(Hydrocodone Hydrogen Tartrate 2.5-Hydrate, Ph. Eur. monograph 1784)
C22H27NO9,2.5H2O 494.5
Action and use
Opioid receptor agonist; antitussive.
DEFINITION
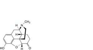
4,5α-Epoxy-3-methoxy-17-methylmorphinan-6-one hydrogen (2R,3R)-2,3-dihydroxybutanedioate 2.5-hydrate.\
Content
99.0 per cent to 101.0 per cent (anhydrous substance).
CHARACTERS
Appearance
White or almost white, hygroscopic, crystalline powder.
Solubility
Freely soluble or soluble in water, sparingly soluble in ethanol (96 per cent), practically insoluble in cyclohexane.
IDENTIFICATION
Infrared absorption spectrophotometry (2.2.24).
Comparison hydrocodone hydrogen tartrate 2.5-hydrate CRS.
If the spectra obtained in the solid state show differences, dry the substance to be examined and the reference substance at 105 °C and record new spectra using the residues.
TESTS
Appearance of solution
The solution is clear (2.2.1) and not more intensely coloured than reference solution Y5 (2.2.2, Method II).
Dissolve 0.5 g in water R and dilute to 10 mL with the same solvent.
pH (2.2.3)
3.2 to 3.8.
Dissolve 1.0 g in carbon dioxide-free water R and dilute to 50.0 mL with the same solvent.
Specific optical rotation (2.2.7)
-87 to -91 (anhydrous substance).
Dissolve 2.50 g in carbon dioxide-free water R and dilute to 50.0 mL with the same solvent.
Related substances
Liquid chromatography (2.2.29).
Test solution: Dissolve 0.100 g of the substance to be examined in mobile phase A and dilute to 10.0 mL with mobile phase A.
Reference solution (a): Dissolve 5 mg of oxycodone hydrochloride CRS (impurity D) in mobile phase A, add 0.5 mL of the test solution and dilute to 5.0 mL with mobile phase A.
Reference solution (b): Dilute 1.0 mL of the test solution to 100.0 mL with mobile phase A. Dilute 1.0 mL of this solution to 10.0 mL with mobile phase A.
Reference solution (c): Dissolve 20 mg of benzophenone CRS (impurity H) in 50.0 mL of methanol R. Dilute 1.0 mL of this solution to 20.0 mL with mobile phase A.
Reference solution (d): Dissolve the contents of a vial of hydrocodone for peak identification CRS (containing impurities B, C, D, E, F and I) in 1.0 mL of mobile phase A.
Reference solution (e): Dissolve 5 mg of morphine sulfate CRS (impurity A) in 5 mL of mobile phase A.
Column:
— size: l = 0.25 m, Ø = 4.6 mm;
— stationary phase: end-capped octadecylsilyl silica gel for chromatography R (5 μm);
— temperature: 40 °C.
Mobile phase: — mobile phase A: dissolve 1.08 g of sodium octanesulfonate R in water R, adjust to pH 2.0 with phosphoric acid R and dilute to 1000 mL with water R;
— mobile phase B: acetonitrile R;
| Time
(min) |
Mobile phase A
(per cent V/V) |
Mobile phase B
(per cent V/V) |
| 0 – 15 | 80 | 20 |
| 15 – 30 | 80 → 70 | 20 → 30 |
| 30 – 40 | 70 → 40 | 30 → 60 |
| 40 – 42 | 40 | 60 |
Flow rate: 1.5 mL/min.
Detection: Spectrophotometer at 283 nm.
Injection: 10 μL.
Identification of impurities: Use the chromatogram supplied with hydrocodone for peak identification CRS and the chromatogram obtained with reference solution (d) to identify the peaks due to impurities B, C, D, E, F and I; use the chromatogram obtained with reference solution (e) to identify the peak due to impurity A.
Relative retention: With reference to hydrocodone (retention time = about 14 min): impurity A = about 0.3; impurity K = about 0.43; impurity B = about 0.57; impurity C = about 0.61; impurity D = about 0.9; impurity E = about 1.1; impurity F = about 1.5; impurity I = about 2.0; impurity H = about 2.9.
System suitability: Reference solution (a):
— resolution: minimum 3.0 between the peaks due to impurity D and hydrocodone.
Limits:
— correction factor: for the calculation of content, multiply the peak area of impurity I by 0.2;
— impurity I: not more than the area of the principal peak in the chromatogram obtained with reference solution (b) (0.1 per cent);
— impurity H: not more than 0.5 times the area of the corresponding peak in the chromatogram obtained with reference solution (c) (0.1 per cent);
— impurities A, B, C, D, E, F, K: for each impurity, not more than twice the area of the principal peak in the chromatogram obtained with reference solution (b) (0.2 per cent);
— unspecified impurities: for each impurity, not more than the area of the principal peak in the chromatogram obtained with reference solution (b) (0.10 per cent);
— total: not more than 10 times the area of the principal peak in the chromatogram obtained with reference solution (b) (1.0 per cent);
— disregard limit: 0.5 times the area of the principal peak in the chromatogram obtained with reference solution (b) (0.05 per cent).
Water (2.5.12)
7.0 per cent to 12.0 per cent, determined on 0.100 g.
Sulfated ash (2.4.14)
Maximum 0.1 per cent, determined on 1.0 g.
ASSAY
Dissolve 0.350 g in 60 mL of anhydrous acetic acid R. Titrate with 0.1 M perchloric acid, determining the end-point potentiometrically (2.2.20).
1 mL of 0.1 M perchloric acid is equivalent to 44.95 mg of C22H27NO9.
STORAGE
In an airtight container, protected from light.
IMPURITIES
Specified impurities A, B, C, D, E, F, H, I, K.
Other detectable impurities (the following substances would, if present at a sufficient level, be detected by one or other of the tests in the monograph. They are limited by the general acceptance criterion for other/unspecified impurities and/or by the general monograph Substances for pharmaceutical use (2034). It is therefore not necessary to identify these impurities for demonstration of compliance. See also 5.10. Control of impurities in substances for pharmaceutical use) G, J.

