(Ph. Eur. monograph 0726)
C11H13ClN2S 240.8 16595-80-5
Action and use
Immunostimulant; antihelminthic.
DEFINITION
(6S)-6-Phenyl-2,3,5,6-tetrahydroimidazo[2,1-b]thiazole hydrochloride.
Content
98.5 per cent to 101.0 per cent (dried substance).
CHARACTERS
Appearance
White or almost white, crystalline powder.
Solubility
Freely soluble in water, soluble in ethanol (96 per cent), slightly soluble in methylene chloride.
IDENTIFICATION
A. Specific optical rotation (see Tests).
B. Infrared absorption spectrophotometry (2.2.24).
Comparison: levamisole hydrochloride CRS.
C. It gives reaction (a) of chlorides (2.3.1).
TESTS
Solution S
Dissolve 2.50 g in carbon dioxide-free water R and dilute to 50.0 mL with the same solvent.
Appearance of solution
Solution S is clear (2.2.1) and not more intensely coloured than reference solution Y7 (2.2.2, Method II).
pH (2.2.3)
3.0 to 4.5 for solution S.
Specific optical rotation (2.2.7)
-128 to -121 (dried substance), determined on solution S.
Related substances
Liquid chromatography (2.2.29). Prepare the solutions immediately before use, protect from light and keep below 25 °C.
Test solution: Dissolve 0.100 g of the substance to be examined in methanol R, add 1.0 mL of concentrated ammonia R and dilute to 10.0 mL with methanol R.
Reference solution (a): Dissolve 10 mg of levamisole hydrochloride for system suitability CRS (containing impurities A, B, C, D and E) in methanol R, add 0.1 mL of concentrated ammonia R and dilute to 1.0 mL with methanol R.
Reference solution (b): Dilute 1.0 mL of the test solution to 100.0 mL with methanol R. Dilute 5.0 mL of this solution to 25.0 mL with methanol R.
Column:
— size: l = 0.10 m, Ø = 4.6 mm;
— stationary phase: base-deactivated octadecylsilyl silica gel for chromatography R (3 μm).
Mobile phase:
— mobile phase A: dissolve 0.5 g of ammonium dihydrogen phosphate R in 90 mL of water R, adjust to pH 6.5 with a 40 g/L solution of sodium hydroxide R and dilute to 100 mL with water R;
— mobile phase B: acetonitrile R;
| Time (min) |
Mobile phase A (per cent V/V) |
Mobile phase B (per cent V/V) |
| 0 – 8 | 90 → 30 | 10 → 70 |
| 8 – 10 | 30 | 70 |
Flow rate: 1.5 mL/min.
Detection: Spectrophotometer at 215 nm.
Equilibration: At least 4 min with the mobile phase at the initial composition.
Injection: 10 μL.
Identification of impurities: Use the chromatogram supplied with levamisole hydrochloride for system suitability CRS and the chromatogram obtained with reference solution (a) to identify the peaks due to impurities A, B, C, D and E.
Relative retention: With reference to levamisole (retention time = about 3 min): impurity A = about 0.9; impurity B = about 1.4; impurity C = about 1.5; impurity D = about 1.6; impurity E = about 2.0.
System suitability:
— the chromatogram obtained with reference solution (a) is similar to the chromatogram supplied with levamisole hydrochloride for system suitability CRS;
— symmetry factor: maximum 3.5 for the principal peak in the chromatogram obtained with reference solution (b).
Limits:
— correction factors: for the calculation of content, multiply the peak areas of the following impurities by the corresponding correction factor: impurity A = 2.0; impurity B = 1.7; impurity C = 2.9; impurity D = 1.3; impurity E = 2.7;
— impurities A, B, C, D, E: for each impurity, not more than the area of the principal peak in the chromatogram obtained with reference solution (b) (0.2 per cent);
— unspecified impurities: for each impurity, not more than 0.5 times the area of the principal peak in the chromatogram obtained with reference solution (b) (0.10 per cent);
— total: not more than 1.5 times the area of the principal peak in the chromatogram obtained with reference solution (b) (0.3 per cent);
— disregard limit: 0.25 times the area of the principal peak in the chromatogram obtained with reference solution (b) (0.05 per cent).
Loss on drying (2.2.32)
Maximum 0.5 per cent, determined on 1.000 g by drying in an oven at 105 °C for 4 h.
Sulfated ash (2.4.14)
Maximum 0.1 per cent, determined on 1.0 g.
ASSAY
Dissolve 0.200 g in 30 mL of ethanol (96 per cent) R and add 5.0 mL of 0.01 M hydrochloric acid. Carry out a potentiometric titration (2.2.20), using 0.1 M sodium hydroxide. Read the volume added between the 2 points of inflexion.
1 mL of 0.1 M sodium hydroxide is equivalent to 24.08 mg of C11H13ClN2S.
STORAGE
Protected from light.
IMPURITIES
Specified impurities A, B, C, D, E.

A. 3-[(2RS)-2-amino-2-phenylethyl]thiazolidin-2-one,

B. 3-[(E)-2-phenylethenyl]thiazolidin-2-imine,

C. (4RS)-4-phenyl-1-(2-sulfanylethyl)imidazolidin-2-one,

D. 6-phenyl-2,3-dihydroimidazo[2,1-b]thiazole,

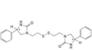
E. 1,1′-[(disulfane-1,2-diyl)bis(ethylene)]bis[(4RS)-4-phenylimidazolidin-2-one].






