(Ph. Eur. Monograph 0727)
C14H22N2O 234.3 137-58-6
Action and use
Local anaesthetic; Class I antiarrhythmic.
Preparation
Lidocaine Ointment
DEFINITION
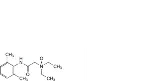
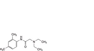
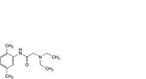
2-(Diethylamino)-N-(2,6-dimethylphenyl)acetamide.
Content
99.0 per cent to 101.0 per cent (anhydrous substance).
CHARACTERS
Appearance
White or almost white, crystalline powder.
Solubility
Practically insoluble in water, very soluble in ethanol (96 per cent) and in methylene chloride.
IDENTIFICATION
First identification: A.
Second identification: B, C.
A. Infrared absorption spectrophotometry (2.2.24).
Comparison: lidocaine CRS.
B. Melting point (2.2.14): 66 °C to 70 °C, determined without previous drying.
C. To about 5 mg add 0.5 mL of fuming nitric acid R. Evaporate to dryness on a water-bath, cool, and dissolve the residue in 5 mL of acetone R. Add 0.2 mL of alcoholic potassium hydroxide solution R. A green colour develops.
TESTS
Related substances
Liquid chromatography (2.2.29).
Test solution: Dissolve 50.0 mg of the substance to be examined in the mobile phase and dilute to 10.0 mL with the mobile phase.
Reference solution (a): Dissolve 50.0 mg of 2,6-dimethylaniline R (impurity A) in the mobile phase and dilute to 100.0 mL with the mobile phase. Dilute 10.0 mL of this solution to 100.0 mL with the mobile phase.
Reference solution (b): Dissolve 5.0 mg of 2-chloro-N-(2,6-dimethylphenyl)acetamide R (impurity H) in the mobile phase and dilute to 10.0 mL with the mobile phase.
Reference solution (c): Dilute 1.0 mL of the test solution to 10.0 mL with the mobile phase.
Reference solution (d): Mix 1.0 mL of reference solution (a), 1.0 mL of reference solution (b) and 1.0 mL of reference solution (c), then dilute to 100.0 mL with the mobile phase.
Column:
— size: l = 0.15 m, Ø = 3.9 mm;
— stationary phase: end-capped polar-embedded octadecylsilyl amorphous organosilica polymer R (5 μm);
— temperature: 30 °C.
Mobile phase: Mix 30 volumes of acetonitrile for chromatography R and 70 volumes of a 4.85 g/L solution of potassium dihydrogen phosphate R previously adjusted to pH 8.0 with strong sodium hydroxide solution R.
Flow rate: 1.0 mL/min.
Detection: Spectrophotometer at 230 nm.
Injection: 20 μL.
Run time: 3.5 times the retention time of lidocaine.
Relative retention: With reference to lidocaine (retention time = about 17 min): impurity H = about 0.37; impurity A = about 0.40.
System suitability: Reference solution (d):
— resolution: minimum 1.5 between the peaks due to impurities H and A.
Limits:
— impurity A: not more than the area of the corresponding peak in the chromatogram obtained with reference solution (d) (0.01 per cent);
— unspecified impurities: for each impurity, not more than the area of the peak due to lidocaine in the chromatogram obtained with reference solution (d) (0.10 per cent);
— total: not more than 5 times the area of the peak due to lidocaine in the chromatogram obtained with reference solution (d) (0.5 per cent);
— disregard limit: 0.5 times the area of the peak due to lidocaine in the chromatogram obtained with reference solution (d) (0.05 per cent).
Chlorides (2.4.4)
Maximum 35 ppm.
Dissolve 1.4 g in a mixture of 3 mL of dilute nitric acid R and 12 mL of water R.
Sulfates (2.4.13)
Maximum 0.1 per cent.
Dissolve 0.2 g in 5 mL of ethanol (96 per cent) R and dilute to 20 mL with distilled water R.
Water (2.5.12)
Maximum 1.0 per cent, determined on 1.00 g.
Sulfated ash (2.4.14)
Maximum 0.1 per cent, determined on 1.0 g.
ASSAY
To 0.200 g add 50 mL of anhydrous acetic acid R and stir until dissolution is complete. Titrate with 0.1 M perchloric acid, determining the end-point potentiometrically (2.2.20).
1 mL of 0.1 M perchloric acid is equivalent to 23.43 mg of C14H22N2O.
IMPURITIES
Specified impurities A.
Other detectable impurities (the following substances would, if present at a sufficient level, be detected by one or other of the tests in the monograph. They are limited by the general acceptance criterion for other/unspecified impurities and/or by the general monograph Substances for pharmaceutical use (2034). It is therefore not necessary to identify these impurities for demonstration of compliance. See also 5.10.
Control of impurities in substances for pharmaceutical use) B, C, D, E, F, G, H, I, J.

A. 2,6-dimethylaniline,

B. 2-(diethylazinoyl)-N-(2,6-dimethylphenyl)acetamide (lidocaine N-oxide),

C. N-(2,6-dimethylphenyl)acetamide,

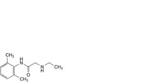
D. N-(2,6-dimethylphenyl)-2-(ethylamino)acetamide,

E. 2,2′-iminobis(N-(2,6-dimethylphenyl)acetamide),

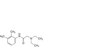
F. 2-(diethylamino)-N-(2,3-dimethylphenyl)acetamide,

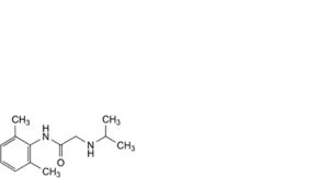
G. N-(2,6-dimethylphenyl)-2-((1-methylethyl)amino) acetamide,

H. 2-chloro-N-(2,6-dimethylphenyl)acetamide,

I. 2-(diethylamino)-N-(2,4-dimethylphenyl)acetamide,

J. 2-(diethylamino)-N-(2,5-dimethylphenyl)acetamide.






