(Ph. Eur. monograph 2173)
C9H17NO2 171.2 60142-96-3
Action and use
Antiepileptic.
Preparations
Gabapentin Capsules
Gabapentin Oral Solution
Gabapentin Tablets
DEFINITION
[1-(Aminomethyl)cyclohexyl]acetic acid.Content
97.5 per cent to 102.0 per cent (anhydrous substance).
CHARACTERS
Appearance
White or almost white, crystalline powder.
Solubility
Sparingly soluble in water, slightly soluble in ethanol (96 per cent), practically insoluble in methylene chloride. It dissolves in dilute acids and dilute solutions of alkali hydroxides.
It shows polymorphism (5.9).
IDENTIFICATION
Infrared absorption spectrophotometry (2.2.24).
Comparison: gabapentin CRS.
If the spectra obtained show differences, dissolve the substance to be examined and the reference substance separately in methanol R, evaporate to dryness and record new spectra using the residues.
TESTS
Appearance of solution
The solution is clear (2.2.1) and colourless (2.2.2, Method II).
Dissolve 1.50 g in a mixture of 0.5 mL of acetic acid R, 19.5 mL of methanol R and 30 mL of water R.
pH (2.2.3)
6.5 to 7.5.
Dissolve 1.0 g in carbon dioxide-free water R and dilute to 50 mL with the same solvent.
Related substances
A. Liquid chromatography (2.2.29). Prepare the solutions immediately before use.
Solution A: Dissolve 2.32 g of ammonium dihydrogen phosphate R in 950 mL of water R, adjust to pH 2.0 with phosphoric acid R, and dilute to 1000 mL with water R.
Buffer solution Dissolve 0.58 g of ammonium dihydrogen phosphate R and 1.83 g of sodium perchlorate R in 950 mL of water for chromatography R, adjust to pH 1.8 with perchloric acid R, and dilute to 1000 mL with water for chromatography R.
Test solution: Dissolve 0.140 g of the substance to be examined in solution A and dilute to 10.0 mL with solution A.
Reference solution (a): Dilute 1.0 mL of the test solution to 100.0 mL with solution A. Dilute 1.0 mL of this solution to 10.0 mL with solution A.
Reference solution (b): Dissolve 7.0 mg of gabapentin impurity A CRS and 10 mg of gabapentin impurity B CRS in methanol R1 and dilute to 50.0 mL with the same solvent. Dilute 1.0 mL of the solution to 10.0 mL with solution A.
Reference solution (c): Dissolve 0.140 g of gabapentin CRS in solution A and dilute to 10.0 mL with solution A.
Reference solution (d): Dissolve 7.0 mg of gabapentin impurity D CRS in 25 mL of methanol R1 and dilute to 100.0 mL with solution A. Dilute 1.0 mL of this solution to 10.0 mL with solution A.
Column:
— size: l = 0.25 m, Ø = 4.6 mm;
— stationary phase: end-capped ethylene-bridged octadecylsilyl silica gel for chromatography (hybrid material) R (5 μm);
— temperature: 40 °C.
Mobile phase: acetonitrile R1, buffer solution (24:76 V/V).
Flow rate: 1.0 mL/min.
Detection: Spectrophotometer at 215 nm.
Injection: 20 μL of the test solution and reference solutions (a) and (b).
Run time: 4 times the retention time of gabapentin.
Identification of impurities: Use the chromatogram obtained with reference solution (b) to identify the peaks due to impurities A and B.
Relative retention: With reference to gabapentin (retention time = about 4 min): impurity A = about 2.4; impurity B = about 2.8.
System suitability: Reference solution (b):
— resolution: minimum 2.3 between the peaks due to impurities A and B.
To avoid memory effects between 2 chromatograms, the column may be washed using acetonitrile R1.
Limits:
— impurity A: not more than 1.5 times the area of the corresponding peak in the chromatogram obtained with reference solution (b) (0.15 per cent);
— unspecified impurities: for each impurity, not more than the area of the principal peak in the chromatogram obtained with reference solution (a) (0.10 per cent);
— disregard limit: 0.5 times the area of the principal peak in the chromatogram obtained with reference solution (a) (0.05 per cent).
The thresholds indicated under Related substances (Table 2034.-1) in the general monograph Substances for pharmaceutical use (2034) do not apply for this test.
B. Liquid chromatography (2.2.29) as described in test A for related substances with the following modifications.
Mobile phase: methanol R2, acetonitrile R1, buffer solution (30:35:35 V/V/V).
Injection: 20 μL of the test solution and reference solution (d).
Run time: 1.2 times the retention time of impurity D.
Retention time: Impurity D = about 10 min.
Limits:
— unspecified impurities: for each impurity, not more than the area of the principal peak in the chromatogram obtained with reference solution (d) (0.05 per cent);
— disregard limit: 0.6 times the area of the principal peak in the chromatogram obtained with reference solution (d) (0.03 per cent); disregard any peak with a relative retention of not more than 0.4 with reference to impurity D.
Limit:
— total for tests A and B: maximum 0.5 per cent.
Chlorides
Maximum 100 ppm.
Dissolve 1.5 g in a mixture of 0.5 mL of acetic acid R, 19.5 mL of methanol R and 30 mL of water R. Titrate with 0.001 M silver nitrate, determining the end-point potentiometrically (2.2.20).
1 mL of 0.001 M silver nitrate is equivalent to 0.03545 mg of chlorides.
Water (2.5.32)
Maximum 0.3 per cent, determined on 1.000 g.
Sulfated ash (2.4.14)
Maximum 0.1 per cent, determined on 1.0 g.
ASSAY
Liquid chromatography (2.2.29) as described in test A for related substances with the following modification.
Injection 20 μL of the test solution and reference solution (c).
System suitability Reference solution (c):
— symmetry factor: maximum 5.0 for the peak due to gabapentin.
Calculate the percentage content of C9H17NO2 taking into account the assigned content of gabapentin CRS.
IMPURITIES
Test A for related substances
A, B, E, G.
Test B for related substances
D.
Specified impurities: A.
Other detectable impurities (the following substances would, if present at a sufficient level, be detected by one or other of the tests in the monograph. They are limited by the general acceptance criterion for other/unspecified impurities and/or by the general monograph
Substances for pharmaceutical use (2034). It is therefore not necessary to identify these impurities for demonstration of compliance. See also 5.10. Control of impurities in substances for pharmaceutical use) B, D, E, G.

A. 2-azaspiro[4.5]decan-3-one,

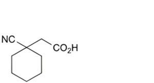
B. (1-cyanocyclohexyl)acetic acid,

D. [1-[(3-oxo-2-azaspiro[4.5]dec-2-yl)methyl]cyclohexyl]acetic acid,

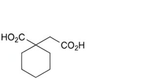
E. 1-(carboxymethyl)cyclohexanecarboxylic acid,

G. [1-(2-aminoethyl)cyclohexyl]acetic acid.






