Edition: BP 2025 (Ph. Eur. 11.6 update)\
Action and use
Antifungal.
DEFINITION
Ketoconazole Cream contains Ketoconazole in a suitable basis.
The cream complies with the requirements stated under Topical Semi-solid Preparations and with the following requirements.
Content of ketoconazole, C26H28Cl2N4O4
95.0 to 105.0% of the stated amount.
IDENTIFICATION
In the Assay, record the UV spectrum of the principal peak in the chromatograms obtained with solutions (1) and (2) with a diode array detector in the range 220 to 400 nm.
The UV spectrum of the principal peak in the chromatogram obtained with solution (1) is concordant with that of the peak in the chromatogram obtained with solution (2);
the retention time of the principal peak in the chromatogram obtained with solution (1) is similar to that of the peak in the chromatogram obtained with solution (2).
TESTS
Related substances
Carry out the method for liquid chromatography, Appendix III D, using the following solutions in low-actinic glassware. Store the solutions at 4°.
Solution A: 2 volumes of water and 98 volumes of methanol.
(1) Mix with the aid of ultrasound a quantity of the cream containing 30 mg of Ketoconazole with 50 mL of methanol, add 2 mL of water, allow to cool and dilute to 100 mL with methanol. Cool the solution in an ice-bath for 1 hour and filter.
(2) Dilute 1 volume of solution (1) to 500 volumes with solution A.
(3) 0.03% w/v of ketoconazole impurity standard BPCRS in solution A.
CHROMATOGRAPHIC CONDITIONS
(a) Use a stainless steel column (15 cm × 4.6 mm) packed with end-capped polar-embedded octadecylsilyl amorphous organosilica polymer (5 μm) (Waters XBridge BEH C18 is suitable).
(b) Use gradient elution and the mobile phase described below.
(c) Use a flow rate of 1.2 mL per minute.
(d) Use a column temperature of 40°.
(e) Use an autosampler temperature of 4°.
(f) Use a detection wavelength of 230 nm.
(g) Inject 25 μL of each solution.
MOBILE PHASE
Mobile phase A 25 volumes of acetonitrile and 75 volumes of 0.05M ammonium acetate, adjusted to pH 6.0 with glacial acetic acid.
Mobile phase B 20 volumes of 0.05M ammonium acetate, adjusted to pH 6.0 with glacial acetic acid and 80 volumes of acetonitrile.
| Time (Minutes) | Mobile phase A (% v/v) | Mobile phase B (% v/v) | Comment |
| 0-5 | 85 | 15 | isocratic |
| 5-10 | 85→76 | 15→24 | linear gradient |
| 10-20 | 76→52 | 24→48 | linear gradient |
| 20-21 | 52→0 | 48→100 | linear gradient |
| 21-22 | 0 | 100 | isocratic |
| 22-23 | 0→85 | 100→15 | linear gradient |
| 23-28 | 85 | 15 | re-equilibration |
When the chromatograms are recorded under the prescribed conditions, the relative retentions with reference to ketoconazole (retention time about 17 minutes) are: impurity 2, about 0.35; impurity 1, about 0.40; impurity D, about 0.6.
SYSTEM SUITABILITY
The test is not valid unless, in the chromatogram obtained with solution (3):
the resolution between the peaks due to impurity 2 and impurity 1 is at least 1.5;
the signal-to-noise ratio of the peak due to impurity 2 is at least 40.
LIMITS
Identify any peak in solution (1) corresponding to impurity 2 using the chromatogram obtained with solution (3) and the chromatogram supplied with ketoconazole impurity standard BPCRS and multiply the area of this peak by a correction factor of 1.5.
In the chromatogram obtained with solution (1):
the area of any peak due to impurity 1 is not greater than 2.5 times the area of the principal peak in the chromatogram obtained with solution (2) (0.5%);
the area of any peak due to impurity D is not greater than twice the area of the principal peak in the chromatogram obtained with solution (2) (0.4%);
the area of any other secondary peak is not greater than the area of the principal peak in the chromatogram obtained with solution (2) (0.2%);
the sum of the areas of all the secondary peaks is not greater than 5 times the area of the principal peak in the chromatogram obtained with solution (2) (1.0%).
Disregard any peak with an area less than half the area of the principal peak in the chromatogram obtained with solution (2) (0.1%).
ASSAY
Carry out the method for liquid chromatography, Appendix III D, using the following solutions in low-actinic glassware. Store the solutions at 4°.
Solution A: 2 volumes of water and 98 volumes of methanol.
(1) To a weighed quantity of the cream containing 30 mg of Ketoconazole add 50 mL of methanol and shake for 45 minutes, mix with the aid of ultrasound for 10 minutes, add 2 mL of water, allow to cool and dilute to 100 mL with methanol. Cool the solution at 5° for 1 hour, filter and dilute 1 volume of the resulting solution to 10 volumes with solution A.
(2) 0.003% w/v of ketoconazole BPCRS in solution A.
CHROMATOGRAPHIC CONDITIONS
The chromatographic conditions described under Related substances may be used.
DETERMINATION OF CONTENT
Calculate the content of ketoconazole, C26H28Cl2N4O4, in the cream from the chromatograms obtained and using the declared content of C26H28Cl2N4O4 in ketoconazole BPCRS.
IMPURITIES
The impurities limited by the requirements of this monograph include impurity D listed under Ketoconazole and the
following:
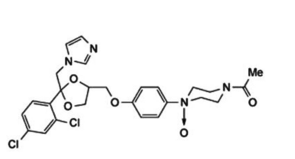
1. rac-4-acetyl-1-[4-({(2R,4S)-2-(2,4-dichlorophenyl)-2-[(1H-imidazol-1-yl)methyl]-1,3-dioxolan-4-yl}methoxy)phenyl]piperazine N -oxide;

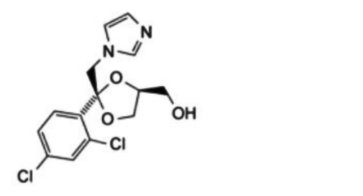
2. rac-{(2R,4S)-2-(2,4-dichlorophenyl)-2-[(1H-imidazol-1-yl)methyl]-1,3-dioxolan-4-yl}methanol.







