Edition: BP 2025 (Ph. Eur. 11.6 update)
Action and use
Antifungal.
DEFINITION
Ketoconazole Shampoo contains Ketoconazole in a suitable basis.
The shampoo complies with the requirements stated under Liquids for Cutaneous Application and with the following requirements.
Content of ketoconazole, C26H28Cl2N4O4
90.0 to 110.0% of the stated amount.
IDENTIFICATION
In the Assay, record the UV spectrum of the principal peak in the chromatograms obtained with solutions (1) and (2) with a diode array detector in the range 220 to 400 nm.
The UV spectrum of the principal peak in the chromatogram obtained with solution (1) is concordant with that of the peak in the chromatogram obtained with solution (2);
the retention time of the principal peak in the chromatogram obtained with solution (1) is similar to that of the peak in the chromatogram obtained with solution (2).
TESTS
Related substances
Carry out the method for liquid chromatography, Appendix III D, using the following solutions in low-actinic glassware. Store the solutions at 4°.
Solution A: 15 volumes of mobile phase A and 85 volumes of methanol.
(1) Shake a quantity of the shampoo containing 50 mg of Ketoconazole with 50 mL of methanol, add 15 mL of mobile phase A, allow to cool and dilute to 100 mL with methanol.
(2) Dilute 1 volume of solution (1) to 100 volumes with solution A.
(3) 0.03% w/v of ketoconazole impurity standard BPCRS in solution A.
(4) Dilute 1 volume of solution (2) to 10 volumes with solution A.
CHROMATOGRAPHIC CONDITIONS
(a) Use a stainless steel column (25 cm × 3.0 mm) packed with end-capped phenylsilyl silica gel for chromatography (5 μm) (Waters XBridge BEH Phenyl is suitable).
(b) Use gradient elution and the mobile phase described below.
(c) Use a flow rate of 0.6 mL per minute.
(d) Use a column temperature of 45°.
(e) Use an autosampler temperature of 4°.
(f) Use a detection wavelength of 230 nm.
(g) Inject 10 μL of each solution.
MOBILE PHASE
Mobile phase A Dissolve 1.42 g of anhydrous disodium hydrogen orthophosphate and 3.1 g of anhydrous sodium dihydrogen orthophosphate in 1000 mL of water.
Mobile phase B acetonitrile.
Mobile phase C propan-2-ol R1.
| Time (Minutes) | Mobile phase A (% v/v) | Mobile phase B (% v/v) | Mobile phase C (% v/v) | Comment |
| 0-5 | 70 | 24 | 6 | isocratic |
| 5-35 | 70→30 | 24→64 | 6 | linear gradient |
| 35-40 | 30 | 64 | 6 | isocratic |
| 40-45 | 30→70 | 64→24 | 6 | linear gradient |
| 45-55 | 70 | 24 | 6 | re-equilibration |
When the chromatograms are recorded under the prescribed conditions, the relative retentions with reference to ketoconazole (retention time about 17 minutes) are: impurity 2, about 0.5; impurity 1, about 0.6; impurity D, about 0.7; impurity 3, about 0.78.
SYSTEM SUITABILITY
The test is not valid unless, in the chromatogram obtained with solution (3):
the resolution between the peaks due to impurity 2 and impurity 1 is at least 5.0;
the signal-to-noise ratio of the peak due to impurity 2 is at least 40.
LIMITS
Identify any peak in solution (1) corresponding to impurity 2 using the chromatogram obtained with solution (3) and the chromatogram supplied with ketoconazole impurity standard BPCRS and multiply the area of this peak by a correction factor of 1.5.
In the chromatogram obtained with solution (1):
the area of any peak due to impurity D is not greater than 0.7 times the area of the principal peak in the chromatogram obtained with solution (2) (0.7%);
the area of any peak due to impurity 2 is not greater than half the area of the principal peak in the chromatogram obtained with solution (2) (0.5%);
the area of any peak due to impurity 3 is not greater than half the area of the principal peak in the chromatogram obtained with solution (2) (0.5%);
the area of any other secondary peak is not greater than 0.3 times the area of the principal peak in the chromatogram obtained with solution (2) (0.3%);
the sum of the areas of the secondary peaks is not greater than twice the area of the principal peak in the chromatogram obtained with solution (2) (2.0%).
Disregard any peak with an area less than the area of the principal peak in the chromatogram obtained with solution (4) (0.1%).
ASSAY
Carry out the method for liquid chromatography, Appendix III D, using the following solutions in low-actinic glassware. Store the solutions at 4°.
Solution A: 15 volumes of mobile phase A and 85 volumes of methanol.
(1) Shake a weighed quantity of the shampoo containing 50 mg of Ketoconazole with 50 mL of methanol, add 15 mL of mobile phase A, allow to cool and dilute to 100 mL with methanol. Dilute 1 volume of the resulting solution to 10 volumes solution A.
(2) Dissolve 50 mg of ketoconazole BPCRS in 100 mL of methanol and dilute 1 volume of the resulting solution to 10 volumes with solution A.
CHROMATOGRAPHIC CONDITIONS
(a) Use a stainless steel column (25 cm × 3.0 mm) packed with end-capped phenylsilyl silica gel for chromatography (5 μm) (Waters XBridge BEH Phenyl is suitable).
(b) Use gradient elution and the mobile phase described below.
(c) Use a flow rate of 0.6 mL per minute.
(d) Use a column temperature of 35°.
(e) Use an autosampler temperature of 4°.
(f) Use a detection wavelength of 230 nm.
(g) Inject 10 μL of each solution.
MOBILE PHASE
Mobile phase A Dissolve 1.42 g of anhydrous disodium hydrogen orthophosphate and 3.1 g of anhydrous sodium dihydrogen orthophosphate in 1000 mL of water.
