(Ph. Eur. monograph 2735)
C18H31GdN4O9,H2O 623 198637-52-4
Action and use
Paramagnetic contrast medium
DEFINITION
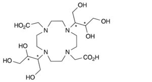
Gadolinium 2,2′,2′′-[10-[(1RS,2SR)-2,3-dihydroxy-1-(hydroxymethyl)propyl]-1,4,7,10-tetraazacyclododecane-1,4,7-triyl]triacetate monohydrate.
Content
— gadobutrol: 97.5 per cent to 102.5 per cent (anhydrous substance);
— gadolinium: 98.0 per cent to 102.0 per cent, calculated as gadobutrol (anhydrous substance).
CHARACTERS
Appearance
White or almost white, hygroscopic powder.
Solubility
Freely soluble in water, practically insoluble in anhydrous ethanol and in heptane.
It shows polymorphism (5.9).
IDENTIFICATION
A. Infrared absorption spectrophotometry (2.2.24).
Comparison gadobutrol monohydrate CRS.
If the spectra obtained show differences, dissolve the substance to be examined and the reference substance separately in 0.5 mL of water R, then add 5 mL of anhydrous ethanol R; evaporate to dryness and record new spectra using the residues.
B. Inductively coupled plasma-atomic emission spectrometry (2.2.57) as described in the assay for gadolinium.
TESTS
Specific optical rotation (2.2.7)
-0.05 to + 0.05 (anhydrous substance), using an instrument with a minimum sensitivity of ± 0.002°.
Dissolve 6.00 g in water R and dilute to 20.0 mL with the same solvent.
Related substances
Liquid chromatography (2.2.29). Use suitable plastic labware for the preparation of the solutions and plastic vials. Store the solutions at 10 °C and use them within 42 h.
Test solution (a): Dissolve 50.0 mg of the substance to be examined in mobile phase A and dilute to 5.0 mL with mobile phase A.
Test solution (b): Dilute 1.0 mL of test solution (a) to 10.0 mL with mobile phase A.
Reference solution (a): Dissolve 10 mg of gadobutrol for peak identification CRS (containing impurity C) in 1 mL of mobile phase A.
Reference solution (b): Dilute 1.0 mL of test solution (a) to 20.0 mL with mobile phase A. Dilute 1.0 mL of this solution to 100.0 mL with mobile phase A.
Reference solution (c): Dissolve 50.0 mg of gadobutrol monohydrate CRS in mobile phase A and dilute to 50.0 mL with mobile phase A.
Column:
— size: l = 0.25 m, Ø = 4.6 mm;
— stationary phase: end-capped phenylhexylsilyl silica gel for chromatography R (3 μm);
— temperature: 50 °C.
Mobile phase:
— mobile phase A: mix 5 volumes of acetonitrile R1 and 995 volumes of water for chromatography R previously adjusted to pH 3.6 with a 50 per cent V/V solution of anhydrous formic acid R in water for chromatography R;
— mobile phase B: acetonitrile R1;
| Time (min) |
Mobile phase A (per cent V/V) |
Mobile phase B (per cent V/V) |
| 0 – 15 | 100 | 0 |
| 15 – 30 | 100 → 75 | 0 → 25 |
Flow rate 1.0 mL/min.
Detection Charged aerosol detector at 100 pA.
Autosampler Set at 10 °C.
Injection 40 μL of test solution (a) and reference solutions (a) and (b).
Identification of impurities: Use the chromatogram supplied with gadobutrol for peak identification CRS and the chromatogram obtained with reference solution (a) to identify the peak due to impurity C.
Relative retention: With reference to gadobutrol (retention time = about 11 min): impurity C = about 1.2.
System suitability Reference solution (a):
— peak-to-valley ratio: minimum 2.0, where Hp = height above the baseline of the peak due to impurity C and Hv = height above the baseline of the lowest point of the curve separating this peak from the peak due to gadobutrol.
Calculation of percentage contents:
— for each impurity, use the concentration of gadobutrol monohydrate in reference solution (b).
Limits:
— unspecified impurities: for each impurity, maximum 0.05 per cent;
— total: maximum 0.3 per cent;
