(Ph. Eur. monograph 1755)
C19H24N2O6 376.4 74103-07-4
Action and use
Cyclo-oxygenase inhibitor; analgesic; anti-inflammatory.
DEFINITION
2-Amino-2-(hydroxymethyl)propane-1,3-diol (1RS)-5-benzoyl-2,3-dihydro-1H-pyrrolizine-1-carboxylate.
Content
98.5 per cent to 101.5 per cent (dried substance).
CHARACTERS
Appearance
White or almost white, crystalline powder.
Solubility
Freely soluble in water and in methanol, slightly soluble in ethanol (96 per cent), practically insoluble in
methylene chloride.
IDENTIFICATION
Infrared absorption spectrophotometry (2.2.24).
Comparison: ketorolac trometamol CRS.
TESTS
Solution S
Dissolve 0.75 g in carbon dioxide-free water R and dilute to 25.0 mL with the same solvent.
Appearance of solution
Solution S is clear (2.2.1).
pH (2.2.3)
5.7 to 6.7.
Dilute 5 mL of solution S to 15 mL with carbon dioxide-free water R.
Absorbance (2.2.25)
Maximum 0.10, determined at 430 nm for solution S.
Related substances
Liquid chromatography (2.2.29). Protect the solutions from bright light.
Solvent mixture tetrahydrofuran R, water R (30:70 V/V).
Test solution: Dissolve 20 mg of the substance to be examined in the solvent mixture and dilute to 50 mL with the solvent mixture.
Reference solution (a): Dilute 1.0 mL of the test solution to 10.0 mL with the solvent mixture. Dilute 1.0 mL of this solution to 100.0 mL with the solvent mixture.
Reference solution (b): Dissolve 2 mg of ketorolac trometamol for peak identification CRS (containing impurities A, B, C and D) in 5 mL of the solvent mixture.
Column:
— size: l = 0.25 m, Ø = 4.6 mm;
— stationary phase: octylsilyl silica gel for chromatography R (5 μm);
— temperature: 40 °C.
Mobile phase: Mix 30 volumes of tetrahydrofuran R with 70 volumes of a solution prepared as follows: dissolve 5.75 g of ammonium dihydrogen phosphate R in 900 mL of water R, adjust to pH 3.0 with phosphoric acid R and dilute to 1000 mL with water R.
Flow rate: 1.5 mL/min.
Detection: Spectrophotometer at 313 nm.
Injection: 10 μL.
Run time: 3 times the retention time of ketorolac.
Identification of impurities: Use the chromatogram supplied with ketorolac trometamol for peak identification CRS and the chromatogram obtained with reference solution (b) to identify the peaks due to
impurities A, B, C and D.
Relative retention: With reference to ketorolac (retention time = about 10 min): impurity C = about 0.5; impurity A = about 0.6; impurity D = about 0.7; impurity B = about 0.9.
System suitability: Reference solution (b):
— resolution: minimum 1.5 between the peaks due to impurity B and ketorolac.
Limits:
— correction factors: for the calculation of content, multiply the peak areas of the following impurities by the corresponding correction factor: impurity A = 0.67; impurity B = 0.52; impurity C = 2.2;
— impurities A, B, C, D: for each impurity, not more than the area of the principal peak in the chromatogram obtained with reference solution (a) (0.1 per cent);
— unspecified impurities: for each impurity, not more than the area of the principal peak in the chromatogram obtained with reference solution (a) (0.10 per cent);
— total: not more than 10 times the area of the principal peak in the chromatogram obtained with reference solution (a) (1.0 per cent);
— disregard limit: 0.5 times the area of the principal peak in the chromatogram obtained with reference solution (a) (0.05 per cent).
Loss on drying (2.2.32)
Maximum 0.5 per cent, determined on 1.000 g by drying in vacuo at 60 °C for 3 h.
Sulfated ash (2.4.14)
Maximum 0.1 per cent, determined on 1.0 g.
ASSAY
Dissolve 0.300 g in 60 mL of anhydrous acetic acid R. Titrate with 0.1 M perchloric acid, determining the end-point potentiometrically (2.2.20).
1 mL of 0.1 M perchloric acid is equivalent to 37.64 mg of C19H24N2O6.
STORAGE
Protected from light.
IMPURITIES
Specified impurities A, B, C, D.
Other detectable impurities (the following substances would, if present at a sufficient level, be detected by one or other of the tests in the monograph. They are limited by the general acceptance criterion for other/unspecified impurities and/or by the general monograph Substances for pharmaceutical use (2034). It is therefore not necessary to identify these impurities for demonstration of compliance. See also 5.10. Control of impurities in substances for pharmaceutical use) E, F, G, H, I, J.

A. (1RS)-5-benzoyl-2,3-dihydro-1H-pyrrolizin-1-ol,

B. 5-benzoyl-2,3-dihydro-1H-pyrrolizin-1-one,

C. (1RS)-6-benzoyl-2,3-dihydro-1H-pyrrolizine-1-carboxylic acid,

D. (1RS)-5-benzoyl-1-methoxy-2,3-dihydro-1H-pyrrolizine-1-carboxylic acid,

E. (1RS)-5-benzoyl-N-[2-hydroxy-1,1-bis(hydroxymethyl)ethyl]-2,3-dihydro-1H-pyrrolizine-1-carboxamide,

F. (1RS)-7-benzoyl-2,3-dihydro-1H-pyrrolizine-1-carboxylic acid,

G. methyl (1RS)-5-benzoyl-1-hydroxy2,3-dihydro-1H-pyrrolizine-1-carboxylate,

H. methyl (1RS)-5-benzoyl-2,3-dihydro-1H-pyrrolizine-1-carboxylate,

I. phenyl(2,3-dihydro-1H-pyrrolizin-5-yl)methanone,

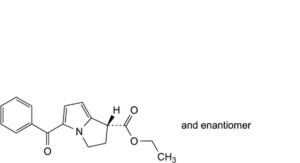
J. ethyl (1RS)-5-benzoyl-2,3-dihydro-1H-pyrrolizine-1-carboxylate.






