Edition: BP 2025 (Ph. Eur. 11.6 update)
General Notices
Action and use
Histamine H1 receptor antagonist.
DEFINITION
Hydroxyzine Oral Solution contains Hydroxyzine Hydrochloride in a suitable vehicle.
The oral solution complies with the requirements stated under Oral Liquids and with the following requirements.
Content of hydroxyzine hydrochloride, C21H27ClN2O2,2HCl
95.0 to 105.0% of the stated amount.
IDENTIFICATION
A. Carry out the method for thin-layer chromatography, Appendix III A, using the following solutions, prepared in a
solution containing 1 volume of dichloromethane and 1 volume of methanol (solution A).
(1) Shake a quantity of the oral solution containing 50 mg of Hydroxyzine Hydrochloride with 10 mL of solution A. Centrifuge, allow to separate and use the lower layer.
(2) 1% w/v of hydroxyzine hydrochloride BPCRS.
(3) 0.5% w/v each of hydroxyzine hydrochloride BPCRS and meclozine hydrochloride BPCRS.
CHROMATOGRAPHIC CONDITIONS
(a) Use as the coating silica gel.
(b) Use the mobile phase as described below.
(c) Apply 30 μL of solution (1) and 2 μL of each of solutions (2) and (3).
(d) Develop the plate to 15 cm.
(e) After removal of the plate, dry in air, spray with potassium iodobismuthate solution R2, heat at 105° for 5 minutes and allow to cool.
MOBILE PHASE
1 volume of 13.5M ammonia, 24 volumes of ethanol and 75 volumes of toluene.
SYSTEM SUITABILITY
The test is not valid unless the chromatogram obtained with solution (3) shows two clearly separated spots.
CONFIRMATION
The principal spot in the chromatogram obtained with solution (1) corresponds in position and colour to that in the chromatogram obtained with solution (2).
B. In the Assay, the retention time of the principal peak in the chromatogram obtained with solution (1) is the same as
that of the peak due to hydroxyzine hydrochloride in the chromatogram obtained with solution (2).
TESTS
Acidity
pH, 2.7 to 3.0, Appendix V L.
Related substances
Carry out the method for liquid chromatography, Appendix III D, using the following solutions in a mixture of 1 volume of acetonitrile and 4 volumes of water.
(1) Dilute a quantity of the oral solution containing 5 mg of Hydroxyzine Hydrochloride to produce 50 mL and filter.
(2) Dilute 1 volume of solution (1) to 50 volumes. Further dilute 1 volume of the resulting solution to 10 volumes.
(3) 0.005% w/v each of hydroxyzine hydrochloride BPCRS and decloxizine hydrochloride.
(4) 0.00005% w/v of 4-chlorobenzophenone.
(5) Dilute 1 volume of solution (2) to 4 volumes.
CHROMATOGRAPHIC CONDITIONS
(a) Use a stainless steel column (10 cm × 4.6 mm) packed with octadecylsilyl silica gel for chromatography (2.7 μm)(Supelco Ascentis Express C18 is suitable).
(b) Use gradient elution and the mobile phase described below.
(c) Use a flow rate of 1.6 mL per minute.
(d) Use a column temperature of 40°.
(e) Use detection wavelengths of 230 nm and 260 nm.
(f) Inject 20 μL of each solution.
MOBILE PHASE
Mobile phase A 0.01M potassium dihydrogen phosphate adjusted to pH 3.0 with dilute phosphoric acid.
Mobile phase B acetonitrile.
| Time (Minutes) | Mobile phase A (% v/v) | Mobile phase B (% v/v) | Comment |
|---|---|---|---|
| 0-1 | 80 | 20 | isocratic |
| 1-10 | 80 → 70 | 20 → 30 | linear gradient |
| 10-25 | 70 → 10 | 30 → 90 | linear gradient |
| 25-27 | 10 → 80 | 90 → 20 | linear gradient |
| 27-30 | 80 | 20 | re-equilibration |
When the chromatograms are recorded under the prescribed conditions the retention time relative to hydroxyzine(retention time, about 9 minutes) are: impurity 1, about 0.44; impurity 2, about 0.81; impurity 3, about 0.83; impurity 4, about 0.85; impurity B, about 1.05; impurity 5, about 1.72 and impurity 6, about 2.0.
SYSTEM SUITABILITY
The test is not valid unless, in the chromatogram obtained with solution (3), the resolution between the peaks due to hydroxyzine hydrochloride and impurity B is at least 1.5.
LIMITS
At 260 nm In the chromatogram obtained with solution (1): identify any peak corresponding to impurity 6 using solution (4); the area of any peak due to impurity 6 is not greater than the area of the principal peak in the chromatogram obtained with solution (4) (0.5%).
At 230 nm In the chromatogram obtained with solution (1): the area of impurity 1 is not greater than 2.5 times the area of the principal peak in the chromatogram obtained with
solution (2) (0.5%); the area of any other secondary peak is not greater than the area of the principal peak in the chromatogram obtained with
solution (2) (0.2%); the total impurities are not greater than 2.0%.
Disregard any peak with an area less than the area of the principal peak in the chromatogram obtained with solution (5)(0.05%).
For formulations containing sugars Identify any peak corresponding to impurities 2, 3 and 4 using the retention time relative to hydroxyzine: impurity 2, about 0.81; impurity 3, about 0.83 and impurity 4, about 0.85. In the chromatogram obtained with solution (1) at 230 nm: the sum of the areas of impurity 2, impurity 3 and impurity 4 is not greater than 4.5 times the area of the principal peak in the chromatogram obtained with solution (2) (0.9%).
ASSAY
Carry out the method for liquid chromatography, Appendix III D, using the following solutions.
(1) To a quantity of the oral solution containing 50 mg of Hydroxyzine Hydrochloride, add 10 mL of water, 125 mL of methanol and add a sufficient quantity of a 30% v/v solution of acetonitrile to produce 250 mL. Dilute 5 mL of the filtrate to 10 mL with a 30% v/v solution of acetonitrile.
(2) 0.01% w/v of hydroxyzine hydrochloride BPCRS in a 30% v/v solution of acetonitrile.
(3) 0.01% w/v of hydroxyzine hydrochloride BPCRS in the mobile phase.
CHROMATOGRAPHIC CONDITIONS
(a) Use a stainless steel column (15 cm × 4.6 mm) packed with octadecylsilyl silica gel for chromatography (5 μm) (Luna
C18 is suitable).
(b) Use isocratic elution and the mobile phase described below.
(c) Use a flow rate of 1 mL per minute.
(d) Use an ambient column temperature.
(e) Use a detection wavelength of 230 nm.
(f) Inject 20 μL of each solution.
(g) Allow the chromatography to proceed for 3 times the retention time of hydroxyzine.
MOBILE PHASE
14 volumes of triethylamine, 300 volumes of acetonitrile and 686 volumes of a 0.075% w/v solution of sodium methanesulfonate, adjust the mobile phase to pH 2.7 with sulfuric acid.
When the chromatograms are recorded under the prescribed conditions the retention time of hydroxyzine is about 9 min.
SYSTEM SUITABILITY
The test is not valid unless, in the chromatogram obtained with solution (3), the peak-to-valley ratio is at least 10, where Hp is the height above the baseline of the peak immediately before the peak due to hydroxyzine and Hv is the height above the baseline of the lowest point of the curve separating this peak from the peak due to hydroxyzine.
DETERMINATION OF CONTENT
Calculate the content of C21H27ClN2O2,2HCl in the oral solution using the declared content of C21H27ClN2O2,2HCl in hydroxyzine hydrochloride BPCRS.
IMPURITIES
The impurities limited by the requirements of this monograph include those listed under Hydroxyzine Hydrochloride and:

