(Ph. Eur. monograph 1535)
C13H20N2O2 236.3 99291-25-5
Action and use
Cough suppressant.
DEFINITION
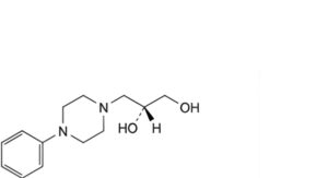
(2S)-3-(4-Phenylpiperazin-1-yl)propane-1,2-diol.
Content
98.5 per cent to 101.0 per cent (dried substance).
CHARACTERS
Appearance
White or almost white powder.
Solubility
Slightly soluble in water, freely soluble in dilute acetic acid and in methanol, slightly soluble in ethanol (96 per cent).
IDENTIFICATION
Carry out either tests A, B or tests B, C.
A. Specific optical rotation (2.2.7): -33.5 to -30.0 (dried substance).
Dissolve 1.50 g in a 21 g/L solution of hydrochloric acid R and dilute to 50.0 mL with the same acid.
B. Infrared absorption spectrophotometry (2.2.24).
Comparison: levodropropizine CRS.
C. Enantiomeric purity (see Tests).
TESTS
pH (2.2.3)
9.2 to 10.2.
Suspend 2.5 g in carbon dioxide-free water R, heat to dissolve, cool to room temperature and dilute to 100 mL with the same solvent.
Related substances
Liquid chromatography (2.2.29).
Test solution: Dissolve 25.0 mg of the substance to be examined in the mobile phase and dilute to 50.0 mL with the mobile phase.
Reference solution (a): Dissolve 25.0 mg of levodropropizine impurity B CRS in methanol R and dilute to 100.0 mL with the same solvent. Dilute 1.0 mL of the solution to 100.0 mL with the mobile phase.
Reference solution (b): Mix 1 mL of the test solution with 1 mL of reference solution (a).
Column:
— size: l = 0.15 m, Ø = 4.6 mm;
— stationary phase: end-capped extra-dense bonded octadecylsilyl silica gel for chromatography R (5 μm).
Mobile phase: Mix 12 volumes of methanol R and 88 volumes of a 6.81 g/L solution of potassium dihydrogen phosphate R previously adjusted to pH 3.0 with phosphoric acid R.
Flow rate: 1.5 mL/min.
Detection: Spectrophotometer at 254 nm.
Injection: 20 μL.
Run time: Twice the retention time of levodropropizine.
Identification of impurities: Use the chromatogram obtained with reference solution (a) to identify the peak due to impurity B.
Relative retention: With reference to levodropropizine (retention time = about 7 min): impurity B = about 1.2.
System suitability: Reference solution (b):
— resolution: minimum 2.0 between the peaks due to levodropropizine and impurity B.
Limits:
— impurity B: not more than the area of the corresponding peak in the chromatogram obtained with reference solution (a) (0.5 per cent);
— unspecified impurities: for each impurity, not more than 0.2 times the area of the peak due to impurity B in the chromatogram obtained with reference solution (a) (0.10 per cent);
— total: not more than 1.2 times the area of the peak due to impurity B in the chromatogram obtained with reference solution (a) (0.6 per cent);
— disregard limit: 0.1 times the area of the peak due to impurity B in the chromatogram obtained with reference solution (a) (0.05 per cent).
Impurity C
Liquid chromatography (2.2.29). Prepare the solutions immediately before use. Use vials sealed with a crimp-top to prevent evaporation of the solvent.
Test solution: Dissolve 50 mg of sodium diethyldithiocarbamate R and 1.0 g of the substance to be examined in methanol R and dilute to 5.0 mL with the same solvent. Heat at 60 °C for 20 min and then cool to room temperature. Add 5 mL of water R and 0.5 mL of phosphoric acid R. Extract with 5 mL of methylene chloride R.
Reference solution (a): Dissolve 0.100 g of levodropropizine impurity C CRS in methanol R and dilute to 50.0 mL with the same solvent. Dilute 1.0 mL of the solution to 20.0 mL with methanol R. Dilute 1.0 mL of this solution to 100.0 mL with methanol R.
Reference solution (b): Dissolve 50 mg of sodium diethyldithiocarbamate R in reference solution (a) and dilute to 5.0 mL with reference solution (a). Heat at 60 °C for 20 min and then cool to room temperature. Add 5 mL of water R and 0.5 mL of phosphoric acid R. Extract with 5 mL of methylene chloride R.
