(Ph. Eur. monograph 2708)
C12H28Cl2K2N2O14S 606 216699-44-4
DEFINITION
Bis(2-amino-2-deoxy-D-glucopyranose) sulfate bis(potassium chloride).
Substance prepared from glucosamine hydrochloride isolated from natural sources or produced by fermentation, and potassium sulfate.
Content
98.0 per cent to 102.0 per cent (dried substance).
PRODUCTION
The animals from which glucosamine sulfate potassium chloride is derived must fulfil the requirements for the health of animals suitable for human consumption.
CHARACTERS
Appearance
White or almost white, crystalline powder.
Solubility
Freely soluble in water, sparingly soluble in methanol, practically insoluble in acetone.
IDENTIFICATION
A. Specific optical rotation (see Tests).
B. Infrared absorption spectrophotometry (2.2.24).
Comparison glucosamine sulfate potassium chloride CRS.
C. It gives reaction (a) of chlorides (2.3.1).
D. It gives reaction (a) of sulfates (2.3.1).
E. 1 mL of solution S (see Tests) gives reaction (a) of potassium (2.3.1).
TESTS
Solution S
Dissolve 2.50 g in carbon dioxide-free water R and dilute to 25.0 mL with the same solvent.
Appearance of solution
The solution is clear (2.2.1) and colourless (2.2.2, Method II).
Dilute 5.0 mL of solution S to 25.0 mL with water R.
pH (2.2.3)
3.0 to 5.0 for solution S.
Specific optical rotation (2.2.7)
+ 47.0 to + 53.0 (dried substance), determined on solution S.
Examine 3 h after preparation of solution S.
Related substances
Liquid chromatography (2.2.29).
Test solution To 0.42 g of the substance to be examined add 80 mL of the mobile phase and sonicate for 10 min. Cool to room temperature and dilute to 100.0 mL with the mobile phase.
Reference solution (a): Dissolve 25.0 mg of 2-methylpyrazine CRS in the mobile phase and dilute to 10.0 mL with the mobile phase. Dilute 1.0 mL of the solution to 10.0 mL with the mobile phase. Dilute 1.0 mL of this solution to 100.0 mL with the mobile phase.
Reference solution (b): Dissolve the contents of a vial of glucosamine for system suitability CRS (containing impurities B and C) in 1 mL of the mobile phase.
Column:
— size: l = 0.15 m, Ø = 4.6 mm;
— stationary phase: base-deactivated end-capped octadecylsilyl silica gel for chromatography R (3 μm) (3 μm);
— temperature: 30 °C.
Mobile phase Dissolve 0.5 g of sodium heptanesulfonate R in water for chromatography R, add 0.5 mL of phosphoric acid R, 4 mL of a 56 g/L solution of potassium hydroxide R and dilute to 1000 mL with water for chromatography R, then add 50 mL of acetonitrile R1.
Flow rate 1.0 mL/min.
Detection Spectrophotometer at 195 nm.
Injection 20 μL.
Run time Twice the retention time of 2-methylpyrazine.
Retention time 2-methylpyrazine = about 9 min.
System suitability Reference solution (b):
— resolution: minimum 1.5 between the peaks due to impurities B and C.
Calculation of percentage contents:
— for each impurity, use the concentration of 2-methylpyrazine in reference solution (a).
Limits:
— unspecified impurities: for each impurity, maximum 0.05 per cent;
— total: maximum 0.2 per cent;
— reporting threshold: 0.03 per cent.
Loss on drying (2.2.32)
Maximum 0.5 per cent, determined on 1.000 g by drying in an oven at 105 °C for 2 h.
Sulfated ash (2.4.14)
27.0 per cent to 31.0 per cent, determined on 1.0 g.
Ignite first at 600 ± 50 °C for 2 h. Do not repeat the moistening with sulfuric acid R between any re-ignition.
Microbial contamination
TAMC: acceptance criterion 10 CFU/g (2.6.12).
TYMC: acceptance criterion 10 CFU/g (2.6.12).
Absence of Escherichia coli (2.6.13).
ASSAY
Dissolve 0.280 g in 50 mL of water R and add 1.0 mL of 0.1 M hydrochloric acid. Titrate with 0.1 M sodium hydroxide, determining the end-point potentiometrically (2.2.20). Read the volume added between the 2 points of inflexion.
1 mL of 0.1 M sodium hydroxide is equivalent to 30.28 mg of C12H28Cl2K2N2O14S.
IMPURITIES
Other detectable impurities (the following substances would, if present at a sufficient level, be detected by one or other of the tests in the monograph. They are limited by the general acceptance criterion for other/unspecified impurities and/or by the general monograph Substances for pharmaceutical use (2034). It is therefore not necessary to identify these impurities for demonstration of compliance. See also 5.10. Control of impurities in substances for pharmaceutical use) A, B, C, E.

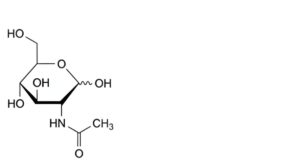
A. 2-(acetylamino)-2-deoxy-D-glucopyranose (N-acetylglucosamine),

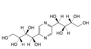
B. (1R,1′R,2S,2′S,3R,3′R)-1,1′-pyrazine-2,5-diylbis (butane-1,2,3,4-tetrol) (fructosazine),

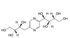
C. (1R,2S,3R)-1-[5-[(2S,3R)-2,3,4-trihydroxybutyl]pyrazin-2-yl]butane-1,2,3,4-tetrol (deoxyfructosazine),

E. 5-(hydroxymethyl)furan-2-carbaldehyde (5-hydroxymethylfurfural).






