(Ph. Eur. monograph 0925)
C23H28N2O5S 444.5 7104-38-3
Action and use
Dopamine receptor antagonist; neuroleptic.
Preparation
Levomepromazine Tablets
DEFINITION
(2R)-3-(2-Methoxy-10H-phenothiazin-10-yl)-N,N,2-trimethylpropan-1-amine (2Z)-but-2-enedioate.
Content
98.5 per cent to 101.0 per cent (dried substance).
CHARACTERS
Appearance
White or slightly yellowish, crystalline powder.
Solubility
Slightly soluble in water and in ethanol (96 per cent), sparingly soluble in methylene chloride.It deteriorates when exposed to air and light.
mp
About 186 °C, with decomposition.
IDENTIFICATION
First identification: A, B.
Second identification: C, D.
A. Specific optical rotation (see Tests).
B. Infrared absorption spectrophotometry (2.2.24).
Comparison: levomepromazine maleate CRS.
C. Identification of phenothiazines by thin-layer chromatography (2.3.3): use levomepromazine maleate CRS to prepare the reference solution.
D. Thin-layer chromatography (2.2.27).
Solvent mixture water R, acetone R (10:90 V/V).
Test solution: Dissolve 0.20 g of the substance to be examined in the solvent mixture and dilute to 10 mL with the solvent mixture.
Reference solution: Dissolve 50 mg of maleic acid CRS in the solvent mixture and dilute to 10 mL with the solvent mixture.
Plate: TLC silica gel F254 plate R .
Mobile phase: water R, formic acid R, di-isopropyl ether R (3:7:90 V/V/V).
Application: 5 μL.
Development: Over 2/3 of the plate.
Drying: At 120 °C for 10 min.
Detection: Examine in ultraviolet light at 254 nm.
Retardation: factors Levomepromazine = 0; maleic acid = about 0.1.
Results: The chromatogram obtained with the test solution shows a zone at the point of application and another zone similar in position and size to the principal zone in the chromatogram obtained with the reference solution.
TESTS
pH (2.2.3)
3.5 to 5.5.
Carry out the test protected from bright light.
Suspend 0.50 g in 25 mL of carbon dioxide-free water R. Shake and allow the solids to settle. Use the supernatant.
Specific optical rotation (2.2.7)
-8.5 to -7.0 (dried substance).
Dissolve 1.25 g in dimethylformamide R and dilute to 25.0 mL with the same solvent.
Related substances
Liquid chromatography (2.2.29). Prepare the solutions immediately before use and carry out the test protected from light.
Solvent mixture acetonitrile R, water R (50:50 V/V).
Buffer solution: Dissolve 6.16 g of ammonium acetate R in about 900 mL of water for chromatography R, adjust to pH 6.0 with dilute acetic acid R and dilute to 1000 mL with water for chromatography R.
Test solution: Dissolve 35.0 mg of the substance to be examined in the solvent mixture and dilute to 50.0 mL with the solvent mixture.
Reference solution (a): Dilute 1.0 mL of the test solution to 100.0 mL with the solvent mixture. Dilute 1.0 mL of this solution to 10.0 mL with the solvent mixture.
Reference solution (b): Dissolve 2.5 mg of levomepromazine for system suitability CRS (containing impurities B, D and E) in 5 mL of the solvent mixture.
Column:
— size: l = 0.15 m, Ø = 4.6 mm;
— stationary phase: base-deactivated end-capped octadecylsilyl silica gel for chromatography R (3 μm);
— temperature: 40 °C.
Mobile phase:
— mobile phase A: tetrahydrofuran R, acetonitrile R, methanol R, buffer solution (1:10:10:79 V/V/V/V);
— mobile phase B: tetrahydrofuran R, buffer solution, acetonitrile R, methanol R (1:10:44.5:44.5 V/V/V/V);
| Time
(min) |
Mobile phase A
(per cent V/V) |
Mobile phase B
(per cent V/V) |
| 0 – 2 | 65 | 35 |
| 2 – 20 | 65 → 40 | 35 → 60 |
| 20 – 28 | 40 → 0 | 60 → 100 |
| 28 – 55 | 0 | 100 |
Flow rate: 1.1 mL/min.
Autosampler: Set at 4 °C.
Injection: 10 μL.
Detection: Spectrophotometer at 253 nm.
Identification of impurities: Use the chromatogram supplied with levomepromazine for system suitability CRS and the chromatogram obtained with reference solution (b) to identify the peaks due to impurities B, D and E.
Relative retention: With reference to levomepromazine (retention time = about 14 min): maleic acid = about 0.1; impurity B = about 0.3; impurity D = about 2.30; impurity E = about 2.33.
System suitability: Reference solution (b):
— peak-to-valley ratio: minimum 10.0, where Hp = height above the baseline of the peak due to impurity E and Hv = height above the baseline of the lowest point of the curve separating this peak from the peak due to impurity D.
Calculation of percentage contents:
— correction factors: multiply the peak areas of the following impurities by the corresponding correction factor: impurity D = 0.7; impurity E = 1.4;
— for each impurity, use the concentration of levomepromazine maleate in reference solution (a).
Limits:
— impurities B, D and E: for each impurity, maximum 0.15 per cent;
— unspecified impurities: for each impurity, maximum 0.10 per cent;
— total: maximum 0.5 per cent;
— reporting threshold: 0.05 per cent; disregard the peak due to maleic acid.
Loss on drying (2.2.32)
Maximum 0.5 per cent, determined on 1.000 g by drying in an oven at 105 °C for 3 h.
Sulfated ash (2.4.14)
Maximum 0.1 per cent, determined on 1.0 g.
ASSAY
Dissolve 0.350 g in 50 mL of anhydrous acetic acid R. Titrate with 0.1 M perchloric acid, determining the end-point potentiometrically (2.2.20).
1 mL of 0.1 M perchloric acid is equivalent to 44.45 mg of C23H28N2O5S.
STORAGE
Protected from light.
IMPURITIES
Specified impurities B, D, E.
Other detectable impurities (the following substances would, if present at a sufficient level, be detected by one or other of the tests in the monograph. They are limited by the general acceptance criterion for other/unspecified impurities and/or by the general monograph Substances for pharmaceutical use (2034). It is therefore not necessary to identify these impurities for demonstration of compliance. See also 5.10. Control of impurities in substances for pharmaceutical use) A, C.

A. 2-methoxy-10H-phenothiazine,

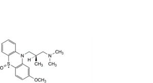
B. (5Ξ)-10-[(2R)-3-(dimethylamino)-2-methylpropyl]-2-methoxy-5λ -phenothiazin-5(10H)-one,

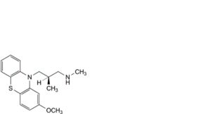
C. (2R)-3-(2-methoxy-10H-phenothiazin-10-yl)-N,2-dimethylpropan-1-amine,

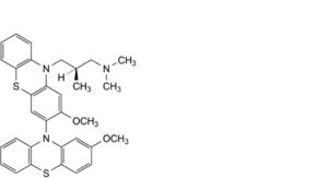
D. (2R)-3-(2,2′-dimethoxy-10H,10′H-[3,10′-biphenothiazin]-10-yl)-N,N,2-trimethylpropan-1-amine,

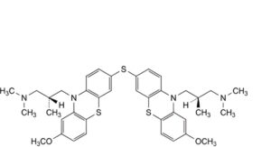
E. (2R,2′R)-3,3′-[sulfanediylbis[(8-methoxy-10H-phenothiazine-3,10-diyl)]]bis(N,N,2-trimethylpropan-1-
amine).






