Indinavir Sulphate
(Ph. Eur. monograph 2214)
C36H49N5O8S,C2H6O 758 157810-81-6
Action and use
Protease inhibitor; antiviral (HIV).
DEFINITION
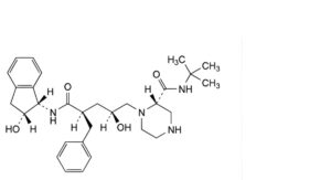
(2S)-1-[(2S,4R)-4-Benzyl-2-hydroxy-5-[[(1S,2R)-2-hydroxy-2,3-dihydro-1H-inden-1-yl]amino]-5-oxopentyl]-N-(1,1-dimethylethyl)-4-(pyridin-3-ylmethyl)piperazine-2-carboxamide sulfate ethanolate.
Content
98.0 per cent to 102.0 per cent (anhydrous and ethanol-free substance).
PRODUCTION
A test for enantiomeric purity is carried out unless it has been demonstrated that the manufacturing process is enantioselective for the substance.
CHARACTERS
Appearance
White or almost white, hygroscopic powder.
Solubility
Freely soluble in water, soluble in methanol, practically insoluble in heptane.
IDENTIFICATION
A. Specific optical rotation (2.2.7): + 122 to + 129 (anhydrous and ethanol-free substance), determined at 365 nm and at 25 °C.
Dissolve 0.500 g in water R and dilute to 50.0 mL with the same solvent.
B. Infrared absorption spectrophotometry (2.2.24).
Comparison Ph. Eur. reference spectrum of indinavir sulfate.
C. It gives reaction (a) of sulfates (2.3.1).
D. Ethanol (see Tests).
TESTS
Related substances
Liquid chromatography (2.2.29).
Solution A Thoroughly mix equal volumes of mobile phase A and acetonitrile R1.
Test solution Dissolve 50.0 mg of the substance to be examined in solution A and dilute to 100.0 mL with the same solution.
Reference solution (a) Dissolve 4 mg of indinavir for system suitability CRS (containing impurities B, C and E) in solution A and dilute to 10 mL with the same solution.
Reference solution (b) Dilute 1.0 mL of the test solution to 100.0 mL with solution A. Dilute 1.0 mL of this solution to 10.0 mL with solution A.
Reference solution (c) Dissolve 5.0 mg of cis-aminoindanol R (impurity A) in solution A and dilute to 10.0 mL with the same solution. Dilute 1.0 mL of the solution to 100.0 mL with solution A. Dilute 1.0 mL of this solution to 10.0 mL with solution A.
Reference solution (d) To 30 mg of the substance to be examined add 0.25 mL of 2 M hydrochloric acid R and allow to stand at room temperature for 1 h. Dilute to 100 mL with a mixture of 2 volumes of acetonitrile R1 and 3 volumes of mobile phase A and mix (in situ degradation to obtain impurity D).
Column:
— size: l = 0.25 m, Ø = 4.6 mm;
— stationary phase: octadecylsilyl silica gel for chromatography R (5 μm).
Mobile phase:
— mobile phase A: solution containing 0.27 g/L of potassium dihydrogen phosphate R and 1.40 g/L of dipotassium hydrogen phosphate R; filter and degas;
— mobile phase B: acetonitrile R1;
| Time (min) |
Mobile phase A (per cent V/V) |
Mobile phase B (per cent V/V) |
| 0 – 5 | 80 | 20 |
| 5 – 40 | 80 → 30 | 20 → 70 |
| 40 – 45 | 30 | 70 |
| 45 – 47 | 30 → 80 | 70 → 20 |
| 47 – 52 | 80 | 20 |
Flow rate 1.0 mL/min.
Detection Spectrophotometer at 220 nm.
Injection 20 μL.
Identification of impurities: Use the chromatogram supplied with indinavir for system suitability CRS and the chromatogram obtained with reference solution (a) to identify the peaks due to impurities B, C and E; use the chromatogram obtained with reference solution (d) to identify the peak due to impurity D.
Relative retention: With reference to indinavir (retention time = about 25 min): impurity A = about 0.2; impurity B = about 0.8; impurity C = about 0.98; impurity D = about 1.1; impurity E = about 1.3.
System suitability Reference solution (a):
— resolution: minimum 1.8 between the peaks due to impurity C and indinavir.
Limits:
— correction factor: for the calculation of content, multiply the peak area of impurity D by 1.8;
— impurity A: not more than the area of the principal peak in the chromatogram obtained with reference solution (c) (0.1 per cent);
— impurity D: not more than twice the area of the principal peak in the chromatogram obtained with reference solution (b) (0.2 per cent);
— impurities B, C, E: for each impurity, not more than the area of the principal peak in the chromatogram obtained with reference solution (b) (0.1 per cent);
— unspecified impurities: for each impurity, not more than 0.5 times the area of the principal peak in the chromatogram obtained with reference solution (b) (0.05 per cent);
— total: not more than 5 times the area of the principal peak in the chromatogram obtained with reference solution (b) (0.5 per cent);
— disregard limit: 0.3 times the area of the principal peak in the chromatogram obtained with reference solution (b) (0.03 per cent).
Ethanol
Gas chromatography (2.2.28).
Internal standard solution: Dilute 1.0 mL of propanol R to 200.0 mL with water R.
Test solution: Dissolve 0.400 g of the substance to be examined in 50.0 mL of water R, add 8.0 mL of the internal standard solution and dilute to 100.0 mL with water R.
Reference solution Dilute 1.0 mL of anhydrous ethanol R to 200.0 mL. Dilute 2.0 mL of this solution and 2.0 mL of the internal standard solution to 25.0 mL with water R.
Column:
— material: fused silica;
— size: l = 30 m, Ø = 0.53 mm;
— stationary phase: macrogol 20 000 R (film thickness 1.0 μm).
Carrier gas helium for chromatography R.
Flow rate 10 mL/min.
Split ratio 1:10.
Temperature:
— column: 35 °C;
— injection port: 140 °C;
— detector: 220 °C.
Detection Flame ionisation.
Injection 1.0 μL.
System suitability Reference solution:
— retention time: ethanol = 2 min to 4 min;
— resolution: minimum 5.0 between the peaks due to ethanol and propanol.
Calculate the percentage content of ethanol taking the density (2.2.5) to be 0.790 g/mL.
Limit:
— ethanol: 5.0 per cent to 8.0 per cent m/m.
Water (2.5.12)
Maximum 1.5 per cent, determined on 0.500 g.
Sulfated ash (2.4.14)
Maximum 0.1 per cent, determined on 1.0 g.
ASSAY
Liquid chromatography (2.2.29).
Solution B: Add 20 mL of dibutylammonium phosphate for ion-pairing R to 1000 mL of water R. Adjust to pH 6.5 with 1 M sodium hydroxide.
Test solution: Dissolve 60.0 mg of the substance to be examined in the mobile phase and dilute to 100.0 mL with the mobile phase.
Reference solution: Dissolve 50.0 mg of indinavir CRS in the mobile phase and dilute to 100.0 mL with the mobile phase.
Column:
— size: l = 0.25 m, Ø = 4.6 mm;
— stationary phase: base-deactivated octylsilyl silica gel for chromatography R (5 μm);
— temperature: 40 °C.
Mobile phase acetonitrile R, solution B (45:55 V/V).
Flow rate 1.0 mL/min.
Detection Spectrophotometer at 260 nm.
Injection 10 μL.
Run time: Twice the retention time of indinavir.
Retention time Indinavir = about 10 min.
Calculate the percentage content of C36H49N5O8S using the declared content of indinavir CRS and multiplying by a correction factor of 1.1598.
STORAGE
In an airtight container, protected from light.
IMPURITIES
Specified impurities A, B, C, D, E.
Other detectable impurities (the following substances would, if present at a sufficient level, be detected by one or other of the tests in the monograph. They are limited by the general acceptance criterion for other/unspecified impurities and/or by the general monograph Substances for pharmaceutical use (2034). It is therefore not necessary to identify these impurities for demonstration of compliance. See also 5.10. Control of impurities in substances for pharmaceutical use) F.

