BP 2025 (Ph. Eur. 11.6 update)
Action and use
Non-ionic surfactant.
Ph Eur
DEFINITION
Mixture of mainly monoesters and diesters of 12-hydroxystearic ((12≡)-hydroxyoctadecanoic) acid and macrogols obtained by ethoxylation of 12-hydroxystearic acid. The number of moles of ethylene oxide reacted per mole of 12-hydroxystearic acid is 15 (nominal value). It contains free macrogols.
CHARACTERS
Appearance
Yellowish, waxy mass.
Solubility
Very soluble in water, soluble in ethanol (96 per cent), insoluble in liquid paraffin.
It solidifies at about 25°C.
IDENTIFICATION
A. Thin-layer chromatography (2.2.27).
Test solution To 1.0 g add 100 mL of a 100 g/L solution of potassium hydroxide R and boil under a reflux condenser for 30 min. Acidify the warm solution with 20 mL of hydrochloric acid R and cool to room temperature. Shake the mixture with 50 mL of ether R and allow to stand until a separation of the layers is visible. Separate the clear upper layer, add 5 g of anhydrous sodium sulfate R, wait for 30 min, filter and evaporate to dryness on a water-bath. Dissolve 50 mg of the residue in 25 mL of ether R.
Reference solution Dissolve 50 mg of 12-hydroxystearic acid R in 25 mL of methylene chloride R.
Plate TLC octadecylsilyl silica gel plate R.
Mobile phase methylene chloride R, glacial acetic acid R, acetone R (10:40:50 V/V/V).
Application 2 μL.
Development Over 2/3 of the plate.
Drying In a current of cold air.
Detection Spray with a 80 g/L solution of phosphomolybdic acid R in 2-propanol R and heat at 120°C for 1-2 min.
Results The principal spot in the chromatogram obtained with the test solution is similar in position and colour to the principal spot in the chromatogram obtained with the reference solution.
B. Dissolve 15.0 g in 50 mL of water R. The viscosity (2.2.9) has a maximum of 20 mPa-s.
C. Free macrogols (see Tests).
TESTS
Appearance of solution
The solution is not more opalescent than reference suspension III (2.2.1) and not more intensely coloured than reference solution B6 or BY6 (2.2.2, Method II).
Dissolve 2.0 g in water R and dilute to 20 mL with the same solvent.
Acid value (2.5.1)
Maximum 1.0, determined on 2.0 g.
Hydroxyl value (2.5.3, Method A)
90 to 110.
Iodine value (2.5.4, Method A)
Maximum 2.0.
Peroxide value (2.5.5, Method A)
Maximum 5.0.
Saponification value (2.5.6)
53 to 63.
Free macrogols
Size-exclusion chromatography (2.2.30).
Test solution Dissolve 1.20 g of the substance to be examined in the mobile phase and dilute to 250.0 mL with the mobile phase.
Reference solution (a) Dissolve about 0.4 g of macrogol 1000 R in the mobile phase and dilute to 250.0 mL with the mobile phase.
Reference solution (b) Dilute 50.0 mL of reference solution (a) to 100.0 mL with the mobile phase.
Precolumns (2):
- size: l = 0.125 m, Ø = 4 mm;
- stationary phase: spherical octadecylsilyl silica gel for chromatography R (5 μm) with a pore size of 10 nm.
Column:
- size: l = 0.30 m, Ø = 7.8 mm;
- stationary phase: hydroxylated polymethacrylate gel R (6 μm) with a pore size of 12 nm.
Connect both precolumns to the column using a 3-way valve and switch the mobile phase flow according to the following programme:
- 0-114 s: precolumn 1 and column;
- 115 s to the end: precolumn 2 and column;
- 115 s to 7 min: flow back of precolumn 1.
Mobile phase water for chromatography R, methanol R (20:80 V/V).
Flow rate 1.1 mL/min.
Detection Refractometer.
Injection 50 μL.
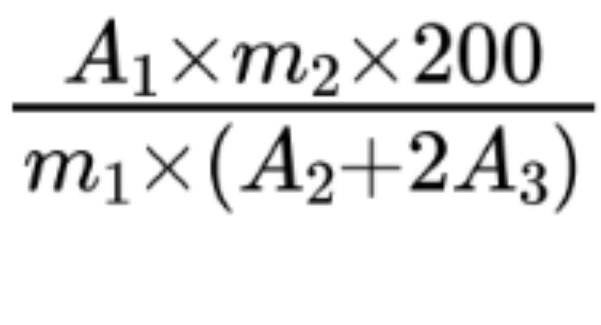
Calculate the percentage content of free macrogols using the following expression:
Macrogol 15 Hydroxystearate – British Pharmacopoeia

m1 = mass of the substance to be examined in the test solution, in grams;
m2 = mass of macrogol 1000 R in reference solution (a), in grams;
A1 = area of the peak due to free macrogols in the substance to be examined in the chromatogram obtained with the test solution;
A2 = area of the peak due to macrogol 1000 in the chromatogram obtained with reference solution (a);
A3 = area of the peak due to macrogol 1000 in the chromatogram obtained with reference solution (b).
Limit:
— free macrogols: 27.0 per cent to 39.0 per cent.
Ethylene oxide and dioxan (2.4.25)
Maximum 1 ppm of ethylene oxide and maximum 50 ppm of dioxan.
Water (2.5.12)
Maximum 1.0 per cent, determined on 2.00 g.
Total ash (2.4.16)
Maximum 0.3 per cent, determined on 1.0 g.
STORAGE
In an airtight container.
Ph Eur






