Lidocaine Hydrochloride
(Ph. Eur. monograph 0227)
C14H23ClN2O,H2O 288.8 6108-05-0
Action and use
Local anaesthetic; Class I antiarrhythmic.
Preparations
Lidocaine Gel
Lidocaine and Chlorhexidine Gel
Lidocaine Injection
Lidocaine and Adrenaline Injection/Lidocaine and Epinephrine Injection
Lidocaine Intraocular Injection
Lidocaine Sterile Solution
DEFINITION
2-(Diethylamino)-N-(2,6-dimethylphenyl)acetamide hydrochloride monohydrate.
Content
99.0 per cent to 101.0 per cent (anhydrous substance).
CHARACTERS
Appearance
White or almost white, crystalline powder.
Solubility
Very soluble in water, freely soluble in ethanol (96 per cent).
IDENTIFICATION
First identification: B, D.
Second identification: A, C, D.
A. Melting point (2.2.14): 74 °C to 79 °C, determined without previous drying.
B. Infrared absorption spectrophotometry (2.2.24).
Comparison: lidocaine hydrochloride CRS.
C. To about 5 mg add 0.5 mL of fuming nitric acid R. Evaporate to dryness on a water-bath, cool and dissolve the residue in 5 mL of acetone R. Add 0.2 mL of alcoholic potassium hydroxide solution R. A green colour is produced.
D. It gives reaction (a) of chlorides (2.3.1).
TESTS
Solution S
Dissolve 1.0 g in carbon dioxide-free water R and dilute to 20 mL with the same solvent.
Appearance of solution
Solution S is clear (2.2.1) and colourless (2.2.2, Method II).
pH (2.2.3)
4.0 to 5.5.
Dilute 1 mL of solution S to 10 mL with carbon dioxide-free water R.
Related substances
Liquid chromatography (2.2.29).
Test solution: Dissolve 50.0 mg of the substance to be examined in the mobile phase and dilute to 10.0 mL with the mobile phase.
Reference solution (a): Dissolve 50.0 mg of 2,6-dimethylaniline R (impurity A) in the mobile phase and dilute to 100.0 mL with the mobile phase. Dilute 10.0 mL of the solution to 100.0 mL with the mobile phase.
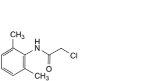
Reference solution (b): Dissolve 5 mg of 2-chloro-N-(2,6-dimethylphenyl)acetamide R (impurity H) in the mobile phase and dilute to 10.0 mL with the mobile phase.
Reference solution (c): Dilute 1.0 mL of the test solution to 10.0 mL with the mobile phase.
Reference solution (d): Mix 1.0 mL of reference solution (a), 1.0 mL of reference solution (b) and 1.0 mL of reference solution (c), and dilute to 100.0 mL with the mobile phase.
Column:
— size: l = 0.15 m, Ø = 3.9 mm;
— stationary phase: end-capped polar-embedded octadecylsilyl amorphous organosilica polymer R (5 μm);
— temperature: 30 °C.
Mobile phase: Mix 30 volumes of acetonitrile for chromatography R and 70 volumes of a 4.85 g/L solution of potassium dihydrogen phosphate R previously adjusted to pH 8.0 with strong sodium hydroxide solution R.
Flow rate: 1.0 mL/min.
Detection: Spectrophotometer at 230 nm.
Injection: 20 μL of the test solution and reference solutions (a), (b) and (d).
Run time: 3.5 times the retention time of lidocaine.
Identification of impurities: Use the chromatogram obtained with reference solution (a) to identify the peak due to impurity A; use the chromatogram obtained with reference solution (b) to identify the peak due to impurity H.
Relative retention: With reference to lidocaine (retention time = about 17 min): impurity H = about 0.37; impurity A = about 0.40.
System suitability: Reference solution (d):
— resolution: minimum 1.5 between the peaks due to impurities H and A.
Limits:
— impurity A: not more than the area of the corresponding peak in the chromatogram obtained with reference solution (d) (0.01 per cent);
— unspecified impurities: for each impurity, not more than the area of the peak due to lidocaine in the chromatogram obtained with reference solution (d) (0.10 per cent);
— total: not more than 5 times the area of the peak due to lidocaine in the chromatogram obtained with reference solution (d) (0.5 per cent);
— disregard limit: 0.5 times the area of the peak due to lidocaine in the chromatogram obtained with reference solution (d) (0.05 per cent); do not disregard the peak due to impurity A .
Water (2.5.12)
5.5 per cent to 7.0 per cent, determined on 0.25 g.
Maximum 0.1 per cent, determined on 1.0 g.
ASSAY
Dissolve 0.220 g in 50 mL of ethanol (96 per cent) R and add 5.0 mL of 0.01 M hydrochloric acid. Carry out a potentiometric titration (2.2.20), using 0.1 M sodium hydroxide. Read the volume added between the 2 points of inflexion.
1 mL of 0.1 M sodium hydroxide is equivalent to 27.08 mg of C14H23ClN2O.
STORAGE
Protected from light.
IMPURITIES
Specified impurities A.
Other detectable impurities (the following substances would, if present at a sufficient level, be detected by one or other of the tests in the monograph. They are limited by the general acceptance criterion for other/unspecified impurities and/or by the general monograph Substances for pharmaceutical use (2034). It is therefore not necessary to identify these impurities for demonstration of compliance. See also 5.10. Control of impurities in substances for pharmaceutical use) B, C, D, E, F, G, H, I, J, K.

A. 2,6-dimethylaniline,

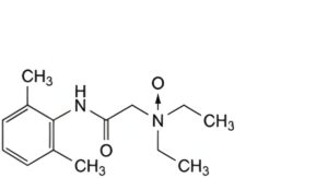
B. 2-(diethylazinoyl)-N-(2,6-dimethylphenyl)acetamide (lidocaine N -oxide),

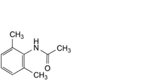
C. N-(2,6-dimethylphenyl)acetamide,

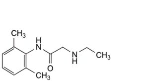
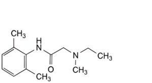
D. N-(2,6-dimethylphenyl)-2-(ethylamino)acetamide,

E. 2-2′-(azanediyl)bis[N-(2,6-dimethylphenyl)acetamide],

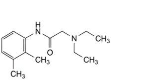
F. 2-(diethylamino)-N-(2,3-dimethylphenyl)acetamide,

G. N-(2,6-dimethylphenyl)-2-[(1-methylethyl)amino]acetamide,

H. 2-chloro-N-(2,6-dimethylphenyl)acetamide,

I. 2-(diethylamino)-N-(2,4-dimethylphenyl)acetamide,

J. 2-(diethylamino)-N-(2,5-dimethylphenyl)acetamide,

K. N-(2,6-dimethylphenyl)-2-(ethylmethylamino)acetamide.