A. (1S,2R)-1-amino-2,3-dihydro-1H-inden-2-ol (cis-aminoindanol),

B. (2S)-1-[(2S,4R)-4-benzyl-2-hydroxy-5-[[(1S,2R)-2-hydroxy-2,3-dihydro-1H-inden-1-yl]amino]-5-oxopentyl]-N-(1,1-dimethylethyl)piperazine-2-carboxamide,

C. (2S)-1-[(2R,4R)-4-benzyl-2-hydroxy-5-[[(1S,2R)-2-hydroxy-2,3-dihydro-1H-inden-1-yl]amino]-5-oxopentyl]-N-(1,1-dimethylethyl)-4-(pyridin-3-ylmethyl)piperazine-2-carboxamide,

D. (3R,5S)-3-benzyl-5-[[(2S)-2-[(1,1-dimethylethyl)carbamoyl]-4-(pyridin-3-ylmethyl)piperazin-1-yl]methyl]-4,5- dihydrofuran-2(3H)-one,

E. (2S)-1,4-bis[(2S,4R)-4-benzyl-2-hydroxy-5-[[(1S,2R)-2-hydroxy-2,3-dihydro-1H-inden-1-yl]amino]-5-oxopentyl]-N-(1,1-dimethylethyl)piperazine-2-carboxamide,

F. 3-(chloromethyl)pyridine (nicotinyl chloride).






