(Ph. Eur. monograph 2598)
C18H20FN3O4,1⁄2H2O 370.4 138199-71-0
Action and use
Fluoroquinolone antibacterial.
Preparations
Levofloxacin Eye Drops
Levofloxacin Infusion
Levofloxacin Tablets
DEFINITION
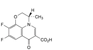
(3S)-9-Fluoro-3-methyl-10-(4-methylpiperazin-1-yl)-7-oxo-2,3-dihydro-7H-pyrido[1,2,3-de][1,4]benzoxazine- 6-carboxylic acid hemihydrate.
Content
98.0 per cent to 101.0 per cent (anhydrous substance).
CHARACTERS
Appearance
Light yellowish-white or light yellow, crystalline powder.
Solubility
Sparingly soluble in water, freely soluble in acetic acid, sparingly soluble in methanol, slightly soluble in anhydrous ethanol.
IDENTIFICATION
A. Infrared absorption spectrophotometry (2.2.24).
Comparison: levofloxacin hemihydrate CRS.
B. Examine the chromatograms obtained in the test for related substances.
Results: The principal peak in the chromatogram obtained with the test solution is similar in retention time to the principal peak in the chromatogram obtained with reference solution (b).
TESTS
Appearance of solution
The solution is clear (2.2.1) and not more intensely coloured than reference solution GY3 (2.2.2, Method II).
Dissolve 0.100 g in water R and dilute to 10 mL with the same solvent.
Related substances
Liquid chromatography (2.2.29).
Buffer solution: Solution containing 1.25 g/L of copper sulfate pentahydrate R, 1.3 g/L of isoleucine R and 8.5 g/L of ammonium acetate R in water for chromatography R.
Test solution: Dissolve 50.0 mg of the substance to be examined in the mobile phase and dilute to 50.0 mL with the mobile phase.
Reference solution (a): Dilute 1.0 mL of the test solution to 100.0 mL with the mobile phase. Dilute 1.0 mL of this solution to 10.0 mL with the mobile phase.
Reference solution (b): Dissolve the contents of a vial of levofloxacin for system suitability CRS (containing impurities A, B and G) in 1 mL of the mobile phase.
Column:
— size: l = 0.25 m, Ø = 4.6 mm;
— stationary phase: base-deactivated end-capped octadecylsilyl silica gel for chromatography R (5 μm);
— temperature: 45 °C.
Mobile phase: methanol R, buffer solution (30:70 V/V).
Flow rate: 0.8 mL/min.
Detection: Spectrophotometer at 360 nm.
Injection: 25 μL.
Run time: 3 times the retention time of levofloxacin.
Identification of impurities: Use the chromatogram supplied with levofloxacin for system suitability CRS and the chromatogram obtained with reference solution (b) to identify the peaks due to impurities A, B and G.
Relative retention: With reference to levofloxacin (retention time = about 20 min): impurity B = about 0.50; impurity G = about 0.56; impurity A = about 1.22.
System suitability: Reference solution (b):
— resolution: minimum 1.5 between the peaks due to impurities B and G.
Calculation of percentage contents:
— correction factor: multiply the peak area of impurity B by 1.3;
— for each impurity, use the concentration of levofloxacin hemihydrate in reference solution (a).
Limits:
— impurity A: maximum 0.5 per cent;
— impurity B: maximum 0.15 per cent;
— unspecified impurities: for each impurity, maximum 0.10 per cent;
— total: maximum 0.6 per cent;
— reporting threshold: 0.05 per cent.
Impurity F
Liquid chromatography (2.2.29) as described in the test for related substances with the following modifications.
Test solution: Dissolve 50.0 mg of the substance to be examined in the mobile phase and dilute to 50.0 mL with the mobile phase.
Reference solution (a): Dissolve 5.0 mg of levofloxacin impurity F CRS in the mobile phase and dilute to 100.0 mL with the mobile phase.
Reference solution (b): Dilute 1.0 mL of reference solution (a) to 25.0 mL with the mobile phase.
Reference solution (c): Dilute 4 mL of reference solution (a) to 10 mL with the mobile phase. Dilute 1 mL of this solution to 10 mL with the test solution.
Mobile phase: methanol R, buffer solution (50:50 V/V).
Detection: Spectrophotometer at 320 nm.
Injection: Test solution and reference solutions (b) and (c).
Identification of impurities: Use the chromatogram obtained with reference solution (b) to identify the peak due to impurity F.
Relative retention: With reference to levofloxacin (retention time = about 6 min): impurity F = about 1.8.
System suitability: Reference solution (c):
— resolution: minimum 5.0 between the peaks due to levofloxacin and impurity F.
Calculation of percentage content:
— for impurity F, use the concentration of impurity F in reference solution (b).
Limit:
— impurity F: maximum 0.2 per cent.
Water (2.5.12)
2.0 per cent to 3.0 per cent, determined on 0.500 g using a mixture of equal volumes of formamide R and methanol R as solvent.
Sulfated ash (2.4.14)
Maximum 0.1 per cent, determined on 1.0 g in a platinum crucible.
ASSAY
Dissolve 0.300 g in 100 mL of anhydrous acetic acid R. Titrate with 0.1 M perchloric acid, determining the end-point potentiometrically (2.2.20).
1 mL of 0.1 M perchloric acid is equivalent to 36.14 mg of C18H20FN3O4.
STORAGE
Protected from light.
IMPURITIES
Specified impurities A, B, F.
Other detectable impurities (the following substances would, if present at a sufficient level, be detected by one or other of the tests in the monograph. They are limited by the general acceptance criterion for other/unspecified impurities and/or by the general monograph Substances for pharmaceutical use (2034). It is therefore not necessary to identify these impurities for demonstration of compliance. See also 5.10. Control of impurities in substances for pharmaceutical use) C, D, E, G, H, I.

