(Ph. Eur. monograph 0500)
C16H22BrNO3 356.3 51-56-9
Action and use
Anticholinergic.
Preparation
Homatropine Eye Drops
DEFINITION
(1R,3r,5S)-8-Methyl-8-azabicyclo[3.2.1]oct-3-yl (2RS)-2-hydroxy-2-phenylacetate hydrobromide.
Content
99.0 per cent to 101.0 per cent (dried substance).
CHARACTERS
Appearance
White or almost white, crystalline powder or colourless crystals.
Solubility
Freely soluble in water, sparingly soluble in ethanol (96 per cent).
mp
About 215 °C, with decomposition.
IDENTIFICATION
First identification: A, C.
Second identification: B, C.
A. Infrared absorption spectrophotometry (2.2.24).
Comparison: homatropine hydrobromide CRS.
B. Dissolve 50 mg in 1 mL of water R and add 2 mL of dilute acetic acid R. Heat and add 4 mL of picric acid solution R.
Allow to cool, shaking occasionally. Collect the crystals, wash with 2 quantities, each of 3 mL, of iced water R and dry at 100-105 °C. The crystals melt (2.2.14) at 182 °C to 186 °C.
C. It gives reaction (a) of bromides (2.3.1).
TESTS
Solution S
Dissolve 1.25 g in carbon dioxide-free water R and dilute to 25 mL with the same solvent.
Appearance of solution
Solution S is clear (2.2.1) and colourless (2.2.2, Method II).
pH (2.2.3)
5.0 to 6.5 for solution S.
Related substances
Liquid chromatography (2.2.29).
Test solution: Dissolve 50.0 mg of the substance to be examined in the mobile phase and dilute to 25.0 mL with the mobile phase.
Reference solution (a): Dilute 5.0 mL of the test solution to 100.0 mL with the mobile phase. Dilute 5.0 mL of this solution to 50.0 mL with the mobile phase.
Reference solution (b): Dilute 5.0 mL of reference solution (a) to 25.0 mL with the mobile phase.
Reference solution (c): Dissolve 5.0 mg of hyoscine hydrobromide CRS in the mobile phase and dilute to 50.0 mL with the mobile phase. To 10.0 mL of this solution add 0.5 mL of the test solution and dilute to 100.0 mL with the mobile phase.
Column:
— size: l = 0.1 m, Ø = 4.6 mm,
— stationary phase: octadecylsilyl silica gel for chromatography R (3 μm),
— temperature: 40 °C.
Mobile phase: Mix 33 volumes of methanol R2 and 67 volumes of a solution prepared as follows: dissolve 6.8 g of potassium dihydrogen phosphate R and 7.0 g of sodium heptanesulfonate monohydrate R in 1000 mL of water R and adjust to pH 2.7 with a 330 g/L solution of phosphoric acid R.
Flow rate: 1.5 mL/min.
Detection: Spectrophotometer at 210 nm.
Injection: 10 μL.
Run time: 3 times the retention time of homatropine.
Relative retention With reference to homatropine (retention time = about 6.8 min): impurity C = about 0.2; impurity A = about 0.9; impurity B = about 1.1; impurity D = about 1.9.
System suitability: Reference solution (c):
— resolution: minimum 1.5 between the peaks due to homatropine and impurity B,
— symmetry factor: maximum 2.5 for the peak due to homatropine.
Limits:
— impurity A: not more than the area of the principal peak in the chromatogram obtained with reference solution (a) (0.5 per cent),
— impurities B, C, D: for each impurity, not more than the area of the principal peak in the chromatogram obtained with reference solution (b) (0.1 per cent),
— any other impurity: for each impurity, not more than the area of the principal peak in the chromatogram obtained with reference solution (b) (0.1 per cent),
— total: not more than twice the area of the principal peak in the chromatogram obtained with reference solution (a) (1.0 per cent); disregard the peak due to the bromide ion which appears close to the peak due to the solvent,
— disregard limit: 0.5 times the area of the principal peak in the chromatogram obtained with reference solution (b) (0.05 per cent).
Loss on drying (2.2.32)
Maximum 0.5 per cent, determined on 1.000 g by drying in an oven at 105 °C.
Sulfated ash (2.4.14)
Maximum 0.1 per cent, determined on 1.0 g.
ASSAY
Dissolve 0.300 g in a mixture of 5.0 mL of 0.01 M hydrochloric acid and 50 mL of alcohol R. Carry out a potentiometric titration (2.2.20), using 0.1 M sodium hydroxide. Read the volume added between the 2 points of inflexion.
1 mL of 0.1 M sodium hydroxide is equivalent to 35.63 mg of C16H22BrNO3.
STORAGE
Protected from light.
IMPURITIES
Specified impurities A, B, C, D.

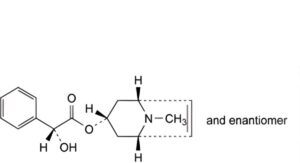
A. (1R,3s,5S)-8-methyl-8-azabicyclo[3.2.1]oct-6-en-3-yl (2RS)-2-hydroxy-2-phenylacetate (dehydrohomatropine),

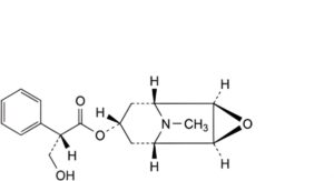
B. (1R,2R,4S,5S,7s)-9-methyl-3-oxa-9-azatricyclo[3.3.1.0 ]non-7-yl (2S)-3-hydroxy-2-phenylpropanoate (hyoscine),

C. (2RS)-2-hydroxy-2-phenylacetic acid (mandelic acid),

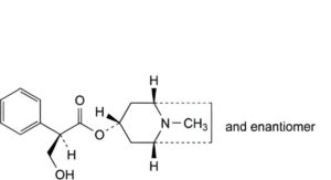
D. (1R,3r,5S)-8-methyl-8-azabicyclo[3.2.1]oct-3-yl (2RS)-3-hydroxy-2-phenylpropanoate (atropine).






