(Ph. Eur. monograph 1339)
C7H15NO3 161.2 541-15-1
Action and use
Carnitine substitute.
DEFINITION
(3R)-3-Hydroxy-4-(trimethylazaniumyl)butanoate.
Content
98.0 per cent to 102.0 per cent (anhydrous substance).
CHARACTERS
Appearance
White or almost white, crystalline powder or colourless crystals, hygroscopic.
Solubility
Freely soluble in water, soluble in warm ethanol (96 per cent), practically insoluble in acetone.
IDENTIFICATION
First identification: A, B.
Second identification: A, C.
A. Specific optical rotation (see Tests).
B. Infrared absorption spectrophotometry (2.2.24).
Preparation: Discs, prepared using substance previously dried in vacuo at 50 °C for 5 h.
Comparison: levocarnitine CRS.
C. To 1 mL of solution S (see Tests) add 9 mL of water R, 10 mL of dilute sulfuric acid R and 30 mL of ammonium reineckate solution R. A pink precipitate is formed. Allow to stand for 30 min. Filter and wash with water R, with ethanol (96 per cent) R and then with acetone R and dry at 80 °C. The precipitate melts (2.2.14) at 147 °C to 150 °C.
TESTS
Solution S
Dissolve 5.00 g in carbon dioxide-free water R prepared from distilled water R and dilute to 50.0 mL with the same solvent.
Appearance of solution
Solution S is clear (2.2.1) and colourless (2.2.2, Method II).
pH (2.2.3)
6.5 to 8.5.
Dilute 10 mL of solution S to 20 mL with carbon dioxide-free water R.
Specific optical rotation (2.2.7)
-32.0 to -29.0 (anhydrous substance), determined on solution S at 25 °C.
Related substances
Liquid chromatography (2.2.29).
Test solution: Dissolve 0.100 g of the substance to be examined in the mobile phase and dilute to 20.0 mL with the mobile phase.
Reference solution (a): Dilute 1.0 mL of the test solution to 100.0 mL with the mobile phase. Dilute 1.0 mL of this solution to 10.0 mL with the mobile phase.
Reference solution (b): Dissolve 12.5 mg of levocarnitine impurity A CRS in water R and dilute to 50.0 mL with the same solvent. Dilute 2.0 mL of the solution to 20.0 mL with the mobile phase.
Reference solution (c): Dissolve 50 mg of the substance to be examined in 10 mL of reference solution (b).
Column:
— size: l = 0.15 m, Ø = 4.6 mm;
— stationary phase: zwitterion-bonded silica gel for chromatography R (5 μm);
— temperature: 40 °C.
Mobile phase: Mix 25 volumes of a 0.77 g/L solution of ammonium acetate R in water for chromatography R previously adjusted to pH 5 with acetic acid R with 75 volumes of acetonitrile R1.
Flow rate: 1.5 mL/min.
Detection: Spectrophotometer at 205 nm.
Injection: 20 μL.
Run time: 2.5 times the retention time of levocarnitine.
Identification of impurities: Use the chromatogram obtained with reference solution (b) to identify the peak due to impurity A.
Relative retention: With reference to levocarnitine (retention time = about 8 min): impurity A = about 1.2.
System suitability: Reference solution (c):
— resolution: minimum 1.5 between the peaks due to levocarnitine and impurity A.
Calculation of percentage contents:
— for impurity A, use the concentration of impurity A in reference solution (b);
— for impurities other than A, use the concentration of levocarnitine in reference solution (a).
Limits:
— impurity A: maximum 0.3 per cent;
— unspecified impurities: for each impurity, maximum 0.10 per cent;
— total (excluding impurity A): maximum 0.5 per cent;
— reporting threshold: 0.05 per cent.
Chlorides (2.4.4)
Maximum 200 ppm.
Dilute 2.5 mL of solution S to 15 mL with water R.
Sulfates (2.4.13)
Maximum 300 ppm.
Dilute 5 mL of solution S to 15 mL with distilled water R.
Water (2.5.12)
Maximum 1.0 per cent, determined on 2.00 g.
Sulfated ash (2.4.14)
Maximum 0.1 per cent, determined on 1.0 g.
ASSAY
Dissolve 0.125 g in a mixture of 3 volumes of formic acid R and 50 volumes of anhydrous acetic acid R.
Titrate with 0.1 M perchloric acid, determining the end-point potentiometrically (2.2.20).
1 mL of 0.1 M perchloric acid is equivalent to 16.12 mg of C7H15NO3.
STORAGE
In an airtight container.
IMPURITIES
Specified impurities A.
Other detectable impurities (the following substances would, if present at a sufficient level, be detected by one or other of the tests in the monograph. They are limited by the general acceptance criterion for other/unspecified impurities and/or by the general monograph Substances for pharmaceutical use (2034). It is therefore not necessary to identify these impurities for demonstration of compliance. See also 5.10. Control of impurities in substances for pharmaceutical use) B, C, D.

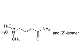
A. (2EZ)-4-(trimethylazaniumyl)but-2-enoate,

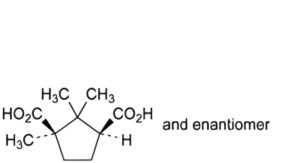
B. (1RS,3SR)-1,2,2-trimethylcyclopentane-1,3-dicarboxylic acid (camphoric acid),

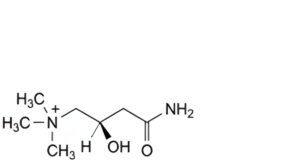
C. (2R)-4-amino-2-hydroxy-N,N,N-trimethyl-4-oxobutan-1-aminium (carnitinamide),

D. (2EZ)-4-amino-N,N,N-trimethyl-4-oxobut-2-en-1-aminium.