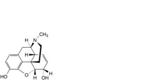
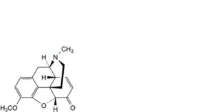
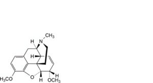
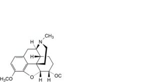
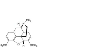
A. morphine,

B. 4,5α-epoxy-3-methoxy-17-methylmorphinan-6α-ol (dihydrocodeine),

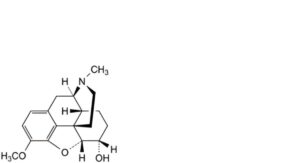
C. codeine,

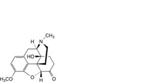
D. 4,5α-epoxy-14-hydroxy-3-methoxy-17-methylmorphinan-6-one (oxycodone),

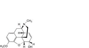
E. 7,8-didehydro-4,5α-epoxy-3-methoxy-17-methylmorphinan-6-one (codeinone),

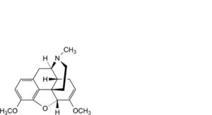
F. 7,8-didehydro-4,5α-epoxy-3,6α-dimethoxy-17-methylmorphinan (methylcodeine),

G. 4,5α-epoxy-3,6α-dimethoxy-17-methylmorphinan (tetrahydrothebaine),

H. diphenylmethanone (benzophenone),

I. 6,7,8,14-tetradehydro-4,5α-epoxy-3,6-dimethoxy-17-methylmorphinan (thebaine),

J. 6,7-didehydro-4,5α-epoxy-3,6-dimethoxy-17-methylmorphinan,

K. 4,5α-epoxy-3-hydroxy-17-methylmorphinan-6-one.