Mobile phase B acetonitrile.
Mobile phase C propan-2-ol R1.
| Time (Minutes) | Mobile phase A (% v/v) | Mobile phase B (% v/v) | Mobile phase C (% v/v) | Comment |
| 0-3 | 55 | 35 | 10 | isocratic |
| 3-13 | 55→37 | 35→53 | 10 | linear gradient |
| 13-18 | 37 | 53 | 10 | isocratic |
| 18-20 | 37→55 | 53→35 | 10 | linear gradient |
| 20-23 | 55 | 35 | 10 | re-equilibration |
DETERMINATION OF CONTENT
Calculate the content of ketoconazole, C26H28Cl2N4O4, in the shampoo from the chromatograms obtained and using the declared content of C26H28Cl2N4O4 in ketoconazole BPCRS.
IMPURITIES
The impurities limited by the requirements of this monograph include impurity D listed under Ketoconazole and the following:
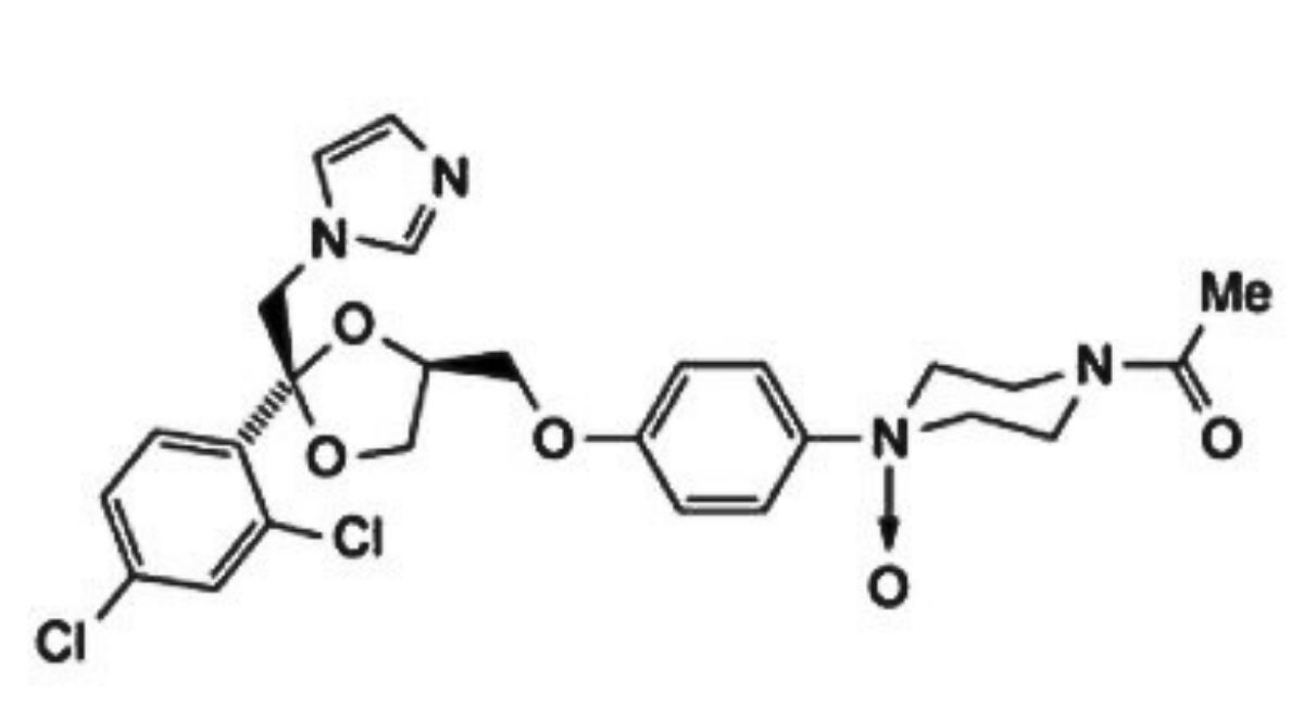
1. rac-4-acetyl-1-[4-({(2R,4S)-2-(2,4-dichlorophenyl)-2-[(1H-imidazol-1-yl)methyl]-1,3-dioxolan-4-yl}methoxy)phenyl]piperazine N -oxide. 1

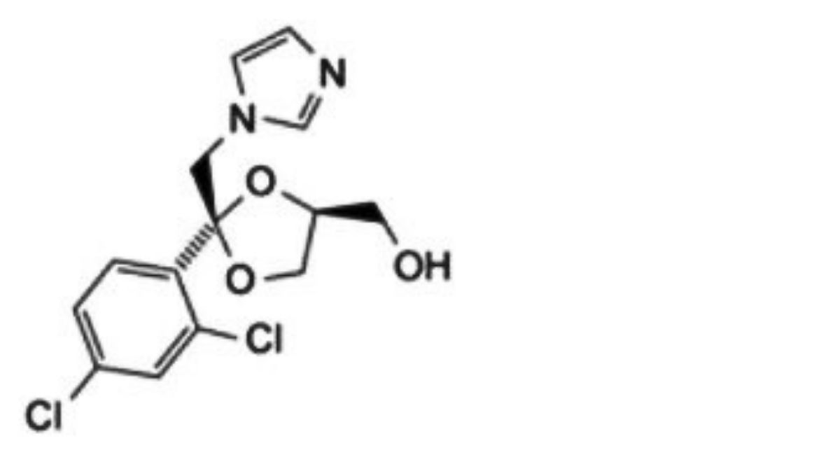
2. rac-{(2R,4S)-2-(2,4-dichlorophenyl)-2-[(1H-imidazol-1-yl)methyl]-1,3-dioxolan-4-yl}methanol.

3. Unknown structure






