(Levocetirizine Dihydrochloride, Ph. Eur. monograph 3115)
C21H27Cl3N2O3 461.8 130018-87-0
Action and use
Histamine H1 receptor antagonist; antihistamine.
DEFINITION
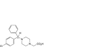
[2-[4-[(R)-(4-Chlorophenyl)(phenyl)methyl]piperazin-1-yl]ethoxy]acetic acid dihydrochloride.Content
98.0 per cent to 102.0 per cent (dried substance).
PRODUCTION
It is considered that N,N-bis(2-chloroethyl)benzenesulfonamide is genotoxic and is a potential impurity in levocetirizine dihydrochloride. This impurity is controlled by a suitable validated method.
CHARACTERS
Appearance
White or almost white powder.
Solubility
Freely soluble in water, very slightly soluble in ethanol (96 per cent), practically insoluble in methylene chloride.
IDENTIFICATION
A. Infrared absorption spectrophotometry (2.2.24).
Comparison: levocetirizine dihydrochloride CRS.
B. It gives reaction (a) of chlorides (2.3.1).
C. Enantiomeric purity (see Tests).
TESTS
Solution S
Dissolve 2.5 g in carbon dioxide-free water R and dilute to 50 mL with the same solvent.
Appearance of solution
Solution S is clear (2.2.1) and not more intensely coloured than reference solution Y7 (2.2.2, Method II).
pH (2.2.3)
1.2 to 1.8 for solution S.
Enantiomeric purity
Liquid chromatography (2.2.29): use the normalisation procedure.
Solvent mixture diethylamine R, 2-propanol R (0.04:100 V/V).
Test solution: Dissolve 25.0 mg of the substance to be examined in the solvent mixture, using sonication if necessary, and dilute to 50.0 mL with the solvent mixture.
Reference solution (a): Dissolve 5 mg of cetirizine dihydrochloride CRS in the solvent mixture, using sonication if necessary, and dilute to 10 mL with the solvent mixture.
Reference solution (b): Dilute 1.0 mL of the test solution to 100.0 mL with the solvent mixture. Dilute 1.0 mL of this solution to 10.0 mL with the solvent mixture.
Column:
— size: l = 0.25 m, Ø = 4.6 mm;
— stationary phase: cellulose derivative of silica gel for chiral separation R (5 μm);
— temperature: 40 °C.
Mobile phase: diethylamine R, trifluoroacetic acid R, anhydrous ethanol R, heptane R (0.1:0.3:10:90 V/V/V/V).
Flow rate: 1.0 mL/min.
Detection: spectrophotometer at 230 nm.
Autosampler: Set at 15 °C.
Injection: 20 μL.
Run time: 1.5 times the retention time of levocetirizine.
Identification of impurities: Use the chromatogram supplied with cetirizine dihydrochloride CRS and the chromatogram obtained with reference solution (a) to identify the peak due to impurity A.
Relative retention: With reference to levocetirizine (retention time = about 13 min): impurity A = about 0.8.
System suitability: Reference solution (a):
— resolution: minimum 2.0 between the peaks due to impurity A and levocetirizine.
Limits:
— impurity A: maximum 2.0 per cent;
— reporting threshold: 0.10 per cent (reference solution (b)).
Related substances
Liquid chromatography (2.2.29).
Test solution (a): Dissolve 20.0 mg of the substance to be examined in the mobile phase and dilute to 100.0 mL with the mobile phase.
Test solution (b): Dilute 5.0 mL of test solution (a) to 20.0 mL with the mobile phase.
Reference solution (a): Dilute 1.0 mL of test solution (a) to 100.0 mL with the mobile phase. Dilute 1.0 mL of this solution to 10.0 mL with the mobile phase.
Reference solution (b): Dissolve the content of a vial of levocetirizine for system suitability CRS (containing impurities H and I) in 1.0 mL of the mobile phase.
Reference solution (c): Dissolve 20.0 mg of levocetirizine dihydrochloride CRS in the mobile phase and dilute to 100.0 mL with the mobile phase. Dilute 5.0 mL of this solution to 20.0 mL with the mobile phase.
Column:
— size: l = 0.25 m, Ø = 4.6 mm;
— stationary phase: silica gel for chromatography R (5 μm);
— temperature: 30 °C.
Mobile phase: dilute sulfuric acid R, water for chromatography R, acetonitrile for chromatography R (0.4:6.6:93 V/V/V).
Flow rate: 1.0 mL/min.
Detection: Spectrophotometer at 230 nm.
Autosampler: Set at 15 °C.
Injection: 20 μL of test solution (a) and reference solutions (a) and (b).
Run time: 3 times the retention time of levocetirizine.
Identification of impurities: Use the chromatogram supplied with levocetirizine for system suitability CRS and the chromatogram obtained with reference solution (b) to identify the peaks due to impurities H and I.
Relative retention: With reference to levocetirizine (retention time = about 10 min): impurity H = about 1.30; impurity I = about 1.34.
System suitability: Reference solution (b):
— peak-to-valley ratio: minimum 1.5, where Hp = height above the baseline of the peak due to impurity H and Hv = height above the baseline of the lowest point of the curve separating this peak from
the peak due to impurity I.
Calculation of percentage contents:
— for each impurity, use the concentration of levocetirizine dihydrochloride in reference solution (a).
Limits:
— unspecified impurities: for each impurity, maximum 0.10 per cent;
— total: maximum 0.3 per cent;
— reporting threshold: 0.05 per cent.
Loss on drying (2.2.32)
Maximum 0.5 per cent, determined on 1.000 g by drying in oven at 105 °C.
Sulfated ash (2.4.14)
Maximum 0.2 per cent, determined on 1.0 g.
ASSAY
Liquid chromatography (2.2.29) as described in the test for related substances with the following modifications.
Injection: Test solution (b) and reference solution (c).
Run time: 1.5 times the retention time of levocetirizine.
Calculate the percentage content of C21H27Cl3N2O3 taking into account the assigned content of levocetirizine dihydrochloride CRS.
IMPURITIES
Specified impurities A.
Other detectable impurities (the following substances would, if present at a sufficient level, be detected by one or other of the tests in the monograph. They are limited by the general acceptance criterion for other/unspecified impurities and/or by the general monograph Substances for pharmaceutical use (2034). It is therefore not necessary to identify these impurities for demonstration of compliance. See also 5.10.
Control of impurities in substances for pharmaceutical use) C, D, E, F, G, H, I, J.

