(Ph. Eur. monograph 1753 )
C18H24I3N3O8 791 73334-07-3
Action and use
Iodinated contrast medium.
DEFINITION
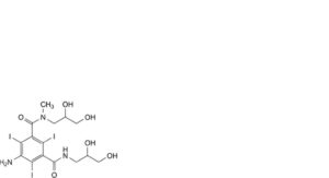
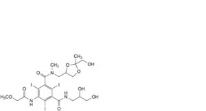
N,N′-Bis(2,3-dihydroxypropyl)-2,4,6-triiodo-5-[(methoxyacetyl)amino]-N-methylbenzene-1,3-dicarboxamide.
Mixture of diastereoisomers and atropisomers.
Content
97.0 per cent to 102.0 per cent (anhydrous substance).
CHARACTERS
Appearance
White or slightly yellowish powder.
Solubility
Freely soluble in water and in dimethyl sulfoxide, practically insoluble in ethanol (96 per cent) and in acetone.
IDENTIFICATION
Infrared absorption spectrophotometry (2.2.24).
Iopromide
Comparison iopromide CRS.
TESTS
Appearance of solution
The solution is clear (2.2.1) and not more intensely coloured than reference solutions BY6, B6 and Y6 (2.2.2, Method I).
Dissolve 16.5 g in 20 mL of carbon dioxide-free water R while heating on a water-bath at a temperature not exceeding 70 °C. Allow to cool to room temperature.
Conductivity (2.2.38)
Maximum 50 μS·cm .
Dissolve 1.000 g in water R and dilute to 50.0 mL with the same solvent.
Impurity A and related primary aromatic amines
Maximum 0.01 per cent.
Protect the solutions from light throughout the test. All given times are critical for the test results. The test solution, reference solution and blank solution must be processed in parallel.
Test solution: Dissolve 0.500 g of the substance to be examined in 20.0 mL of water R in a 25 mL volumetric flask.
Reference solution: Dissolve the contents of a vial of iopromide impurity A CRS in 5.0 mL of water R. Transfer 2.0 mL of this solution to a 25 mL volumetric flask and add 18.0 mL of water R.
Blank solution: Place 20.0 mL of water R in a 25 mL volumetric flask.
Cool the test solution, reference solution and blank solution in a bath of iced water for 5 min. Add 1.0 mL of hydrochloric acid R1 to each solution and cool again for 5 min in a bath of iced water. Add 1.0 mL of a 20 g/L solution of sodium nitrite R, shake vigorously and cool for another 5 min in a bath of iced water. To each solution add 0.50 mL of an 80 g/L solution of sulfamic acid R. Over the next 5 min, shake vigorously several times, raising the stoppers to vent the gas that evolves. Afterwards, add to each solution 1.0 mL of a 1 g/L solution of naphthylethylenediamine dihydrochloride R in a mixture of 300 volumes of water R and 700 volumes of propylene glycol R, shake, allow to cool to room temperature for 10 min and dilute to 25.0 mL with water R. Degas the solutions in an ultrasonic bath for 1 min and measure the absorbance (2.2.25) of the test solution and the reference solution at 495 nm against the blank, within 5 min. The test is not valid unless the absorbance of the reference solution is at least 0.08. The absorbance of the test solution is not greater
than the absorbance of the reference solution.
Impurity B
Liquid chromatography (2.2.29).
Solvent mixture methanol R, water R (50:50 V/V).
Test solution: Dissolve 40.0 mg of the substance to be examined in the solvent mixture and dilute to 25.0 mL with the solvent mixture.
Reference solution (a): Dissolve 40.0 mg of iopromide CRS in the solvent mixture and dilute to 25.0 mL with the solvent mixture.
Reference solution (b): Introduce several millilitres of reference solution (a) into a vial sealed with a crimp-top. Heat at 121 °C for 15 min.
Reference solution (c): Dilute 1.5 mL of the test solution to 100.0 mL with the solvent mixture.
Column:
— size: l = 0.25 m, Ø = 4.6 mm;
— stationary phase: end-capped octadecylsilyl silica gel for chromatography R (5 μm);
— temperature: 20 °C.
Mobile phase: Mix 6 g of chloroform R with 59 g of methanol R. Add 900 g of water for chromatography R in small portions to the chloroform/methanol mixture and stir for at least 2 h to obtain a homogeneous solution.
Flow rate: 1.2 mL/min. Detection Spectrophotometer at 254 nm.
Injection: 10 μL of the test solution and reference solutions (a) and (c).
Run time: 50 min.
Identification of impurities: Use the chromatogram supplied with iopromide CRS and the chromatogram obtained with reference solution (a) to identify the peaks due to impurity B isomers Y1 and Y2.
Relative retention: With reference to iopromide isomer Z2 (retention time = about 34 min): impurity B isomer Y1 = about 0.28; impurity B isomer Y2 = about 0.31.
System suitability: Reference solution (a):
— the chromatogram obtained shows 2 peaks due to impurity B isomers Y1 and Y2.
Limit:
— sum of impurity B isomers Y1 and Y2: not more than the sum of the areas of the 2 principal peaks due to the iopromide in the chromatogram obtained with reference solution (c) (1.5 per cent).
Related substances
Thin-layer chromatography (2.2.27).
Solvent mixture methanol R, water R (50:50 V/V).
Test solution: Dissolve 1.0 g of the substance to be examined in the solvent mixture and dilute to 10.0 mL with the solvent mixture.
Reference solution (a): Dilute 1.0 mL of the test solution to 100.0 mL with the solvent mixture.
Reference solution (b): Dilute 5.0 mL of reference solution (a) to 10.0 mL with the solvent mixture.
Reference solution (c): Dilute 2.0 mL of reference solution (a) to 10.0 mL with the solvent mixture.
Reference solution (d): Dilute 1.0 mL of reference solution (a) to 10.0 mL with the solvent mixture.
Reference solution (e): Dissolve the contents of a vial of iopromide for system suitability 1 CRS (containing impurities B and E) in 50 μL of the solvent mixture.
Reference solution (f): Dissolve the contents of a vial of iopromide for system suitability 2 CRS (containing impurities B, C, D and F) in 50 μL of the solvent mixture.
