(Ph. Eur. monograph 0335)
C21H30O5 362.5 50-23-7
Action and use
Corticosteroid.
Preparations
Hydrocortisone Cream
Hydrocortisone and Clioquinol Cream
Hydrocortisone and Neomycin Cream
Hydrocortisone Ointment
Hydrocortisone and Clioquinol Ointment
Miconazole and Hydrocortisone Cream
Miconazole and Hydrocortisone Ointment
Tretinoin, Hydrocortisone and Hydroquinone Cream
DEFINITION
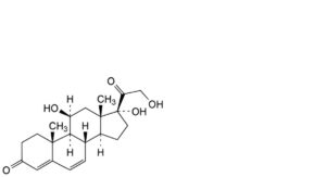
11β,17,21-Trihydroxypregn-4-ene-3,20-dione.
Content
97.0 per cent to 103.0 per cent (dried substance).
CHARACTERS
Appearance
White or almost white, crystalline powder.
Solubility
Practically insoluble in water, sparingly soluble in acetone and in ethanol (96 per cent), slightly soluble in methylene chloride.
It shows polymorphism (5.9).
IDENTIFICATION
First identification: A, B.
Second identification: C, D.
A. Infrared absorption spectrophotometry (2.2.24).
Comparison: hydrocortisone CRS.
If the spectra obtained in the solid state show differences, dissolve the substance to be examined and the reference substance separately in the minimum volume of acetone R, evaporate to dryness on a water-bath and record new spectra using the residues.
B. Liquid chromatography (2.2.29) as described in the test for related substances with the following modification.
Injection: Test solution and reference solution (c).
Results: The principal peak in the chromatogram obtained with the test solution is similar in retention time and size to the principal peak in the chromatogram obtained with reference solution (c).
C. Thin-layer chromatography (2.2.27).
Solution A: Dissolve 25 mg of the substance to be examined in methanol R and dilute to 5 mL with the same solvent.
Solution B: Dissolve 25 mg of hydrocortisone CRS in methanol R and dilute to 5 mL with the same solvent.
Test solution (a): Dilute 2 mL of solution A to 10 mL with methylene chloride R.
Test solution (b): Transfer 0.4 mL of solution A to a glass tube 100 mm long and 20 mm in diameter and fitted with a ground-glass stopper or a polytetrafluoroethylene cap. Evaporate the solvent with gentle heating under a stream of nitrogen R. Add 2 mL of a 15 per cent V/V solution of glacial acetic acid R and 50 mg of sodium bismuthate R. Stopper the tube and shake the suspension in a mechanical shaker, protected from light, for 1 h. Add 2 mL of a 15 per cent V/V solution of glacial acetic acid R and filter into a 50 mL separating funnel, washing the filter with 2 quantities, each of 5 mL, of water R. Shake the clear filtrate with 10 mL of methylene chloride R. Wash the organic layer with 5 mL of 1 M sodium hydroxide and then with 2 quantities, each of 5 mL, of water R. Dry over anhydrous sodium sulfate R.
Reference solution (a): Dilute 2 mL of solution B to 10 mL with methylene chloride R.
Reference solution (b): Transfer 0.4 mL of solution B to a glass tube 100 mm long and 20 mm in diameter and fitted with a ground-glass stopper or a polytetrafluoroethylene cap. Evaporate the solvent with gentle heating under a stream of nitrogen R. Add 2 mL of a 15 per cent V/V solution of glacial acetic acid R and 50 mg of sodium bismuthate R. Stopper the tube and shake the suspension in a mechanical shaker, protected from light, for 1 h. Add 2 mL of a 15 per cent V/V solution of glacial acetic acid R and filter into a 50 mL separating funnel, washing the filter with 2 quantities, each of 5 mL, of water R. Shake the clear filtrate with 10 mL of methylene chloride R. Wash the organic layer with 5 mL of 1 M sodium hydroxide and then with 2 quantities, each of 5 mL, of water R. Dry over anhydrous sodium sulfate R.
Plate: TLC silica gel F254 plate R.
Mobile phase: A Add a mixture of 1.2 volumes of water R and 8 volumes of methanol R to a mixture of 15 volumes of ether R and 77 volumes of methylene chloride R.
Mobile phase B: butanol R saturated with water R, toluene R, ether R (5:15:80 V/V/V).
Application: 5 μL of test solution (a) and reference solution (a), 25 μL of test solution (b) and reference solution (b), applying the latter 2 in small quantities to obtain small spots.
Development: Over a path of 15 cm with mobile phase A, and then over a path of 15 cm with mobile phase B.
Drying: In air.
Detection A: Examine in ultraviolet light at 254 nm.
Results A: The principal spot in each of the chromatograms obtained with test solutions (a) and (b) is similar in position and size to the principal spot in the chromatogram obtained with the corresponding reference solution.
Detection B: Spray with alcoholic solution of sulfuric acid R and heat at 120 °C for 10 min or until the spots appear; allow to cool, and examine in daylight and in ultraviolet light at 365 nm.
Results B: The principal spot in each of the chromatograms obtained with test solutions (a) and (b) is similar in position, colour in daylight, fluorescence in ultraviolet light at 365 nm and size to the principal spot in the chromatogram obtained with the corresponding reference solution; the principal spots in the chromatograms obtained with test solution (b) and reference solution (b) have an RF value distinctly higher than that of the principal spots in the chromatograms obtained with test solution (a) and reference solution (a).