A. (3R)-9-fluoro-3-methyl-10-(4-methylpiperazin-1-yl)-7-oxo-2,3-dihydro-7H-pyrido[1,2,3-de] [1,4]benzoxazine-6-carboxylic acid (enantiomer of levofloxacin),

B. (3S)-9-fluoro-3-methyl-7-oxo-10-(piperazin-1-yl)-2,3-dihydro-7H-pyrido[1,2,3-de][1,4]benzoxazine-6-carboxylic acid,

C. 4-[(3S)-6-carboxy-9-fluoro-3-methyl-7-oxo-2,3-dihydro-7H-pyrido[1,2,3-de][1,4]benzoxazin-10-yl]-1-methylpiperazine 1-oxide,

D. (3S)-3-methyl-10-(4-methylpiperazin-1-yl)-7-oxo-2,3-dihydro-7H-pyrido[1,2,3-de][1,4]benzoxazine-6-carboxylic acid,

E. (3S)-9-fluoro-3-methyl-10-(4-methylpiperazin-1-yl)-2,3-dihydro-7H-pyrido[1,2,3-de][1,4]benzoxazin-7-one,

F. (3S)-9,10-difluoro-3-methyl-7-oxo-2,3-dihydro-7H-pyrido[1,2,3-de][1,4]benzoxazine-6-carboxylic acid,

G. (3S)-9-fluoro-3-methyl-10-[[2-(methylamino)ethyl]amino]-7-oxo-2,3-dihydro-7H-pyrido[1,2,3-de] [1,4]benzoxazine-6-carboxylic acid,

H. ethyl (3S)-9-fluoro-3-methyl-10-(4-methylpiperazin-1-yl)-7-oxo-2,3-dihydro-7H-pyrido[1,2,3-de] [1,4]benzoxazine-6-carboxylate,

I. (3S)-10-fluoro-3-methyl-9-(4-methylpiperazin-1-yl)-7-oxo-2,3-dihydro-7H-pyrido[1,2,3-de] [1,4]benzoxazine-6-carboxylic acid.






