Edition: BP 2025 (Ph. Eur. 11.6 update)
(Ph. Eur. monograph 2161)

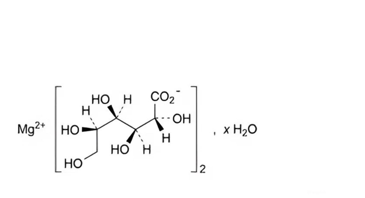
C12H22MgO14,xH2O 414.6 (anhydrous substance)
Ph Eur
DEFINITION
Anhydrous or hydrated magnesium bis[(2R,3S,4R,5R)-2,3,4,5,6-pentahydroxyhexanoate] (anhydrous or hydrated magnesium di(D-gluconate)).
Content
98.0 per cent to 102.0 per cent (anhydrous substance).
CHARACTERS
Appearance
White or almost white, amorphous, hygroscopic, crystalline or granular powder.
Solubility
Freely soluble in water, slightly soluble in ethanol (96 per cent), very slightly soluble in methylene chloride.
IDENTIFICATION
A. Thin-layer chromatography (2.2.27).
Test solution Dissolve 20 mg of the substance to be examined in 1 mL of water R.
Reference solution Dissolve 20 mg of calcium gluconate CRS in 1 mL of water R, heating if necessary in a water-bath at 60 °C.
Plate TLC silica gel plate R (5-40 μm) [or TLC silica gel plate R (2-10 μm)].
Mobile phase concentrated ammonia R, ethyl acetate R, water R, ethanol (96 per cent) R (10:10:30:50 V/V/V/V).
Application 1 μL.
Development Over 3/4 of the plate.
Drying At 105 °C for 20 min, then allow to cool to room temperature.
Detection Spray with a solution containing 25 g/L of ammonium molybdate R and 10 g/L of cerium sulfate R in dilute sulfuric acid R, then heat at 105 °C for about 10 min.
Results The principal spot in the chromatogram obtained with the test solution is similar in position, colour and size to the principal spot in the chromatogram obtained with the reference solution.
B. To 10 mL of solution S (see Tests) add 3 mL of ammonium chloride solution R. A slight opalescence may be observed. Add 10 mL of disodium hydrogen phosphate solution R. A white precipitate is formed that does not dissolve upon the addition of 2 mL of dilute ammonia R1.
TESTS
Solution S
Dissolve 1.0 g in water R and dilute to 50 mL with the same solvent.
Appearance of solution
Solution S is clear (2.2.1) and not more intensely coloured than reference solution Y7 (2.2.2, Method II).
Sucrose and reducing sugars
Dissolve 0.5 g in a mixture of 2 mL of hydrochloric acid R1 and 10 mL of water R. Boil for 5 min, allow to cool, add 10 mL of sodium carbonate solution R and allow to stand for 10 min. Dilute to 25 mL with water R and filter. To 5 mL of the filtrate add 2 mL of cupri-tartaric solution R and boil for 1 min. Allow to stand for 2 min. No red precipitate is formed.
Chlorides (2.4.4)
Maximum 500 ppm.
Dilute 5 mL of solution S to 15 mL with water R.
Sulfates (2.4.13)
Maximum 500 ppm.
Dissolve 2.0 g in a mixture of 10 mL of acetic acid R and 90 mL of distilled water R.
Water (2.5.32)
Maximum 12.0 per cent, determined on 80 mg.
Microbial contamination
TAMC: acceptance criterion 10 CFU/g (2.6.12).
TYMC: acceptance criterion 10 CFU/g (2.6.12).
ASSAY
Dissolve 0.350 g in 100 mL of water R and carry out the complexometric titration of magnesium (2.5.11).
1 mL of 0.1 M sodium edetate is equivalent to 41.46 mg of C12H22MgO14.
STORAGE
In an airtight container.