— reporting threshold: 0.03 per cent.
Free gadolinium
Maximum 0.01 per cent (anhydrous substance).
Solution A :To 30.0 mL of sodium acetate buffer solution pH 5.0 R add 3.0 mL of xylenol orange solution R and dilute to 200.0 mL with water R.
Gadolinium sulfate solution: Dissolve 93.35 mg of gadolinium sulfate octahydrate R in water R and dilute to 1000.0 mL with the same solvent.
Test solution: Dissolve 0.250 g of the substance to be examined in 5.0 mL of the gadolinium sulfate solution and 30 mL of water R with the aid of ultrasound. Add 10.0 mL of solution A and adjust to pH 5.0 with a 10.3 g/L solution of hydrochloric acid R. Titrate with 0.00025 M sodium edetate, determining the end-point photometrically using a suitable autotitrator equipped with a photometric sensor at a wavelength of 570-574 nm (V1 mL).
Standard solution: Prepare a solution in the same manner as for the test solution but omitting the substance to be examined (V2 mL).
Determine the free gadolinium content from the difference in the volumes of titrant consumed (V1– V2).
1 mL of 0.00025 M sodium edetate is equivalent to 0.03931 mg of gadolinium.
Water (2.5.32)
2.0 per cent to 7.0 per cent, determined on 0.100 g using the evaporation technique at 220 °C.
ASSAY
Gadobutrol
Liquid chromatography (2.2.29) as described in the test for related substances with the following modifications.
Detection Spectrophotometer at 195 nm.
Injection Test solution (b) and reference solution (c).
Calculate the percentage content of C18H31GdN4O9 taking into account the assigned content of gadobutrol monohydrate CRS.
Gadolinium
Inductively coupled plasma-atomic emission spectrometry (2.2.57).
Yttrium standard solution: To 100.0 mL of a certified reference solution containing 1000 mg/L of Y add 50 mL of nitric acid R and dilute to 1000.0 mL with water R.
Zero solution: To 1.5 mL of the yttrium standard solution add 0.5 mL of nitric acid R and dilute to 50.0 mL with water R.
Test solution: Dissolve 50.0 mg of the substance to be examined in 150.0 mL of water R, add 7.5 mL of yttrium standard solution and 2.0 mL of nitric acid R and dilute to 250.0 mL with water R.
Reference solutions Into 3 volumetric flasks introduce respectively 2.0 mL, 2.5 mL and 3.0 mL of a certified reference solution containing 1000 mg/L of Gd. To each flask add 1.5 mL of the yttrium standard solution and 0.5 mL of nitric acid R and dilute to 50.0 mL with water R.
Wavelengths 217.069 nm, 217.774 nm, 219.103 nm, 226.109 nm (gadolinium), 224.306 nm (yttrium).
From the calibration curve obtained with the reference solutions, calculate the percentage content of gadolinium in the substance to be examined, using the mean of the results obtained with the different wavelengths and applying a conversion factor of 3.846.
STORAGE
In an airtight container, protected from light.
IMPURITIES
Other detectable impurities (the following substances would, if present at a sufficient level, be detected by one or other of the tests in the monograph. They are limited by the general acceptance criterion for other/unspecified impurities and/or by the general monograph Substances for pharmaceutical use (2034). It is therefore not necessary to identify these impurities for demonstration of compliance. See also 5.10. Control of impurities in substances for pharmaceutical use) A, B, C.

A. 2,2′-[4,10-bis[2,3-dihydroxy-1-(hydroxymethyl)propyl]-1,4,7,10-tetraazacyclododecane-1,7-diyl]diacetic acid,

B. 2,2′,2′′-[10-[(1RS,2SR)-2,3-dihydroxy-1-(hydroxymethyl)propyl]-1,4,7,10-tetraazacyclododecane-1,4,7-triyl]triacetic acid,

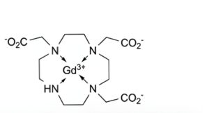
C. gadolinium 2,2′,2′′-(1,4,7,10-tetraazacyclododecane-1,4,7-triyl)triacetate.