Reference solution (c): Dissolve 50 mg of sodium diethyldithiocarbamate R and 1.0 g of the substance to be examined in reference solution (a) and dilute to 5.0 mL with reference solution (a). Heat at 60 °C for 20 min and then cool to room temperature. Add 5 mL of water R and 0.5 mL of phosphoric acid R. Extract with 5 mL of methylene chloride R.
Blank solution: Dissolve 50 mg of sodium diethyldithiocarbamate R in methanol R and dilute to 5.0 mL with the same solvent. Heat at 60 °C for 20 min and then cool to room temperature. Add 5 mL of water R and 0.5 mL of phosphoric acid R. Extract with 5 mL of methylene chloride R.
Column:
— size: l = 0.25 m, Ø = 4.6 mm;
— stationary phase: aminopropylsilyl silica gel for chromatography R (5 μm).
Mobile phase: methanol R, tetrahydrofuran R, heptane R (15:15:70 V/V/V).
Flow rate: 1 mL/min.
Detection: Spectrophotometer at 278 nm.
Injection: 20 μL of the blank solution, the test solution and reference solutions (b) and (c).
Run time: 3 times the retention time of impurity C.
Identification of impurities: Use the chromatogram obtained with reference solution (b) to identify the peak due to impurity C.
Retention time Impurity C = about 8 min.
System suitability: Reference solution (b):
— signal-to-noise ratio: minimum 50 for the peak due to impurity C.
Calculate the content of impurity C in parts per million using the following expression:
A / (B – A) x 5
A = area of the peak due to impurity C in the chromatogram obtained with the test solution;
B = area of the peak due to impurity C in the chromatogram obtained with reference solution (c).
Limit:
— impurity C: maximum 5 ppm.
Enantiomeric purity
Liquid chromatography (2.2.29).
Solvent mixture anhydrous ethanol R, hexane R (40:60 V/V).
Test solution: Dissolve 10.0 mg of the substance to be examined in 10.0 mL of the solvent mixture. Dilute 1.0 mL of the solution to 50.0 mL with the solvent mixture.
Reference solution (a): Dissolve 10 mg of levodropropizine CRS in 10.0 mL of the solvent mixture. Dilute 1.0 mL of the solution to 50.0 mL with the solvent mixture.
Reference solution (b): Dissolve 10.0 mg of levodropropizine impurity A CRS in 10 mL of the solvent mixture. Dilute 1 mL of the solution to 50 mL with the solvent mixture.
Reference solution (c): Dilute 1.0 mL of reference solution (b) to 50.0 mL with the solvent mixture.
Reference solution (d): Dilute 0.5 mL of reference solution (b) to 25 mL with reference solution (a).
Column:
— size: l = 0.25 m, Ø = 4.6 mm;
— stationary phase: cellulose derivative of silica gel for chiral separation R (10 μm).
Mobile phase diethylamine R, anhydrous ethanol R, hexane R (0.2:5:95 V/V/V).
Flow rate: 0.8 mL/min.
Detection: Spectrophotometer at 254 nm.
Injection: 20 μL of the test solution and reference solutions (a), (c) and (d).
Identification of impurities: Use the chromatogram obtained with reference solution (c) to identify the peak due to impurity A.
Relative retention: With reference to levodropropizine (retention time = about 28 min): impurity A = about 0.9.
System suitability:
— retention times: the retention times of the principal peaks in the chromatograms obtained with the test solution and reference solution (a) are similar;
— resolution: minimum 1.3 between the peaks due to impurity A and levodropropizine in the chromatogram obtained with reference solution (d).
Limit:
— impurity A: not more than the area of the corresponding peak in the chromatogram obtained with reference solution (c) (2 per cent).
Loss on drying (2.2.32)
Maximum 1.0 per cent, determined on 0.500 g by drying in vacuo at 60 °C at a pressure of 0.15-0.25 kPa for 4 h.
Sulfated ash (2.4.14)
Maximum 0.2 per cent, determined on 1.0 g.
ASSAY
Dissolve 0.100 g in 50 mL of anhydrous acetic acid R. Carry out a potentiometric titration (2.2.20), using 0.1 M perchloric acid. Read the volume added at the 2 point of inflexion.
1 mL of 0.1 M perchloric acid is equivalent to 11.82 mg of C13H20N2O2.
STORAGE
Protected from light.
IMPURITIES
Specified impurities A, B, C.

A. (2R)-3-(4-phenylpiperazin-1-yl)propane-1,2-diol (dextrodropropizine),

B. 1-phenylpiperazine,

C. [(2RS)-oxiran-2-yl]methanol (glycidol).






