(Ph. Eur. monograph 1783)
C19H28BrNO3 398.3 51186-83-5
Action and use
Anticholinergic.
Preparations
Glycopyrronium Bromide Cream
Glycopyrronium Bromide Oral Solution
Glycopyrronium Bromide Solution
DEFINITION
(3RS)-3-[(2SR)-(2-Cyclopentyl-2-hydroxy-2-phenylacetyl)oxy]-1,1-dimethylpyrrolidinium bromide.
Content
99.0 per cent to 101.0 per cent (dried substance).
CHARACTERS
Appearance
White or almost white, crystalline powder.
Solubility
Freely soluble in water, soluble in ethanol (96 per cent), very slightly soluble in methylene chloride.
IDENTIFICATION
A. Infrared absorption spectrophotometry (2.2.24).
Comparison: glycopyrronium bromide CRS.
B. It gives reaction (a) of bromides (2.3.1).
TESTS
Solution S
Dissolve 0.5 g in carbon dioxide-free water R and dilute to 25 mL with the same solvent.
Appearance of solution
Solution S is clear (2.2.1) and colourless (2.2.2, Method II).
Acidity or alkalinity
To 10 mL of solution S add 0.05 mL of phenolphthalein solution R1. The solution is colourless. Not more than 0.2 mL of 0.01 M sodium hydroxide is required to change the colour of the indicator to pink. Add 0.4 mL of 0.01 M hydrochloric acid and 0.05 mL of methyl red solution R. The solution is red or orange.
Impurity N
Liquid chromatography (2.2.29).
Solution A: Dissolve 3.2 g of sodium dihydrogen phosphate monohydrate R in 900 mL of water R, adjust to pH 6.5 with dilute sodium hydroxide solution R and dilute to 1000 mL with water R.
Test solution: Dissolve 50.0 mg of the substance to be examined in the mobile phase and dilute to 50.0 mL with the mobile phase.
Reference solution (a): Dissolve 2.0 mg of glycopyrronium impurity N CRS in 10.0 mL of the mobile phase.
Reference solution (b): Dilute 1.0 mL of reference solution (a) to 100.0 mL with the mobile phase.
Reference solution (c): Dilute 1.0 mL of the test solution and 5.0 mL of reference solution (a) to 25.0 mL with the mobile phase.
Column:
— size: l = 0.25 m, Ø = 4.0 mm;
— stationary phase: silica gel BC for chiral chromatography R (5 μm);
— temperature: 30 °C.
Mobile phase: acetonitrile R1, solution A, methanol R2 (10:40:50 V/V/V).
Flow rate: 1.0 mL/min.
Detection: Spectrophotometer at 222 nm.
Injection: 10 μL of the test solution and reference solutions (b) and (c).
Run time: 1.5 times the retention time of glycopyrronium.
Identification of impurities: Use the chromatogram obtained with reference solution (b) to identify the peak due to impurity N.
Relative retention: With reference to glycopyrronium (retention time = about 30 min): impurity N = about 0.9.
System suitability:
— resolution: minimum 1.25 between the peaks due to impurity N and glycopyrronium in the chromatogram obtained with reference solution (c);
— signal-to-noise ratio: minimum 5 for the peak due to impurity N in the chromatogram obtained with reference solution (b).
Limit:
— impurity N: not more than the area of the corresponding peak in the chromatogram obtained with reference solution (b) (0.2 per cent).
Related substances
Liquid chromatography (2.2.29).
Test solution: Dissolve 50 mg of the substance to be examined in mobile phase A and dilute to 50.0 mL with mobile phase A.
Reference solution (a): Dilute 1.0 mL of the test solution to 100.0 mL with mobile phase A. Dilute 1.0 mL of this solution to 10.0 mL with mobile phase A.
Reference solution (b): Dissolve 5 mg of glycopyrronium for peak identification CRS (containing impurities E and I) in 5.0 mL of mobile phase A.
Reference solution (c): Dissolve 10 mg of benzaldehyde R (impurity F) in mobile phase A and dilute to 10.0 mL with mobile phase A. Dilute 1.0 mL of this solution and 1.0 mL of the test solution to 100.0 mL with mobile phase A.
Column:
— size: l = 0.15 m, Ø = 4.6 mm;
— stationary phase: octadecylsilyl silica gel for chromatography R (3 μm).