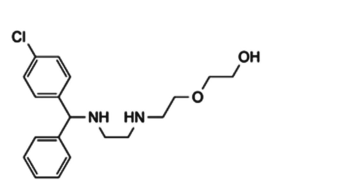
1. (2-(2-2((4-chlorophenyl)(phenyl)methylamino)ethylamino)ethanol);

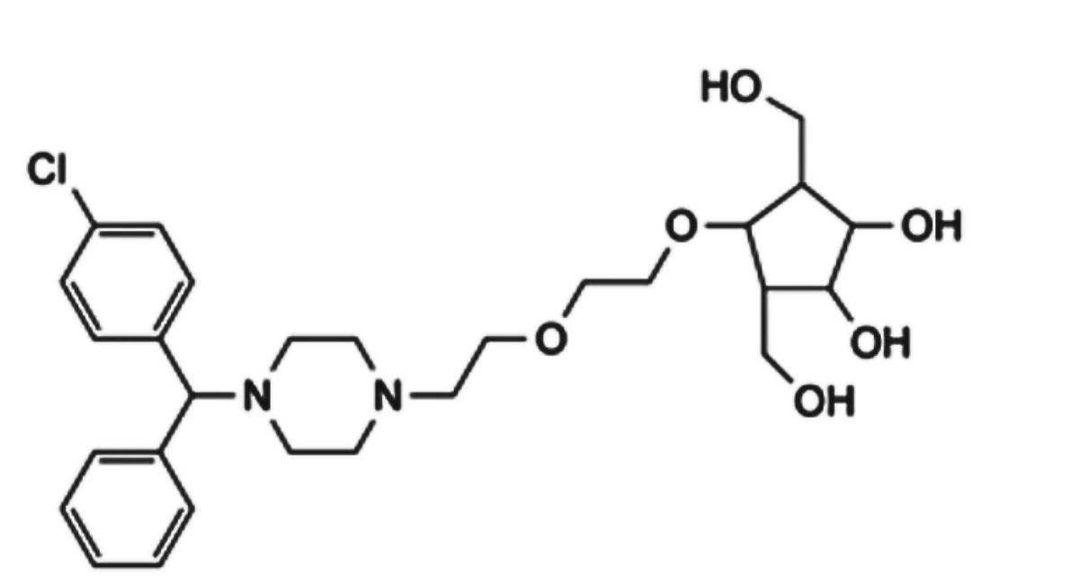
2, 3 and 4. Isomers of an adduct formed by the interaction of hydroxyzine and fructose;

5. 4-chlorobenzhydrol;

6. 4-chlorobenzophenone