Plates: TLC silica gel F254 plate R (2 plates).
A. Mobile phase: concentrated ammonia R, water R, dioxan R (4:15:85 V/V/V).
Application: 2 μL of the test solution and reference solutions (b), (d) and (e).
Development: Over 3/4 of the plate.
Drying In a current of air, until complete evaporation of the solvents, then at 120 °C for 30 min.
Detection: Examine immediately in ultraviolet light at 254 nm; expose to ultraviolet light for 2-5 min until the principal spots appear clearly as yellow spots, then spray with ferric chloride-ferricyanide-arsenite reagent R and examine immediately in daylight.
Retardation factors Impurity B = about 0.26; iopromide = about 0.34; impurity E = about 0.41. System suitability Reference solution (e):
— the chromatogram shows 3 clearly separated spots.
Limits:
— impurity E: any spot due to impurity E is not more intense than the principal spot in the chromatogram obtained with reference solution (b) (0.5 per cent);
— unspecified impurities: any other spot is not more intense than the principal spot in the chromatogram obtained with reference solution (d) (0.10 per cent); disregard any spot due to impurity B.
B. Mobile phase: anhydrous formic acid R, water R, methanol R, chloroform R (2:6:32:62 V/V/V/V).
Application: 2 μL of the test solution and reference solutions (a), (b) ,(c), (d) and (f).
Development: Over 3/4 of the plate.
Drying: In a current of air, until complete evaporation of the solvents, then at 120 °C for 30 min.
Detection: Examine immediately in ultraviolet light at 254 nm; expose to an ammonia vapour for 30 min, dry in a current of air for 10 min, then expose to ultraviolet light for 2-5 min until the principal spots appear clearly as yellow spots, then spray with ferric chloride-ferricyanide-arsenite reagent R and examine immediately in daylight.
Retardation factors: Impurity C = about 0.23; impurity D = about 0.29; impurity B = about 0.36; iopromide = about 0.43; impurity F = about 0.71.
System suitability: Reference solution (f):
— the chromatogram shows 5 clearly separated spots.
Limits:
— impurity D: any spot due to impurity D is not more intense than the principal spot in the chromatogram obtained with reference solution (a) (1.0 per cent);
— impurity C: any spot due to impurity C is not more intense than the principal spot in the chromatogram obtained with reference solution (b) (0.5 per cent);
— impurity F: any spot due to impurity F is not more intense than the principal spot in the chromatogram obtained with reference solution (c) (0.2 per cent);
— unspecified impurities: any other spot is not more intense than the principal spot in the chromatogram obtained with reference solution (d) (0.10 per cent); disregard any spot due to impurity B.
Isomer distribution
Liquid chromatography (2.2.29) as described in the test for impurity B with the following modifications.
Calculate the percentage content of the isomer groups with reference to the total area of all the peaks due to the 4 iopromide isomers, using the chromatogram obtained with the test solution.
Limits:
— sum of iopromide isomers E1 and Z1: 40.0 per cent to 51.0 per cent;
— sum of iopromide isomers E2 and Z2: 49.0 per cent to 60.0 per cent.
Free iodine
Dissolve 2.0 g in 20 mL of water R in a glass-stoppered test tube. Add 2 mL of dilute sulfuric acid R and 2 mL of toluene R, close and shake vigorously. The upper layer remains colourless (2.2.2, Method II).
Iodide
Maximum 2 ppm.
Dissolve 10.0 g in 50 mL of carbon dioxide-free water R. Adjust to pH 3-4 adding about 0.15 mL of 0.1 M sulfuric acid.
Titrate with 0.001 M silver nitrate. Determine the end-point potentiometrically (2.2.20) using a combined metal electrode.
Not more than 0.15 mL of 0.001 M silver nitrate is required to reach the end-point.
Water (2.5.12)
Maximum 1.5 per cent, determined on 1.00 g.
Sulfated ash (2.4.14)
Maximum 0.1 per cent, determined on 1.0 g.
Bacterial endotoxins (2.6.14)
Less than 1.0 IU/g.
ASSAY
Liquid chromatography (2.2.29) as described in the test for impurity B with the following modifications.
Injection: Test solution and reference solutions (a) and (b).
Identification of the isomers: The 2 principal peaks in the chromatogram obtained with reference solution (a) are due to iopromide isomers Z1 and Z2. The 2 peaks that have an increased size in the chromatogram obtained with reference solution (b) in comparison to the chromatogram obtained with reference solution (a), are due to iopromide isomers E1 and E2.
Relative retention: With reference to iopromide isomer Z2 (retention time = about 34 min): iopromide isomer E1 = about 0.70; iopromide isomer E2 = about 0.75; iopromide isomer Z1 = about 0.85.
System suitability Reference solution (a):
— resolution: minimum 2.0 between the peaks due to iopromide isomers Z1 and Z2.
Calculate the percentage content of iopromide from the declared content of iopromide CRS and from the sum of the areas of all of the peaks due to isomer groups E and Z.
STORAGE
Protected from light.
IMPURITIES
Specified impurities A, B, C, D, E, F.
Other detectable impurities (the following substances would, if present at a sufficient level, be detected by one or other of the tests in the monograph. They are limited by the general acceptance criterion for other/unspecified impurities and/or by the general monograph Substances for pharmaceutical use (2034). It is therefore not necessary to identify these impurities for demonstration of compliance. See also 5.10. Control of impurities in substances for pharmaceutical use) G, H.