Mobile phase:
— mobile phase A: dissolve 0.25 g of sodium heptanesulfonate R in 615 mL of a 1.63 g/L solution of anhydrous sodium sulfate R; add 3 mL of a 5.15 g/L solution of sulfuric acid R, 150 mL of methanol R2 and 235 mL of acetonitrile R1;
— mobile phase B: acetonitrile R1;
| Time (min) |
Mobile phase A (per cent V/V) |
Mobile phase B (per cent V/V) |
| 0 – 20 | 100 | 0 |
| 20 – 30 | 100 → 50 | 0 → 50 |
| 30 – 45 | 50 | 50 |
Flow rate: 1.0 mL/min.
Detection: Spectrophotometer at 215 nm.
Injection: 20 μL.
Identification of impurities: Use the chromatogram supplied with glycopyrronium for peak identification CRS and the chromatogram obtained with reference solution (b) to identify the peaks due to impurities E and I; use the chromatogram obtained with reference solution (c) to identify the peak due to impurity F.
Relative retention: With reference to glycopyrronium (retention time = about 11 min): impurity E = about 0.7; impurity F = about 0.8; impurity I = about 2.3.
System suitability: Reference solution (c):
— resolution: minimum 5.0 between the peaks due to impurity F and glycopyrronium.
Limits:
— impurity I: not more than 3 times the area of the principal peak in the chromatogram obtained with reference solution (a) (0.3 per cent);
— impurity E: not more than twice the area of the principal peak in the chromatogram obtained with reference solution (a) (0.2 per cent);
— unspecified impurities: for each impurity, not more than the area of the principal peak in the chromatogram obtained with reference solution (a) (0.10 per cent);
— total: not more than 5 times the area of the principal peak in the chromatogram obtained with reference solution (a) (0.5 per cent);
— disregard limit: 0.5 times the area of the principal peak in the chromatogram obtained with reference solution (a) (0.05 per cent); disregard the peak due to the bromide ion appearing close to the peak due to the solvent.
Loss on drying (2.2.32)
Maximum 0.5 per cent, determined on 1.000 g by drying in an oven at 105 °C for 3 h.
Sulfated ash (2.4.14)
Maximum 0.1 per cent, determined on 1.0 g.
ASSAY
Dissolve 0.300 g in a mixture of 10 mL of anhydrous acetic acid R and 40 mL of acetic anhydride R. Titrate with 0.1 M perchloric acid, determining the end-point potentiometrically (2.2.20).
1 mL of 0.1 M perchloric acid is equivalent to 39.83 mg of C19H28BrNO3.
IMPURITIES
Specified impurities E, I, N.
Other detectable impurities (the following substances would, if present at a sufficient level, be detected by one or other of the tests in the monograph. They are limited by the general acceptance criterion for other/unspecified impurities and/or by the general monograph Substances for pharmaceutical use (2034). It is therefore not necessary to identify these impurities for demonstration of compliance. See also 5.10. Control of impurities in substances for pharmaceutical use) B, C, D, F, G, H, J, K, L, M, O.

B. oxophenylacetic acid (benzoylformic acid),

C. (2RS)-2-hydroxy-2-phenylacetic acid (mandelic acid),

D. benzoic acid,
E. unknown structure,

F. benzaldehyde,

G. 1-methylpyrrolidin-3-yl 2-cyclopentyl-2-hydroxy-2-phenylacetate,

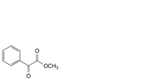
H. methyl 2-oxo-2-phenylacetate,

I. (3RS)-3-[(2SR)-(2-(4-chlorophenyl)-2-cyclopentyl-2-hydroxyacetyl)oxy]-1,1-dimethylpyrrolidinium,

J. (2RS)-2-cyclopentyl-2-hydroxy-2-phenylacetic acid,

K. (2RS)-2-cyclopentyl-2-phenylacetic acid,

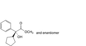
L. methyl (2RS)-2-cyclopentyl-2-hydroxy-2-phenylacetate,

M. cyclopentylphenylmethanone,

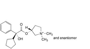
N. (3RS)-3-[(2RS)-(2-cyclopentyl-2-hydroxy-2-phenylacetyl)oxy]-1,1-dimethylpyrrolidinium,

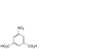
O. 5-nitroisophtalic acid.






