(Ph. Eur. monograph 2219)
C16H14F3N3O2S 369.4 103577-45-3
Action and use
Proton pump inhibitor; treatment of peptic ulcer disease.
Preparations
Lansoprazole Gastro-resistant Capsules
Lansoprazole Gastro-resistant Tablets
DEFINITION
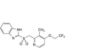
2-[(RS)-[[3-Methyl-4-(2,2,2-trifluoroethoxy)pyridin-2-yl]methyl]sulfinyl]-1H-benzimidazole.
Content
99.0 per cent to 101.0 per cent (anhydrous substance).
CHARACTERS
Appearance
White or brownish powder.
Solubility
Practically insoluble in water, soluble in anhydrous ethanol, very slightly soluble in acetonitrile.
It shows polymorphism (5.9).
IDENTIFICATION
Infrared absorption spectrophotometry (2.2.24).
Comparison: lansoprazole CRS.
If the spectra obtained in the solid state show differences, dissolve the substance to be examined and the reference substance separately in anhydrous ethanol R, evaporate to dryness and record new spectra using the residues.
TESTS
Appearance of solution
The solution is clear (2.2.1) and not more intensely coloured than reference solution B2 or BY2 (2.2.2, Method II).
Dissolve 1.0 g in dimethylformamide R and dilute to 20 mL with the same solvent.
Related substances
Liquid chromatography (2.2.29). Prepare the solutions immediately before use and protect them from light.
Solvent mixture: Mix 1 volume of triethylamine R and 60 volumes of water R and adjust to pH 10.5 with phosphoric acid R; mix this solution with 40 volumes of acetonitrile R1.
Test solution: Dissolve 10 mg of the substance to be examined in the solvent mixture and dilute to 10 mL with the solvent mixture.
Reference solution (a): Dissolve the contents of a vial of lansoprazole for peak identification CRS (containing impurities A and B) in 1.0 mL of the solvent mixture.
Reference solution (b): Dilute 2.0 mL of the test solution to 100.0 mL with the solvent mixture. Dilute 1.0 mL of this solution to 10.0 mL with the solvent mixture.
Reference solution (c): Dissolve 5 mg of 2-hydroxybenzimidazole R (impurity D) and 5 mg of 2-mercaptobenzimidazole R (impurity E) in the solvent mixture and dilute to 100 mL with the solvent mixture.
Dilute 1 mL of this solution to 10 mL with the solvent mixture.
Column:
— size: l = 0.25 m, Ø = 4.6 mm;
— stationary phase: end-capped amidohexadecylsilyl silica gel for chromatography R (5 μm).
Mobile phase: Mix 1 volume of triethylamine R and 60 volumes of water R and adjust to pH 6.2 with phosphoric acid R; mix this solution with 40 volumes of acetonitrile R1.
Flow rate: 1.2 mL/min.
Detection: Spectrophotometer at 285 nm.
Injection: 10 μL.
Run time: 3 times the retention time of lansoprazole.
Identification of impurities: Use the chromatogram supplied with lansoprazole for peak identification CRS and the chromatogram obtained with reference solution (a) to identify the peaks due to impurities A and B; use the chromatogram obtained with reference solution (c) to identify the peaks due to impurities D and E.
Relative retention: With reference to lansoprazole (retention time = about 7 min): impurity D = about 0.4; impurity A = about 0.5; impurity E = about 0.6; impurity B = about 1.2.
System suitability: Reference solution (a):
— resolution: minimum 3.0 between the peaks due to lansoprazole and impurity B.
Limits:
— correction factor: for the calculation of content, multiply the peak area of impurity E by 0.4;
— impurity B: not more than twice the area of the principal peak in the chromatogram obtained with reference solution (b) (0.4 per cent);
— impurities A, D, E: for each impurity, not more than 0.5 times the area of the principal peak in the chromatogram obtained with reference solution (b) (0.1 per cent);
— unspecified impurities: for each impurity, not more than 0.5 times the area of the principal peak in the chromatogram obtained with reference solution (b) (0.10 per cent);
— total: not more than 3 times the area of the principal peak in the chromatogram obtained with reference solution (b) (0.6 per cent);
— disregard limit: 0.25 times the area of the principal peak in the chromatogram obtained with reference solution (b) (0.05 per cent).
Water (2.5.32)
Maximum 0.1 per cent, determined on 0.150-0.200 g using the evaporation technique:
— temperature: 50-70 °C;
— heating time: 15 min;
— flow rate: 150 mL/min.
Sulfated ash (2.4.14)
Maximum 0.1 per cent, determined on 1.0 g.
ASSAY
Dissolve 0.300 g in 40 mL of ethanol (96 per cent) R and dilute to 50 mL with water R. Titrate with 0.1 M sodium hydroxide, determining the end-point potentiometrically (2.2.20).
1 mL of 0.1 M sodium hydroxide is equivalent to 36.94 mg of C16H14F3N3O2S.
STORAGE
In an airtight container, protected from light.
IMPURITIES
Specified impurities A, B, D, E.
Other detectable impurities (the following substances would, if present at a sufficient level, be detected by one or other of the tests in the monograph. They are limited by the general acceptance criterion for other/unspecified impurities and/or by the general monograph Substances for pharmaceutical use (2034). It is therefore not necessary to identify these impurities for demonstration of compliance. See also 5.10.
Control of impurities in substances for pharmaceutical use) C, F.

A. 2-[(RS)-[[3-methyl-1-oxido-4-(2,2,2-trifluoroethoxy)pyridin-2-yl]methyl]sulfinyl]-1H-benzimidazole,

B. 2-[[[3-methyl-4-(2,2,2-trifluoroethoxy)pyridin-2-yl]methyl]sulfonyl]-1H-benzimidazole,

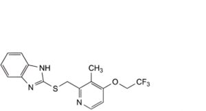
C. 2-[[[3-methyl-4-(2,2,2-trifluoroethoxy)pyridin-2-yl]methyl]sulfanyl]-1H-benzimidazole,

D. 1H-benzimidazol-2-ol,

E. 1H-benzimidazole-2-thiol,

F. 2-[(RS)-[(4-chloro-3-methylpyridin-2-yl)methyl]sulfinyl]-1H-benzimidazole.