D. Add about 2 mg to 2 mL of sulfuric acid R and shake to dissolve. Within 5 min, an intense brownish-red colour develops with a green fluorescence that is particularly intense when examined in ultraviolet light at 365 nm. Add the solution to 10 mL of water R and mix. The colour fades and a clear solution remains. The fluorescence in ultraviolet light does not disappear.
TESTS
Specific optical rotation (2.2.7)
+ 162 to + 168 (dried substance).
Dissolve 0.200 g in methanol R, dilute to 25.0 mL with the same solvent and sonicate for 10 min.
Related substances
Liquid chromatography (2.2.29).
Solvent mixture: acetonitrile R, water R (40:60 V/V).
Test solution: Dissolve 20 mg of the substance to be examined in the solvent mixture, dilute to 10.0 mL with the solvent mixture and sonicate for 10 min.
Reference solution (a): Dissolve 4 mg of prednisolone CRS (impurity A), 2 mg of cortisone R (impurity B), 8 mg of hydrocortisone acetate CRS (impurity C) and 6 mg of Reichstein’s substance S R (impurity F) in 40 mL of acetonitrile R and dilute to 100.0 mL with water R. Dilute 0.5 mL of the solution to 5.0 mL with the test solution.
Reference solution (b): Dilute 1.0 mL of the test solution to 100.0 mL with the solvent mixture. Dilute 1.0 mL of this solution to 10.0 mL with the solvent mixture.
Reference solution (c): Dissolve 2 mg of hydrocortisone CRS in 1.0 mL of the solvent mixture and sonicate for 10 min.
Reference solution (d): Dissolve 2 mg of hydrocortisone for peak identification CRS (containing impurities D, E, G, H, I and N) in 1.0 mL of the solvent mixture and sonicate for 10 min.
Column:
— size: l = 0.25 m, Ø = 4.6 mm;
— stationary phase: base-deactivated end-capped octadecylsilyl silica gel for chromatography R (5 μm).
Mobile phase:
— mobile phase A: water R;
— mobile phase B: acetonitrile R;
| Time (min) |
Mobile phase A (per cent V/V) |
Mobile phase B (per cent V/V) |
| 0 – 18 | 74 | 26 |
| 18 – 32 | 74 → 55 | 26 → 45 |
| 32 – 48 | 55 → 30 | 45 → 70 |
Flow rate: 0.8 mL/min.
Detection: Spectrophotometer at 254 nm.
Injection: 10 μL of the test solution and reference solutions (a), (b) and (d).
Identification of impurities: Use the chromatogram supplied with hydrocortisone for peak identification CRS and the chromatogram obtained with reference solution (d) to identify the peaks due to impurities D, E, G, H, I and N; use the chromatogram obtained with reference solution (a) to identify the peaks due to impurities A, B, C and F.
Relative retention: With reference to hydrocortisone (retention time = about 24 min): impurity D = about 0.2; impurity H = about 0.3; impurity I = about 0.5; impurity G = about 0.8; impurity E = about 0.86; impurity A = about 0.96; impurity B = about 1.1; impurity F = about 1.4; impurity C = about 1.5; impurity N = about 1.7.
System suitability: Reference solution (a):
— peak-to-valley ratio: minimum 3.0, where Hp = height above the baseline of the peak due to impurity A and Hv = height above the baseline of the lowest point of the curve separating this peak from the peak due to hydrocortisone.
Limits:
— correction factors: for the calculation of content, multiply the peak areas of the following impurities by the corresponding correction factor: impurity D = 1.8; impurity E = 2.7;
— impurities C, D, E, I: for each impurity, not more than 5 times the area of the principal peak in the chromatogram obtained with reference solution (b) (0.5 per cent);
— impurity G: not more than 4 times the area of the principal peak in the chromatogram obtained with reference solution (b) (0.4 per cent);
— impurity F: not more than 3 times the area of the principal peak in the chromatogram obtained with reference solution (b) (0.3 per cent);
— impurities A, B: for each impurity, not more than twice the area of the principal peak in the chromatogram obtained with reference solution (b) (0.2 per cent);
— impurities H, N: for each impurity, not more than 1.5 times the area of the principal peak in the chromatogram obtained with reference solution (b) (0.15 per cent);
— unspecified impurities: for each impurity, not more than the area of the principal peak in the chromatogram obtained with reference solution (b) (0.10 per cent);
— total: not more than 20 times the area of the principal peak in the chromatogram obtained with reference solution (b) (2.0 per cent);
— disregard limit: 0.5 times the area of the principal peak in the chromatogram obtained with reference solution (b) (0.05 per cent).
Loss on drying (2.2.32)
Maximum 1.0 per cent, determined on 1.000 g by drying in an oven at 105 °C.
ASSAY
Dissolve 0.100 g in ethanol (96 per cent) R and dilute to 100.0 mL with the same solvent. Dilute 2.0 mL of the solution to 100.0 mL with ethanol (96 per cent) R. Measure the absorbance (2.2.25) at the absorption maximum at 241.5 nm.
Calculate the content of C21H30O5 taking the specific absorbance to be 440.
STORAGE
Protected from light.
IMPURITIES
Specified impurities A, B, C, D, E, F, G, H, I, N.
Other detectable impurities (the following substances would, if present at a sufficient level, be detected by one or other of the tests in the monograph. They are limited by the general acceptance criterion for other/unspecified impurities and/or by the general monograph Substances for pharmaceutical use (2034). It is therefore not necessary to identify these impurities for demonstration of compliance. See also 5.10. Control of impurities in substances for pharmaceutical use) J, K, L, M, O.

