(Ph. Eur. monograph 0720)
C17H24BrNO3 370.3 80-49-9
Action and use
Anticholinergic.
DEFINITION
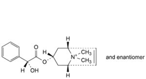
(1R,3r,5S)-3-[[(2RS)-2-Hydroxy-2-phenylacetyl]oxy]-8,8-dimethyl-8-azoniabicyclo[3.2.1]octane bromide.
Content
98.5 per cent to 101.0 per cent (dried substance).
CHARACTERS
Appearance
White or almost white, crystalline powder or colourless crystals.
Solubility
Freely soluble in water, soluble in ethanol 96 per cent.
mp
About 190 °C.
IDENTIFICATION
A. Infrared absorption spectrophotometry (2.2.24).
Comparison: homatropine methylbromide CRS.
B. It gives reaction (a) of bromides (2.3.1).
TESTS
Solution S
Dissolve 1.25 g in carbon dioxide-free water R and dilute to 25 mL with the same solvent.
Appearance of solution
Solution S is clear (2.2.1) and colourless (2.2.2, Method II).
pH (2.2.3)
4.5 to 6.5 for solution S.
Related substances
Liquid chromatography (2.2.29).
Solvent mixture: acetonitrile R1, mobile phase A (9:41 V/V).
Test solution: Dissolve 50.0 mg of the substance to be examined in the solvent mixture and dilute to 25.0 mL with the solvent mixture.
Reference solution (a): Dilute 5.0 mL of the test solution to 100.0 mL with the solvent mixture. Dilute 5.0 mL of this solution to 50.0 mL with the solvent mixture.
Reference solution (b): Dilute 5.0 mL of reference solution (a) to 25.0 mL with the solvent mixture.
Reference solution (c): Dissolve 5.0 mg of homatropine hydrobromide CRS (impurity B) in the solvent mixture and dilute to 50.0 mL with the solvent mixture. To 10.0 mL of the solution add 0.5 mL of the test solution and dilute to 100.0 mL with the solvent mixture.
Reference solution (d): Dissolve 2.0 mg of homatropine methylbromide for system suitability CRS (containing impurity A) in 1.0 mL of the solvent mixture.
Column:
— size: l = 0.15 m, Ø = 4.6 mm;
— stationary phase: octadecylsilyl silica gel for chromatography R (3 μm);
— temperature: 25 °C.
Mobile phase:
— mobile phase A: dissolve 3.4 g of potassium dihydrogen phosphate R and 5.0 g of sodium pentanesulfonate monohydrate R in 980 mL of water for chromatography R, adjust to pH 3.0 with a 330 g/L solution of phosphoric acid R and dilute to 1000 mL with water for chromatography R;
— mobile phase B: mix 400 mL of mobile phase A and 600 mL of acetonitrile R1;
| Time (min) |
Mobile phase A (per cent V/V) |
Mobile phase B (per cent V/V) |
| 0 – 2 | 70 | 30 |
| 2 – 15 | 70 → 30 | 30 → 70 |
Flow rate: 1.4 mL/min.
Detection: Spectrophotometer at 210 nm.
Injection: 10 μL.
Relative retention: With reference to homatropine methylbromide (retention time = about 5 min): impurity A = about 0.9; impurity B = about 1.2.
Identification of impurities: Use the chromatogram supplied with homatropine methylbromide for system suitability CRS and the chromatogram obtained with reference solution (d) to identify the peak due to impurity A; use the chromatogram obtained with reference solution (c) to identify the peak due to impurity B.
System suitability:
— resolution: minimum 2.5 between the peaks due to homatropine methylbromide and impurity B in the chromatogram obtained with reference solution (c);
— peak-to-valley ratio: minimum 1.5, where Hp = height above the baseline of the peak due to impurity A and Hv = height above the baseline of the lowest point of the curve separating this peak from the peak due to homatropine methylbromide in the chromatogram obtained with reference solution (d).
Limits:
— impurities A, B: for each impurity, not more than the area of the principal peak in the chromatogram obtained with reference solution (a) (0.5 per cent);
— unspecified impurities: for each impurity, not more than the area of the principal peak in the chromatogram obtained with reference solution (b) (0.10 per cent);
— total: not more than twice the area of the principal peak in the chromatogram obtained with reference solution (a) (1.0 per cent); disregard the peak due to the bromide ion which appears close to the peak due to the solvent;
— disregard limit: 0.5 times the area of the principal peak in the chromatogram obtained with reference solution (b) (0.05 per cent).
Loss on drying (2.2.32)
Maximum 0.5 per cent, determined on 1.000 g by drying in an oven at 105 °C.
Sulfated ash (2.4.14)
Maximum 0.1 per cent, determined on 1.0 g.
ASSAY
Dissolve 0.300 g in 10 mL of water R. Titrate with 0.1 M silver nitrate. Determine the end-point potentiometrically (2.2.20), using a silver indicator electrode and a silver-silver chloride reference electrode.
1 mL of 0.1 M silver nitrate is equivalent to 37.03 mg of C17H24BrNO3.
STORAGE
Protected from light.
IMPURITIES
Specified impurities A, B.
Other detectable impurities (the following substances would, if present at a sufficient level, be detected by one or other of the tests in the monograph. They are limited by the general acceptance criterion for other/unspecified impurities and/or by the general monograph Substances for pharmaceutical use (2034). It is therefore not necessary to identify these impurities for demonstration of compliance. See also 5.10. Control of impurities in substances for pharmaceutical use) C, D, E, F.

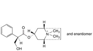
A. (1R,3s,5S)-3-[[(2RS)-2-hydroxy-2-phenylacetyl]oxy]-8,8-dimethyl-8-azoniabicyclo[3.2.1]oct-6-ene (methyldehydrohomatropine),

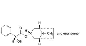
B. (1R,3r,5S)-8-methyl-8-azabicyclo[3.2.1]oct-3-yl (2RS)-2-hydroxy-2-phenylacetate (homatropine),

C. (2RS)-2-hydroxy-2-phenylacetic acid (mandelic acid),

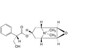
D. (1R,2R,4S,5S,7s)-7-[[(2S)-3-hydroxy-2-phenylpropanoyl]oxy]-9,9-dimethyl-3-oxa-9-azoniatricyclo[3.3.1.0 ]nonane (methylhyoscine),

E. (1R,3r,5S)-3-[[(2RS)-3-hydroxy-2-phenylpropanoyl]oxy]-8,8-dimethyl-8-azoniabicyclo[3.2.1]octane (methylatropine),

F. methyl (2RS)-2-hydroxy-2-phenylacetate (methyl mandelate).






