(Ph. Eur. monograph 1756)
C9H7Cl2N5 256.1 84057-84-1
Action and use
Antiepileptic.
Preparations
Lamotrigine Dispersible Tablets
Lamotrigine Tablets
DEFINITION
6-(2,3-Dichlorophenyl)-1,2,4-triazine-3,5-diamine.
Content
99.0 per cent to 101.0 per cent (dried substance).
CHARACTERS
Appearance
White or almost white powder.
Solubility
Very slightly soluble in water, slightly soluble in anhydrous ethanol.
IDENTIFICATION
Infrared absorption spectrophotometry (2.2.24).
Comparison: lamotrigine CRS.
TESTS
Related substances
Liquid chromatography (2.2.29).
Test solution: Dissolve 20 mg of the substance to be examined in 5 mL of methanol R and dilute to 100.0 mL with a 10.3 g/L solution of hydrochloric acid R.
Reference solution (a): Dissolve 5 mg of lamotrigine for system suitability CRS (containing impurity G) in 2.5 mL of methanol R and dilute to 25.0 mL with a 10.3 g/L solution of hydrochloric acid R.
Reference solution (b): Dilute 1.0 mL of the test solution to 100.0 mL with a 10.3 g/L solution of hydrochloric acid R. Dilute 2.0 mL of this solution to 10.0 mL with a 10.3 g/L solution of hydrochloric acid R.
Reference solution (c): Dissolve 5.0 mg of lamotrigine impurity E CRS in a mixture of 0.25 mL of hydrochloric acid R and 45 mL of methanol R and dilute to 50.0 mL with methanol R. Dilute 5.0 mL of the solution to 100.0 mL with a 10.3 g/L solution of hydrochloric acid R. To 4.0 mL of this solution add 5 mL of methanol R and dilute to 100.0 mL with a 10.3 g/L solution of hydrochloric acid R.
Reference solution (d): Dissolve 10 mg of lamotrigine for peak identification CRS (containing impurities A, E and F) in 2.5 mL of methanol R and dilute to 50.0 mL with a 10.3 g/L solution of hydrochloric acid R.
Blank solution: Mix 5 volumes of methanol R and 95 volumes of a 10.3 g/L solution of hydrochloric acid R.
Column:
— size: l = 0.15 m, Ø = 4.6 mm;
— stationary phase: base-deactivated end-capped octadecylsilyl silica gel for chromatography R (5 μm);
— temperature: 35 °C.
Mobile phase:
— mobile phase A: mix 1 volume of triethylamine R and 150 volumes of a 2.7 g/L solution of potassium dihydrogen phosphate R; adjust to pH 2.0 with phosphoric acid R;
— mobile phase B: acetonitrile R;
| Time (min) |
Mobile phase A (per cent V/V) |
Mobile phase B (per cent V/V) |
| 0 – 4 | 85 | 15 |
| 4 – 14 | 85 → 20 | 15 → 80 |
Flow rate: 1.0 mL/min.
Detection: Spectrophotometer at 270 nm.
Injection: 10 μL of the test solution, reference solutions (a), (b) and (d) and the blank solution.
Identification of impurities: Use the chromatogram supplied with lamotrigine for peak identification CRS and the chromatogram obtained with reference solution (d) to identify the peaks due to impurities A, E and F; use the chromatogram supplied with lamotrigine for system suitability CRS and the chromatogram obtained with reference solution (a) to identify the peak due to impurity G.
Relative retention: With reference to lamotrigine (retention time = about 7 min): impurity G = about 1.1; impurity A = about 1.3; impurity E = about 1.7; impurity F = about 1.8.
System suitability: Reference solution (a):
— peak-to-valley ratio: minimum 1.2, where Hp = height above the baseline due to impurity G and Hv = height above the baseline of the lowest point of the curve separating this peak from the peak due to lamotrigine.
Limits:
— correction factor: for the calculation of content, multiply the peak area of impurity F by 1.3;
— impurity F: not more than the area of the principal peak in the chromatogram obtained with reference solution (b) (0.2 per cent);
— impurities A, G: for each impurity, not more than 0.5 times the area of the principal peak in the chromatogram obtained with reference solution (b) (0.1 per cent);
— unspecified impurities: for each impurity, not more than 0.5 times the area of the principal peak in the chromatogram obtained with reference solution (b) (0.10 per cent);
— total: not more than the area of the principal peak in the chromatogram obtained with reference solution (b) (0.2 per cent);
— disregard limit: 0.25 times the area of the principal peak in the chromatogram obtained with reference solution (b) (0.05 per cent); disregard any peak due to impurity E.
Impurity E
Liquid chromatography (2.2.29) as described in the test for related substances with the following modifications.
Mobile phase: acetonitrile for chromatography R, mobile phase A (35:65 V/V).
Detection: Spectrophotometer at 210 nm.
Injection: Test solution and reference solutions (d) and (c).
Run time: 10 min.
Retention time: Impurity E = about 5.5 min; impurity F = about 8.5 min.
System suitability: Reference solution (d):
— the chromatogram obtained is similar to the chromatogram supplied with lamotrigine for peak identification CRS.
Limit:
— impurity E: not more than the area of the corresponding peak in the chromatogram obtained with reference solution (c) (0.1 per cent).
Loss on drying (2.2.32)
Maximum 0.5 per cent, determined on 2.000 g by drying in an oven at 105 °C at a pressure not exceeding 0.7 kPa for 3 h.
Sulfated ash (2.4.14)
Maximum 0.1 per cent, determined on 2.0 g.
ASSAY
Dissolve 0.200 g in 60 mL of anhydrous acetic acid R. Titrate with 0.1 M perchloric acid, determining the end-point potentiometrically (2.2.20). Carry out a blank titration.
1 mL of 0.1 M perchloric acid is equivalent to 25.61 mg of C9H7Cl2N5.
IMPURITIES
Specified impurities A, E, F, G.
Other detectable impurities (the following substances would, if present at a sufficient level, be detected by one or other of the tests in the monograph. They are limited by the general acceptance criterion for other/unspecified impurities and/or by the general monograph Substances for pharmaceutical use (2034). It is therefore not necessary to identify these impurities for demonstration of compliance. See also 5.10. Control of impurities in substances for pharmaceutical use) B, C, D.

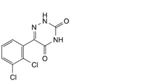
A. 3-amino-6-(2,3-dichlorophenyl)-1,2,4-triazin-5(4H)-one,

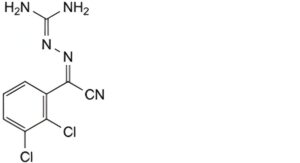
B. (2E)-[2-(diaminomethylidene)diazanylidene](2,3-dichlorophenyl)acetonitrile,

C. (2Z)-[2-(diaminomethylidene)diazanylidene](2,3-dichlorophenyl)acetonitrile,

D. 6-(2,3-dichlorophenyl)-1,2,4-triazine-3,5(2H,4H)-dione,

E. 2,3-dichlorobenzoic acid,

F. N-[5-amino-6-(2,3-dichlorophenyl)-1,2,4-triazin-3-yl]-2,3-dichlorobenzamide,

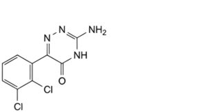
G. 6-(2,4-dichlorophenyl)-1,2,4-triazine-3,5-diamine.