A. 11β,17,21-trihydroxypregna-1,4-diene-3,20-dione (prednisolone),

B. 17,21-dihydroxypregn-4-ene-3,11,20-trione (cortisone),

C. 11β,17-dihydroxy-3,20-dioxopregn-4-en-21-yl acetate (hydrocortisone acetate),

D. 6β,11β,17,21-tetrahydroxypregn-4-ene-3,20-dione (6β-hydroxyhydrocortisone),

E. 11β,17,21-trihydroxypregna-4,6-diene-3,20-dione (Δ6-hydrocortisone),

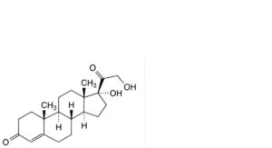
F. 17,21-dihydroxypregn-4-ene-3,20-dione (Reichstein’s substance S),

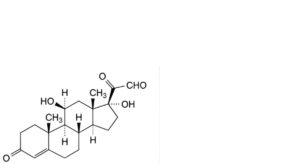
G. 11β,17-dihydroxy-3,20-dioxopregn-4-en-21-al (hydrocortisone-21-aldehyde),

H. 7α,11β,17,21-tetrahydroxypregn-4-ene-3,20-dione (7α-hydroxyhydrocortisone),

I. 11β,14,17,21-tetrahydroxypregn-4-ene-3,20-dione (14α-hydroxyhydrocortisone),

J. 11β,21-dihydroxy-3,20-dioxopregn-4-en-17-yl acetate (hydrocortisone-17-acetate),

K. 17-hydroxy-3,20-dioxopregn-4-en-21-yl acetate (Reichstein’s substance S-21-acetate),

L. 11β,17-dihydroxypregn-4-ene-3,20-dione (oxenol),

M. 11α,17,21-trihydroxypregn-4-ene-3,20-dione (epi-hydrocortisone),

N. 11β,17,21-trihydroxy-21-(11β,17,21-trihydroxy-3,20-dioxopregn-4-en-21-yl)pregn-4-ene-3,20-dione (hydrocortisone dimer),

O. 11β,17,19,21-tetrahydroxypregn-4-ene-3,20-dione (19-hydroxyhydrocortisone).






