(Ph. Eur. monograph 0505)
C19H25ClN2OS 364.9 1236-99-3
Action and use
Dopamine receptor antagonist; neuroleptic.
Preparation
Levomepromazine Injection
DEFINITION
(2R)-3-(2-Methoxy-10H-phenothiazin-10-yl)-N,N,2-trimethylpropan-1-amine hydrochloride.
Content
99.0 per cent to 101.0 per cent (dried substance).
CHARACTERS
Appearance
White or very slightly yellow, crystalline powder, slightly hygroscopic.
Solubility
Freely soluble in water and in ethanol (96 per cent), practically insoluble in heptane.
It deteriorates when exposed to air and light.
It shows polymorphism (5.9). It may exist in 2 forms, one melting at about 142 °C and the other at about 162 °C.
IDENTIFICATION
A. Infrared absorption spectrophotometry (2.2.24).
Comparison: levomepromazine hydrochloride CRS.
B. Specific optical rotation (see Tests).
C. Dissolve 20 mg in 2 mL of methanol R. The solution gives reaction (a) of chlorides (2.3.1); use methanol R instead of water R to wash and suspend the precipitate.
TESTS
pH (2.2.3)
4.0 to 5.5.
Dissolve 0.3 g in carbon dioxide-free water R and dilute to 10 mL with the same solvent.
Specific optical rotation (2.2.7)
+ 9.5 to + 11.5 (dried substance).
Dissolve 2.50 g in water R and dilute to 25.0 mL with the same solvent.
Related substances
Liquid chromatography (2.2.29). Prepare the solutions immediately before use and carry out the test protected from light.
Solvent mixture: acetonitrile R, water R (50:50 V/V).
Buffer solution: Dissolve 6.16 g of ammonium acetate R in about 900 mL of water for chromatography R, adjust to pH 6.0 with dilute acetic acid R and dilute to 1000 mL with water for chromatography R.
Test solution: Dissolve 30.0 mg of the substance to be examined in the solvent mixture and dilute to 50.0 mL with the solvent mixture.
Reference solution (a): Dilute 1.0 mL of the test solution to 100.0 mL with the solvent mixture. Dilute 1.0 mL of this solution to 10.0 mL with the solvent mixture.
Reference solution (b): Dissolve 2.5 mg of levomepromazine for system suitability CRS (containing impurities B, D and E) in 5 mL of the solvent mixture.
Column:
— size: l = 0.15 m, Ø = 4.6 mm;
— stationary phase: base-deactivated end-capped octadecylsilyl silica gel for chromatography R (3 μm);
— temperature: 40 °C.
Mobile phase:
— mobile phase A: tetrahydrofuran R, acetonitrile R, methanol R, buffer solution (1:10:10:79 V/V/V/V);
— mobile phase B: tetrahydrofuran R, buffer solution, acetonitrile R, methanol R (1:10:44.5:44.5 V/V/V/V);
| Time (min) |
Mobile phase A (per cent V/V) |
Mobile phase B (per cent V/V) |
| 0 – 2 | 65 | 35 |
| 2 – 20 | 65 → 40 | 35 → 60 |
| 20 – 28 | 40 → 0 | 60 → 100 |
| 28 – 55 | 0 | 100 |
Flow rate: 1.1 mL/min.
Autosampler: Set at 4 °C.
Injection: 10 μL.
Detection: Spectrophotometer at 253 nm.
Identification of impurities: Use the chromatogram supplied with levomepromazine for system suitability CRS and the chromatogram obtained with reference solution (b) to identify the peaks due to impurities B, D and E.
Relative retention: With reference to levomepromazine (retention time = about 14 min): impurity B = about 0.3; impurity D = about 2.30; impurity E = about 2.33.
System suitability: Reference solution (b):
— peak-to-valley ratio: minimum 10.0, where Hp = height above the baseline of the peak due to impurity E and Hv = height above the baseline of the lowest point of the curve separating this peak from the peak due to impurity D.
Calculation of percentage contents:
— correction factor: multiply the peak area of impurity E by 1.5;
— for each impurity, use the concentration of levomepromazine hydrochloride in reference solution (a).
Limits:
— impurities B, D and E: for each impurity, maximum 0.15 per cent;
— unspecified impurities: for each impurity, maximum 0.10 per cent;
— total: maximum 0.5 per cent;
— reporting threshold: 0.05 per cent.
Loss on drying (2.2.32)
Maximum 1.0 per cent, determined on 1.000 g by drying in an oven at 105 °C for 3 h.
Sulfated ash (2.4.14)
Maximum 0.1 per cent, determined on 1.0 g.
ASSAY
Dissolve 0.300 g in 5 mL of water R and add 50 mL of 2-propanol R. Titrate with 0.1 M sodium hydroxide, determining the end-point potentiometrically (2.2.20).
1 mL of 0.1 M sodium hydroxide is equivalent to 36.49 mg of C19H25ClN2OS.
STORAGE
In an airtight container, protected from light.
IMPURITIES
Specified impurities B, D, E.
Other detectable impurities (the following substances would, if present at a sufficient level, be detected by one or other of the tests in the monograph. They are limited by the general acceptance criterion for other/unspecified impurities and/or by the general monograph Substances for pharmaceutical use (2034). It is therefore not necessary to identify these impurities for demonstration of compliance. See also 5.10. Control of impurities in substances for pharmaceutical use) A, C.

A. 2-methoxy-10H-phenothiazine,

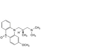
B. (5Ξ-10-[(2R)-3-(dimethylamino)-2-methylpropyl]-2-methoxy-5λ -phenothiazin-5(10H)-one,

C. (2R)-3-(2-methoxy-10H-phenothiazin-10-yl)-N,2-dimethylpropan-1-amine,

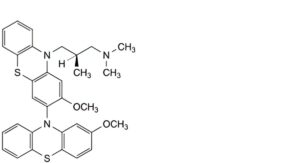
D. (2R)-3-(2,2′-dimethoxy-10H,10′H-[3,10′-biphenothiazin]-10-yl)-N,N,2-trimethylpropan-1-amine,

E. (2R,2′R)-3,3′-[sulfanediylbis[(8-methoxy-10H-phenothiazine-3,10-diyl)]]bis(N,N,2-trimethylpropan-1-amine).






