(Ph. Eur. monograph 2099)
C17H20ClNO3 321.8 71-68-1
Action and use
Opioid receptor agonist; analgesic.
DEFINITION
4,5α-Epoxy-3-hydroxy-17-methylmorphinan-6-one hydrochloride.
Content
99.0 per cent to 101.0 per cent (dried substance).
CHARACTERS
Appearance
White or almost white, crystalline powder.
Solubility
Freely soluble in water, very slightly soluble in ethanol (96 per cent), practically insoluble in methylene chloride.
IDENTIFICATION
A. Infrared absorption spectrophotometry (2.2.24).
Comparison: hydromorphone hydrochloride CRS.
B. It gives reaction (a) of chlorides (2.3.1).
TESTS
Solution S
Dissolve 1.250 g in carbon dioxide-free water R and dilute to 25.0 mL with the same solvent.
Appearance of solution
Solution S is clear (2.2.1) and not more intensely coloured than reference solution BY5 (2.2.2, Method II).
Acidity or alkalinity
To 2 mL of solution S add 0.1 mL of methyl red solution R. The solution is not yellow. To 2 mL of solution S add 0.05 mL of bromocresol green solution R. The solution is not yellow.
Specific optical rotation (2.2.7)
-136 to -140 (dried substance), determined on solution S.
Related substances
Liquid chromatography (2.2.29).
Test solution: Dissolve 0.100 g of the substance to be examined in water R, sonicating if necessary and dilute to 100.0 mL with the same solvent.
Reference solution (a): Dilute 1.0 mL of the test solution to 100.0 mL with water R. Dilute 1.0 mL of this solution to 10.0 mL with water R.
Reference solution (b): To 5 mL of the test solution add 5 mg of naloxone hydrochloride dihydrate CRS and dilute to 50 mL with water R.
Column:
— size: l = 0.25 m, Ø = 4.6 mm;
— stationary phase: base-deactivated end-capped octadecylsilyl silica gel for chromatography R (5 μm).
Mobile phase: Dissolve 18.29 g of diethylamine R and 2.88 g of sodium laurilsulfate R in water R and dilute to 1000 mL with the same solvent. Adjust 800 mL of this solution to pH 3.0 with phosphoric acid R. Add 100 mL of acetonitrile R and 100 mL of methanol R.
Flow rate: 1 mL/min.
Detection: Spectrophotometer at 284 nm.
Injection: 20 μL.
Run time: 4 times the retention time of hydromorphone.
Relative retention: With reference to hydromorphone (retention time = about 9 min): impurity D = about 0.72; impurity B = about 0.77; impurity C = about 0.82; impurity A = about 3.2.
System suitability: Reference solution (b):
— resolution: minimum 4.0 between the peaks due to hydromorphone and naloxone.
Limits:
— impurity A: not more than 3 times the area of the principal peak in the chromatogram obtained with reference solution (a) (0.3 per cent);
— impurities B, C, D: for each impurity, not more than twice the area of the principal peak in the chromatogram obtained with reference solution (a) (0.2 per cent);
— unspecified impurities: for each impurity, not more than the area of the principal peak in the chromatogram obtained with reference solution (a) (0.10 per cent);
— total: not more than 5 times the area of the principal peak in the chromatogram obtained with reference solution (a) (0.5 per cent);
— disregard limit: 0.5 times the area of the principal peak in the chromatogram obtained with reference solution (a) (0.05 per cent).
Loss on drying (2.2.32)
Maximum 0.5 per cent, determined on 1.000 g by drying in an oven at 105 °C.
Sulfated ash (2.4.14)
Maximum 0.1 per cent, determined on the residue obtained in the test for loss on drying.
ASSAY
Dissolve 0.250 g in 50 mL of ethanol (96 per cent) R and add 5.0 mL of 0.01 M hydrochloric acid. Carry out a potentiometric titration (2.2.20), using 0.1 M sodium hydroxide. Read the volume added between the 2 points of inflexion.
1 mL of 0.1 M sodium hydroxide is equivalent to 32.18 mg of C17H20ClNO3.
STORAGE
Protected from light.
IMPURITIES
Specified impurities A, B, C, D.

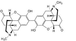
A. 4,5α:4′,5′α-diepoxy-3,3′-dihydroxy-17,17′-dimethyl-2,2′-bimorphinanyl-6,6′-dione (pseudohydromorphone),

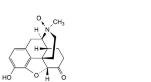
B. 4,5α-epoxy-3-hydroxy-17-methylmorphinan-6-one 17-oxide (hydromorphone N-oxide),

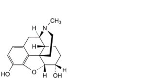
C. 7,8-didehydro-4,5α-epoxy-17-methylmorphinan-3,6α-diol (morphine),

D. 4,5α-epoxy-17-methylmorphinan-3,6α-diol (dihydromorphine).






