(Ph. Eur. monograph 0922)
C16H14O3 254.3 22071-15-4
Action and use
Cyclo-oxygenase inhibitor; analgesic; anti-inflammatory.
Preparations
Ketoprofen Capsules
Ketoprofen Gel
DEFINITION
(2RS)-2-(3-Benzoylphenyl)propanoic acid.
Content
99.0 per cent to 100.5 per cent (dried substance).
CHARACTERS
Appearance
White or almost white, crystalline powder.
Solubility
Practically insoluble in water, freely soluble in acetone, in ethanol (96 per cent) and in methylene chloride.
IDENTIFICATION
First identification: C.
Second identification: A, B, D.
A. Melting point (2.2.14): 94 °C to 97 °C.
B. Ultraviolet and visible absorption spectrophotometry (2.2.25).
Test solution: Dissolve 50.0 mg in ethanol (96 per cent) R and dilute to 100.0 mL with the same solvent. Dilute 1.0 mL of the solution to 50.0 mL with ethanol (96 per cent) R.
Spectral range: 230-350 nm.
Absorption maximum: 255 nm.
Specific absorbance at the absorption maximum: 615 to 680.
C. Infrared absorption spectrophotometry (2.2.24).
Comparison: ketoprofen CRS.
D. Thin-layer chromatography (2.2.27).
Test solution: Dissolve 10 mg of the substance to be examined in acetone R and dilute to 10 mL with the same solvent.
Reference solution (a): Dissolve 10 mg of ketoprofen CRS in acetone R and dilute to 10 mL with the same solvent.
Reference solution (b): Dissolve 10 mg of indometacin CRS in acetone R and dilute to 10 mL with the same solvent. To 1 mL of the solution, add 1 mL of reference solution (a).
Plate: TLC silica gel GF254 plate R.
Mobile phase: glacial acetic acid R, methylene chloride R, acetone R (1:49:50 V/V/V).
Application: 10 μL.
Development: Over 3/4 of the plate.
Drying: In air.
Detection: Examine in ultraviolet light at 254 nm.
System suitability: Reference solution (b):
— the chromatogram shows 2 clearly separated principal spots.
Results: The principal spot in the chromatogram obtained with the test solution is similar in position and size to the principal spot in the chromatogram obtained with reference solution (a).
TESTS
Appearance of solution
The solution is clear (2.2.1) and not more intensely coloured than reference solution Y6 (2.2.2, Method II).
Dissolve 1.0 g in acetone R and dilute to 10 mL with the same solvent.
Related substances
Liquid chromatography (2.2.29). Prepare the solutions immediately before use.
Test solution: Dissolve 20.0 mg of the substance to be examined in the mobile phase and dilute to 20.0 mL with the mobile phase.
Reference solution (a): Dilute 1.0 mL of the test solution to 100.0 mL with the mobile phase. Dilute 1.0 mL of this solution to 10.0 mL with the mobile phase.
Reference solution (b): Dissolve 5.0 mg of ketoprofen impurity A CRS in the mobile phase and dilute to 100.0 mL with the mobile phase. Dilute 1.0 mL of the solution to 50.0 mL with the mobile phase.
Reference solution (c): Dissolve 5.0 mg of ketoprofen impurity C CRS in the mobile phase and dilute to 100.0 mL with the mobile phase. Dilute 1.0 mL of the solution to 50.0 mL with the mobile phase.
Reference solution (d): Dilute 1 mL of the test solution to 100 mL with the mobile phase. To 1 mL of this solution, add 1 mL of reference solution (b).
Column:
— size: l = 0.15 m, Ø = 4.6 mm;
— stationary phase: end-capped octadecylsilyl silica gel for chromatography R (5 μm).
Mobile phase: Mix 2 volumes of freshly prepared phosphate buffer solution pH 3.5 R, 43 volumes of acetonitrile for chromatography R and 55 volumes of water for chromatography R.
Flow rate: 1 mL/min.
Detection: Spectrophotometer at 233 nm.
Injection: 20 μL.
Identification of impurities: Use the chromatogram obtained with reference solution (b) to identify the peak due to impurity A; use the chromatogram obtained with reference solution (c) to identify the peak due to impurity C.
Run time: 7 times the retention time of ketoprofen.
Relative retention: With reference to ketoprofen (retention time = about 7 min): impurity C = about 0.3; impurity A = about 1.5.
System suitability: Reference solution (d):
— resolution: minimum 7.0 between the peaks due to ketoprofen and impurity A.
Calculation of percentage contents:
— for impurity A, use the concentration of the corresponding impurity in reference solution (b);
— for impurity C, use the concentration of the corresponding impurity in reference solution (c);
— for impurities other than A and C, use the concentration of ketoprofen in reference solution (a).
Limits:
— impurities A, C: for each impurity, maximum 0.10 per cent;
— unspecified impurities: for each impurity, maximum 0.10 per cent;
— total: maximum 0.4 per cent;
— reporting threshold: 0.05 per cent.
Loss on drying (2.2.32)
Maximum 0.5 per cent, determined on 1.000 g by drying at 60 °C at a pressure not exceeding 0.67 kPa.
Sulfated ash (2.4.14)
Maximum 0.1 per cent, determined on 1.0 g.
ASSAY
Dissolve 0.200 g in 25 mL of ethanol (96 per cent) R. Add 25 mL of water R. Titrate with 0.1 M sodium hydroxide, determining the end-point potentiometrically (2.2.20).
1 mL of 0.1 M sodium hydroxide is equivalent to 25.43 mg of C16H14O3.
IMPURITIES
Specified impurities A, C.
Other detectable impurities (the following substances would, if present at a sufficient level, be detected by one or other of the tests in the monograph. They are limited by the general acceptance criterion for other/unspecified impurities and/or by the general monograph Substances for pharmaceutical use (2034). It is therefore not necessary to identify these impurities for demonstration of compliance. See also 5.10. Control of impurities in substances for pharmaceutical use) B, D, E, F, G, H, I, J, K, L.

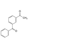
A. 1-(3-benzoylphenyl)ethan-1-one,

B. (3-benzoylphenyl)acetic acid,

C. 3-[(1RS)-1-carboxyethyl]benzoic acid,

D. (2RS)-2-[3-(4-methylbenzoyl)phenyl]propanoic acid,

E. (2RS)-2-(3-benzoylphenyl)propanamide,

F. (2RS)-2-(3-benzoylphenyl)propanenitrile,

G. 3-[(1RS)-1-cyanoethyl]benzoic acid,

H. 3-(cyanomethyl)benzoic acid,

I. (3-benzoylphenyl)acetonitrile,

J. (2RS)-2-[3-(2,4-dimethylbenzoyl)phenyl]propanoic acid,

K. mixture of (2RS)-2-[3-(2,3,4-trimethylbenzoyl)phenyl]propanoic acid and (2RS)-2-[3-(3,4,5- trimethylbenzoyl)phenyl]propanoic acid,

L. (2RS)-2-[3-(2,4,5-trimethylbenzoyl)phenyl]propanoic acid.