A. 5-amino-N,N′-bis(2,3-dihydroxypropyl)-2,4,6-triiodo-N-methylbenzene-1,3-dicarboxamide,

B. 5-(acetylamino)-N,N′-bis(2,3-dihydroxypropyl)-2,4,6-triiodo-N-methylbenzene-1,3-dicarboxamide,

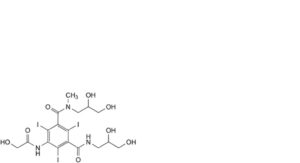
C. N,N′-bis(2,3-dihydroxypropyl)-5-[(hydroxyacetyl)amino]-2,4,6-triiodo-N-methylbenzene-1,3-dicarboxamide,

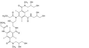
D. N-(2,3-dihydroxypropyl)-N′-[3-[[3-[(2,3-dihydroxypropyl)carbamoyl]-5-[(2,3-dihydroxypropyl)methylcarbamoyl]-2,4,6- triiodophenyl](methoxyacetyl)amino]-2-hydroxypropyl]-2,4,6-triiodo-5-[(methoxyacetyl)amino]-N-methylbenzene-1,3-dicarboxamide,

E. 3-[[3-[(2,3-dihydroxypropyl)carbamoyl]-2,4,6-triiodo-5-[(methoxyacetyl)amino]benzoyl]methylamino]-2-hydroxypropyl 3-[(2,3-dihydroxypropyl)carbamoyl]-2,4,6-triiodo-5-[(methoxyacetyl)amino]benzoate,

F. N′-(2,3-dihydroxypropyl)-N-[[2-(hydroxymethyl)-2-methyl-1,3-dioxolan-4-yl]methyl]-2,4,6-triiodo-5- [(methoxyacetyl)amino]-N-methylbenzene-1,3-dicarboxamide,

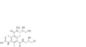
G. N′-(2-chloro-3-hydroxypropyl)-N-(2,3-dihydroxypropyl)-2,4,6-triiodo-5-[(methoxyacetyl)amino]-N-methylbenzene-1,3-dicarboxamide,

H. 3-[(2,3-dihydroxypropyl)carbamoyl]-2,4,6-triiodo-5-[(methoxyacetyl)amino]benzoic acid.






