Edition: BP 2025 (Ph. Eur. 11.6 update)
Action and use
Tyrosine kinase (BCR-ABL) inhibitor; antineoplastic.
DEFINITION
Imatinib Capsules contain Imatinib Mesilate.
The capsules comply with the requirements stated under Capsules and with the following requirements.
PRODUCTION
Risk assessment should be used to evaluate the potential for mutagenic methanesulfonate esters to be formed in the presence of low molecular weight alcohols. If a risk of methanesulfonate ester formation is identified through risk assessment, these impurities should not exceed the threshold of toxicological concern.
Content of imatinib, C29H31N7O
95.0 to 105.0% of the stated amount.
IDENTIFICATION
Shake a quantity of the mixed capsule contents containing the equivalent of 50 mg of imatinib with 10 mL of methanol, filter and evaporate the filtrate to dryness. The infrared absorption spectrum of the residue, Appendix II A, is concordant with the reference spectrum of imatinib mesilate (RS 514).
TESTS
Dissolution
Comply with the dissolution test for tablets and capsules, Appendix XII B1.
TEST CONDITIONS
(a) Use Apparatus 2, rotating the paddle at 50 revolutions per minute.
(b) Use 900 mL of 0.05M potassium dihydrogen orthophosphate, adjusted to pH 4.5 with 0.1M sodium hydroxide, if necessary, at a temperature of 37°, as the medium.
PROCEDURE
(1) After 30 minutes withdraw a sample of the medium and filter (a 0.45-μm PTFE membrane filter is suitable). Dilute the filtered medium, if necessary, with sufficient dissolution medium to produce a solution expected to contain the equivalent of 0.0056% w/v of imatinib.
(2) 0.0066% w/v of imatinib mesilate BPCRS in the dissolution medium.
CHROMATOGRAPHIC CONDITIONS
(a) Use a stainless steel column (15 cm × 3.9 mm) packed with end-capped octadecylsilyl silica gel for chromatography (5 μm) (Symmetry C18 is suitable).
(b) Use isocratic elution and the mobile phase described below.
(c) Use a flow rate of 1.2 mL per minute.
(d) Use a column temperature of 30°.
(e) Use a detection wavelength of 269 nm.
(f) Inject 5 μL of each solution.
MOBILE PHASE
42 volumes of a solution containing 0.75% w/v of sodium octanesulfonate monohydrate in a mixture of 1 volume of triethylamine and 500 volumes of water, adjusted to pH 6.2 with orthophosphoric acid, and 58 volumes of methanol.
When the chromatograms are recorded under the prescribed conditions the retention time of imatinib is about 5 minutes.
DETERMINATION OF CONTENT
Calculate the total content of imatinib, C29H31N7O, in the medium from the chromatograms obtained and using the declared content of C30H35N7SO4 in imatinib mesilate BPCRS. Each mg of C30H35N7SO4 is equivalent to 0.8370 mg of C29H31N7O.
LIMITS
The amount of imatinib released is not less than 80% (Q) of the stated amount.
Related substances
Carry out the method for liquid chromatography, Appendix III D, using the following solutions.
(1) Mix with the aid of ultrasound a quantity of the mixed capsule contents containing the equivalent of 0.2 g of imatinib in 50 mL of methanol (80%) and centrifuge. Dilute 1 volume of the supernatant liquid to 5 volumes with methanol (50%) and filter (a 0.45-μm PTFE filter is suitable).
(2) Dilute 1 volume of solution (1) to 20 volumes with methanol (50%) and further dilute 1 volume to 10 volumes with methanol (50%).
(3) 0.1% w/v of imatinib impurity standard BPCRS in methanol (50%).
(4) Dilute 1 volume of solution (2) to 5 volumes with methanol (50%).
CHROMATOGRAPHIC CONDITIONS
(a) Use a stainless steel column (15 cm × 3.9 mm) packed with end-capped octadecylsilyl silica gel for chromatography (5 μm) (Symmetry C18 is suitable).
(b) Use gradient elution and the mobile phase described below.
(c) Use a flow rate of 1.2 mL per minute.
(d) Use a column temperature of 30°.
(e) Use a detection wavelength of 269 nm.
(f) Inject 10 μL of each solution.
MOBILE PHASE
Mobile phase A 2 volumes of methanol and 98 volumes of a solution containing 0.75% w/v of sodium octanesulfonate monohydrate in 1 volume of triethylamine and 500 volumes of water, adjusted to pH 6.2 with orthophosphoric acid.
Mobile phase B methanol.
| Time (Minutes) | Mobile phase A (% v/v) | Mobile phase B (% v/v) | Comment |
| 0-2
2-15 15-22 22-30 30-39 39-40 40-45 |
67
67→52 52 52→37 37 37→67 67 |
33
33→48 48 48→63 63 63→33 33 |
isocratic
linear gradient isocratic linear gradient isocratic linear gradient re-equilibration |
SYSTEM SUITABILITY
The test is not valid unless:
in the chromatogram obtained with solution (3), the peak-to-valley ratio is at least 1.5, where Hp is the height above the baseline of the peak due to imatinib and Hv is the height above the baseline of the lowest point of the curve separating this peak from the peak due to impurity C;
in the chromatogram obtained with solution (4), the signal-to-noise ratio of the peak due to imatinib is at least 15.
CALCULATION OF IMPURITIES
For each impurity, use the concentration of imatinib in solution (2).
For the reporting threshold, use the concentration of imatinib in solution (4).
For peak identification, use solution (3).
Imatinib retention time: about 27 minutes.
Relative retention: impurity 1, about 0.3; impurity J, about 0.5; and impurity C, about 1.2.
Correction factor: impurity 1, multiply by 1.3.
LIMITS
— impurity C: not more than 0.3%;
— unspecified impurities: for each impurity, not more than 0.2%;
— total impurities: not more than 1.0%;
— reporting threshold: 0.1%.
ASSAY
Weigh the contents of 20 capsules. Mix and powder if necessary. Carry out the method for liquid chromatography, Appendix III D, using the following solutions.
(1) Mix with the aid of ultrasound a quantity of the mixed capsule contents containing the equivalent of 0.2 g of imatinib in 80 mL of 0.05M potassium dihydrogen orthophosphate, dilute to produce 100 mL and centrifuge. Dilute 1 volume of the supernatant liquid to 20 volumes with methanol (50%) and filter (a 0.45-μm PTFE filter is suitable).
(2) 0.012% w/v of imatinib mesilate BPCRS in 0.05M potassium dihydrogen orthophosphate.
CHROMATOGRAPHIC CONDITIONS
The chromatographic conditions described under Dissolution may be used.
DETERMINATION OF CONTENT
Calculate the content of imatinib, C29H31N7O, in the capsules from the chromatograms obtained and using the declared content of C30H35N7SO4 in imatinib mesilate BPCRS. Each mg of C30H35N7SO4 is equivalent to 0.8370 mg of C29H31N7O.
LABELLING
The quantity of active ingredient is stated in terms of the equivalent amount of imatinib.
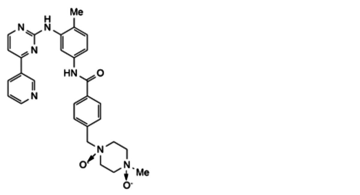
IMPURITIES
The impurities limited by the requirements of this monograph include impurities C and J listed under Imatinib Mesilate and:

1. 4-[(4-methyl-1,4-dioxido-1-piperazinyl)methyl]-N-[4-methyl-3-[[4-(3-pyridinyl)-2-pyrimidinyl]amino]phenyl]benzamide (imatinib (piperidine)-N,N-dioxide).






