(Ph. Eur. monograph 0029)
C19H25ClN2 316.9 113-52-0
Action and use
Monoamine reuptake inhibitor; tricyclic antidepressant.
Preparation
Imipramine Tablets
DEFINITION
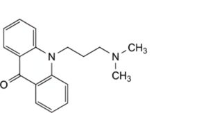
3-(10,11-Dihydro-5H-dibenzo[b,f]azepin-5-yl)-N,N-dimethylpropan-1-amine hydrochloride.
Content
98.5 per cent to 101.0 per cent (dried substance).
CHARACTERS
Appearance
White or slightly yellow, crystalline powder.
Solubility
Freely soluble in water and in ethanol (96 per cent).
IDENTIFICATION
First identification: B, D.
Second identification: A, C, D.
A. Melting point (2.2.14): 170 °C to 174 °C.
B. Infrared absorption spectrophotometry (2.2.24).
Comparison: imipramine hydrochloride CRS.
C. Dissolve about 5 mg in 2 mL of nitric acid R. An intense blue colour develops.
D. About 20 mg gives reaction (a) of chlorides (2.3.1).
TESTS
Solution S
To 3.0 g add 20 mL of carbon dioxide-free water R, dissolve rapidly by shaking and triturating with a glass rod and dilute to 30 mL with the same solvent.
Appearance of solution
Solution S is clear (2.2.1). Immediately after preparation, dilute solution S with an equal volume of water R. This solution is not more intensely coloured than reference solution BY6 (2.2.2, Method II).
pH (2.2.3)
3.6 to 5.0 for solution S, measured immediately after preparation.
Related substances
Liquid chromatography (2.2.29).
Test solution: Dissolve 50.0 mg of the substance to be examined in the mobile phase and dilute to 50.0 mL with the mobile phase.
Reference solution (a): Dissolve 5.0 mg of imipramine for system suitability CRS (containing impurity B) in the mobile phase and dilute to 5.0 mL with the mobile phase.
Reference solution (b): Dilute 1.0 mL of the test solution to 100.0 mL with the mobile phase. Dilute 1.0 mL of this solution to 10.0 mL with the mobile phase.
Column:
— size: l = 0.15 m, Ø = 4.6 mm;
— stationary phase: end-capped polar-embedded octadecylsilyl amorphous organosilica polymer R (5 μm);
— temperature: 40 °C.
Mobile phase: Mix 40 volumes of acetonitrile R1 with 60 volumes of a 5.2 g/L solution of dipotassium hydrogen phosphate R previously adjusted to pH 7.0 with phosphoric acid R.
Flow rate: 1.0 mL/min.
Detection: Spectrophotometer at 220 nm.
Injection: 10 μL.
Run time: 2.5 times the retention time of imipramine.
Relative retention: With reference to imipramine (retention time = about 7 min): impurity B = about 0.7.
System suitability: Reference solution (a):
— resolution: minimum 5.0 between the peaks due to impurity B and imipramine.
Limits:
— impurity B: not more than the area of the corresponding peak in the chromatogram obtained with reference solution (a) (0.1 per cent);
— unspecified impurities: for each impurity, not more than the area of the peak due to imipramine in the chromatogram obtained with reference solution (b) (0.10 per cent);
— total: not more than 3 times the area of the peak due to imipramine in the chromatogram obtained with reference solution (b) (0.3 per cent);
— disregard limit: 0.5 times the area of the peak due to imipramine in the chromatogram obtained with reference solution (b) (0.05 per cent).
Loss on drying (2.2.32)
Maximum 0.5 per cent, determined on 1.000 g by drying in an oven at 105 °C.
Sulfated ash (2.4.14)
Maximum 0.1 per cent, determined on 1.0 g.
ASSAY
Dissolve 0.250 g in 50 mL of ethanol (96 per cent) R and add 5.0 mL of 0.01 M hydrochloric acid. Carry out a potentiometric titration (2.2.20), using 0.1 M sodium hydroxide. Read the volume added between the 2 points of inflexion.
1 mL of 0.1 M sodium hydroxide is equivalent to 31.69 mg of C19H25ClN2.
STORAGE
Protected from light.
IMPURITIES
Specified impurities B.
Other detectable impurities (the following substances would, if present at a sufficient level, be detected by one or other of the tests in the monograph. They are limited by the general acceptance criterion for other/unspecified impurities and/or by the general monograph Substances for pharmaceutical use (2034). It is therefore not necessary to identify these impurities for demonstration of compliance. See also 5.10. Control of impurities in substances for pharmaceutical use) A, C.

A. 3-(10,11-dihydro-5H-dibenzo[b,f]azepin-5-yl)-N-methylpropan-1-amine (desipramine),

B. 3-(5H-dibenzo[b,f]azepin-5-yl)-N,N-dimethylpropan-1-amine (depramine),

C. 10-[3-(dimethylamino)propyl]acridin-9(10H)-one.






