(Ph. Eur. monograph 0912)
Action and use
Used to promote absorption of fluid into tissues.
Preparation
Hyaluronidase Injection
DEFINITION
Enzyme extracted from mammalian testes (for example bovine testes) and capable of hydrolysing mucopolysaccharides of the hyaluronic acid type. It may contain a suitable stabiliser.
Potency
Minimum 300 IU of hyaluronidase activity per milligram (dried substance).
PRODUCTION
The animals from which hyaluronidase is derived must fulfil the requirements for the health of animals suitable for human consumption.
CHARACTERS
Appearance
White or yellowish-white, amorphous powder.
Solubility
Soluble in water, practically insoluble in acetone and in anhydrous ethanol.
IDENTIFICATION
A solution containing the equivalent of 100 IU of hyaluronidase in 1 mL of a 9 g/L solution of sodium chloride R depolymerises an equal volume of a 10 g/L solution of sodium hyaluronate BRP in 1 min at 20 °C as shown by a pronounced decrease in viscosity. This action is destroyed by heating the hyaluronidase at 100 °C for 30 min.
TESTS
Appearance of solution
The solution is clear (2.2.1).
Dissolve 0.10 g in water R and dilute to 10 mL with the same solvent.
pH (2.2.3)
4.5 to 7.5.
Dissolve 30 mg in carbon dioxide-free water R and dilute to 10 mL with the same solvent.
Loss on drying (2.2.32)
Maximum 5.0 per cent, determined on 0.500 g by drying at 60 °C at a pressure not exceeding 670 Pa for 2 h.
Bacterial endotoxins (2.6.14)
Less than 0.2 IU per IU of hyaluronidase.
ASSAY
The activity of hyaluronidase is determined by comparing the rate at which it hydrolyses sodium hyaluronate BRP with the rate obtained with the International Standard, or a reference preparation calibrated in International Units, using a slope- ratio assay.
Substrate solution To 0.10 g of sodium hyaluronate BRP in a 25 mL conical flask add slowly 20.0 mL of water R at 4 °C.
The rate of addition must be slow enough to allow the substrate particles to swell (about 5 min). Maintain at 4 °C and stir for at least 12 h. Store at 4 °C and use within 4 days.
For the test solution and the reference solution, prepare the solution and carry out the dilution at 0 °C to 4 °C.
Test solution: Dissolve a suitable amount of the substance to be examined in hyaluronidase diluent R so as to obtain a solution containing 0.6 ± 0.3 IU of hyaluronidase per millilitre.
Reference solution: Dissolve a suitable amount of hyaluronidase BRP in hyaluronidase diluent R so as to obtain a solution containing 0.6 IU of hyaluronidase per millilitre.
In a reaction vessel, mix 1.50 mL of phosphate buffer solution pH 6.4 R and 1.0 mL of the substrate solution and equilibrate at 37 ± 0.1 °C. At time t1 = 0 (first chronometer) add 0.50 mL of the test solution containing Et mg of the enzyme to be examined, mix, measure the viscosity of the solution using a suitable viscometer maintained at 37 ± 0.1 °C and record the outflow time t2 using a second chronometer (graduated in 0.1 second intervals), several times during about 20 min (read on the first chronometer). The following viscometer has been found suitable: Ubbelohde microviscometer (DIN 51 562, Part 2), capillary type MII, viscometer constant about 0.1 mm2 /s2 .
Repeat the procedure using 0.50 mL of the reference solution containing Er mg of hyaluronidase BRP.
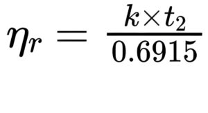
Calculate the viscosity ratio from the expression:

k = the viscometer constant in mm /s (indicated on the viscometer);
t2 = the outflow time (in seconds) of the solution;
0.6915 = the kinematic viscosity in mm /s of the buffer solution at 37 °C.
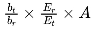
Since the enzymatic reaction continues during the outflow time measurements, the real reaction time equals t1 + t2/2, half of the outflow time (t2/2) for which a certain measurement is valid being added to the time t1 at which the measurement is started. Plot (ln ηr) as a function of the reaction time (t1+ t2/2) in seconds. A linear relationship is obtained. Calculate the slope for the substance to be examined (bt) and the reference preparation (br).
Calculate the specific activity in International Units per milligram from the expression:

A = the specific activity of hyaluronidase BRP in International Units per milligram.
Carry out the complete procedure at least three times and calculate the average activity of the substance to be examined.
STORAGE
In an airtight container, at a temperature of 2 °C to 8 °C. If the substance is sterile, the container is also sterile and tamper- evident.
LABELLING
The label states the activity in International Units per milligram.






