(Ph. Eur. monograph 2334)
C17H11N5 285.3 112809-51-5
Action and use
Aromatase inhibitor; treatment of breast carcinoma.
Preparation
Letrozole Tablets
DEFINITION
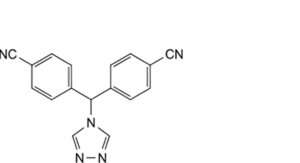
4,4′-[(1H-1,2,4-Triazol-1-yl)methylene]dibenzonitrile.
Content
98.0 per cent to 102.0 per cent (anhydrous substance).
CHARACTERS
Appearance
White or yellowish, crystalline powder.
Solubility
Practically insoluble in water, freely soluble in methylene chloride, sparingly soluble in methanol.
IDENTIFICATION
Infrared absorption spectrophotometry (2.2.24).
Comparison: letrozole CRS.
TESTS
Related substances
Liquid chromatography (2.2.29).
Test solution (a): Dissolve 25.0 mg of the substance to be examined in 15 mL of acetonitrile R and dilute to 50.0 mL with water R.
Test solution (b): To 2.0 mL of test solution (a) add 30 mL of acetonitrile R and dilute to 100.0 mL with water R.
Reference solution (a): Dilute 2 mL of test solution (a) to 10 mL with a mixture of 30 volumes of acetonitrile R and 70 volumes of water R. Dissolve the contents of a vial of letrozole impurity A CRS in 1 mL
of this solution.
Reference solution (b): To 2.0 mL of test solution (a) add 30.0 mL of acetonitrile R and dilute to 100.0 mL with water R. To 1.0 mL of this solution add 6.0 mL of acetonitrile R and dilute to 20.0 mL with water R.
Reference solution (c): Dissolve 25.0 mg of letrozole CRS in 15 mL of acetonitrile R and dilute to 50.0 mL with water R. To 2.0 mL of this solution add 30 mL of acetonitrile R and dilute to 100.0 mL with water R.
Column:
— size: l = 0.125 m, Ø = 4.6 mm;
— stationary phase: end-capped octadecylsilyl silica gel for chromatography R (5 μm).
Mobile phase:
— mobile phase A: water for chromatography R;
— mobile phase B: acetonitrile for chromatography R;
| Time
(min) |
Mobile phase A
(per cent V/V) |
Mobile phase B
(per cent V/V) |
| 0 – 4 | 70 | 30 |
| 4 – 29 | 70 → 30 | 30 → 70 |
Flow rate: 1.0 mL/min.
Detection: Spectrophotometer at 230 nm.
Injection: 20 μL of test solution (a) and reference solutions (a) and (b).
Identification of impurities: Use the chromatogram obtained with reference solution (a) to identify the peak due to impurity A.
Relative retention: With reference to letrozole (retention time = about 13 min): impurity A = about 0.6.
System suitability: Reference solution (a):
— resolution: minimum 5.0 between the peaks due to impurity A and letrozole.
Calculation of percentage contents:
— for each impurity, use the concentration of letrozole in reference solution (b).
Limits:
— unspecified impurities: for each impurity, maximum 0.10 per cent;
— total: maximum 0.3 per cent;
— reporting threshold: 0.05 per cent.
Water (2.5.12)
Maximum 0.3 per cent, determined on 1.00 g.
ASSAY
Liquid chromatography (2.2.29) as described in the test for related substances with the following modifications.
Injection: Test solution (b) and reference solution (c).
Calculate the percentage content of C17H11N5 from the assigned content of letrozole CRS.
IMPURITIES
Other detectable impurities (the following substances would, if present at a sufficient level, be detected by one or other of the tests in the monograph. They are limited by the general acceptance criterion for other/unspecified impurities and/or by the general monograph Substances for pharmaceutical use (2034). It is therefore not necessary to identify these impurities for demonstration of compliance. See also 5.10.
Control of impurities in substances for pharmaceutical use) A, B.

A. 4,4′-[(4H-1,2,4-triazol-4-yl)methylene]dibenzonitrile,

B. 4,4′,4′′-methanetriyltribenzonitrile.