A. [2-[4-[(S)-(4-chlorophenyl)(phenyl)methyl]piperazin-1-yl]ethoxy]acetic acid,

C. 1-(benzenesulfonyl)-4-[(Ξ)-(4-chlorophenyl)(phenyl)methyl]piperazine,

D. [4-[(Ξ)-(4-chlorophenyl)(phenyl)methyl]piperazin-1-yl]acetic acid,

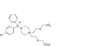
E. [2-[1-[2-(carboxymethoxy)ethyl]-4-[(Ξ)-(4-chlorophenyl)(phenyl)methyl]piperazin-1-ium-1-yl]ethoxy]acetate,

F. [2-[4-[(Ξ)-(2-chlorophenyl)(phenyl)methyl]piperazin-1-yl]ethoxy]acetic acid,

G. [2-[2-[4-[(Ξ)-(4-chlorophenyl)(phenyl)methyl]piperazin-1-yl]ethoxy]ethoxy]acetic acid,

H. 2-[4-[(RS)-(4-chlorophenyl)(phenyl)methyl]piperazin-1-yl]ethan-1-ol,

I. 1-[(RS)-(4-chlorophenyl)(phenyl)methyl]piperazine,

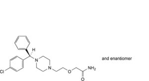
J. 2-[2-[4-[(RS)-(4-chlorophenyl)(phenyl)methyl]piperazin-1-yl]ethoxy]acetamide.






