper develops a blue colour in contact with piperidine R.
B. Ignite 0.1 g in a crucible. Take up the residue with 5 mL of nitric acid R and heat on a water-bath for 1 min. Filter. The filtrate gives reaction (b) of phosphates (2.3.1).
C. It gives the reaction of magnesium (2.3.1).
TESTS
Solution S
Dissolve 2.5 g in carbon dioxide-free water R prepared from distilled water R and dilute to 50 mL with the same solvent.
Appearance of solution
Solution S is not more opalescent than reference suspension III (2.2.1).
Acidity
Dissolve 1.0 g in 100 mL of carbon dioxide-free water R. Add 0.1 mL of phenolphthalein solution R. Not more than 1.5 mL of 0.1 M sodium hydroxide is required to change the colour of the indicator.
Glycerol and ethanol (96 per cent)-soluble substances
Maximum 1.5 per cent.
Shake 1.0 g with 25 mL of ethanol (96 per cent) R for 2 min. Filter and wash the residue with 5 mL of ethanol (96 per cent) R. Combine the filtrate and the washings, evaporate to dryness on a water-bath and dry the residue at 70 °C for 1 h. The residue weighs a maximum of 15 mg.
Chlorides (2.4.4)
Maximum 0.15 per cent.
Dissolve 1.0 g in water R and dilute to 100 mL with the same solvent. Dilute 3.5 mL of this solution to 15 mL with water R.
Phosphates (2.4.11)
Maximum 0.5 per cent.
Dilute 4 mL of solution S to 100 mL with water R. Dilute 1 mL of this solution to 100 mL with water R.
Sulfates (2.4.13)
Maximum 0.1 per cent.
Dilute 3 mL of solution S to 15 mL with distilled water R.
Iron (2.4.9)
Maximum 150 ppm.
Dissolve 67 mg in water R and dilute to 10 mL with the same solvent.
Loss on drying (2.2.32)
Maximum 12.0 per cent, determined on 1.000 g by drying in an oven at 150 °C for 4 h.
ASSAY
Dissolve 0.200 g in 40 mL of water R. Carry out the complexometric titration of magnesium (2.5.11).
1 mL of 0.1 M sodium edetate is equivalent to 2.431 mg of Mg.
STORAGE
In an airtight container.
Ph Eur






