Folic Acid
(Ph. Eur. monograph 0067)
C19H19N7O6,xH2O 441.4 (anhydrous substance)
Anhydrous folic acid 59-30-3
Action and use
Vitamin B component.
Preparations
Folic Acid Injection
Folic Acid Oral Solution
Folic Acid Tablets
Ferrous Fumarate and Folic Acid Tablets
DEFINITION
(2S)-2-[4-[[(2-Amino-4-oxo-1,4-dihydropteridin-6-yl)methyl]amino]benzamido]pentanedioic acid hydrate.
Content
96.0 per cent to 102.0 per cent (anhydrous substance).
It contains a variable quantity of water.
CHARACTERS
Appearance
Yellowish or orange, crystalline powder.
Solubility
Practically insoluble in water and in most organic solvents. It dissolves in dilute acids and in alkaline solutions.
IDENTIFICATION
First identification: A, B, D.
Second identification: A, C.
A. Specific optical rotation (2.2.7): + 18 to + 22 (anhydrous substance).
Dissolve 0.25 g in a 4.2 g/L solution of sodium hydroxide R and dilute to 25.0 mL with the same solution.
B. Infrared absorption spectrophotometry (2.2.24).
Comparison folic acid CRS.
C. Thin-layer chromatography (2.2.27).
Test solution Dissolve 50 mg of the substance to be examined in a mixture of 2 volumes of concentrated ammonia R and 9 volumes of methanol R, and dilute to 100 mL with the same mixture of solvents.
Reference solution Dissolve 50 mg of folic acid CRS in a mixture of 2 volumes of concentrated ammonia R and 9 volumes of methanol R, and dilute to 100 mL with the same mixture of solvents.
Plate TLC silica gel plate R.
Mobile phase concentrated ammonia R, propanol R, ethanol (96 per cent) R (20:20:60 V/V/V).
Application 2 μL.
Development Over 3/4 of the plate.
Drying In air.
Detection Examine in ultraviolet light at 365 nm.
Results The principal spot in the chromatogram obtained with the test solution is similar in position, fluorescence and size to the principal spot in the chromatogram obtained with the reference solution.
D. Water (see Tests).
TESTS
Related substances
Liquid chromatography (2.2.29).
Solution A 28.6 g/L solution of sodium carbonate R.
Test solution Dissolve 50.0 mg of the substance to be examined in 2.5 mL of solution A and dilute to 50.0 mL with the mobile phase. Dilute 2.0 mL of this solution to 10.0 mL with the mobile phase.
Reference solution (a): Dissolve 50.0 mg of folic acid CRS in 2.5 mL of solution A and dilute to 50.0 mL with the mobile phase. Dilute 2.0 mL of this solution to 10.0 mL with the mobile phase.
Reference solution (b): Dissolve 5 mg of folic acid for system suitability CRS (containing impurities C, E, G and H) in 1 mL of solution A and dilute to 25 mL with the mobile phase.
Reference solution (c): Dilute 1.0 mL of the test solution to 100.0 mL with the mobile phase. Dilute 1.0 mL of this solution to 10.0 mL with the mobile phase.
Reference solution (d): Dissolve 10.0 mg of folic acid impurity A CRS in 1 mL of solution A and dilute to 100.0 mL with the mobile phase. Dilute 1.0 mL of this solution to 100.0 mL with the mobile phase.
Reference solution (e): Dissolve 4.0 mg of folic acid impurity D CRS in solution A and dilute to 100.0 mL with solution A. Dilute 1.0 mL of this solution to 100.0 mL with the mobile phase.
Reference solution (f): Dissolve 5 mg of folic acid for impurity I identification CRS in 1 mL of solution A and dilute to 25 mL with the mobile phase.
Column:
— size: l = 0.25 m, Ø = 4.0 mm;
— stationary phase: spherical octylsilyl silica gel for chromatography R (5 μm).
Mobile phase Mix 12 volumes of methanol R and 88 volumes of a solution containing 11.16 g/L of potassium dihydrogen phosphate R and 5.50 g/L of dipotassium hydrogen phosphate R; adjust to pH 6.4 with dilute phosphoric acid R.
Flow rate 0.6 mL/min.
Detection Spectrophotometer at 280 nm.
Injection 5 μL of the test solution and reference solutions (b), (c), (d), (e) and (f).
Run time 3.3 times the retention time of folic acid.
Identification of impurities: Use the chromatogram obtained with reference solution (d) to identify the peak due to impurity A; use the chromatogram supplied with folic acid for system suitability CRS and the chromatogram obtained with reference solution (b) to identify the peaks due to impurities C, E, G and H; use the chromatogram obtained with reference solution (e) to identify the peak due to impurity D; use the chromatogram supplied with folic acid for impurity I identification CRS and the chromatogram obtained with reference solution (f) to identify the peak due to impurity I.
Relative retention: With reference to folic acid (retention time = about 8.5 min): impurity A = about 0.5;
impurity C = about 0.9; impurity E = about 1.3; impurity D = about 1.5; impurity I = about 2.15; impurity G = about 2.4; impurity H = about 2.5.
System suitability Reference solution (b):
— resolution: minimum 2.0 between the peaks due to folic acid and impurity E;
— peak-to-valley ratio: minimum 1.5, where Hp = height above the baseline of the peak due to impurity C and Hv = height above the baseline of the lowest point of the curve separating this peak from the peak due to folic acid; minimum 1.5, where Hp = height above the baseline of the peak due to impurity G and Hv = height above the baseline of the lowest point of the curve separating this peak from the peak due to impurity H.
Calculation of percentage contents:
— for impurity A, use the concentration of impurity A in reference solution (d);
— for impurity D, use the concentration of impurity D in reference solution (e);
— for impurities other than A and D, use the concentration of folic acid hydrate in reference solution (c).
Limits:
— impurity A: maximum 0.5 per cent;
— impurity D: maximum 0.4 per cent;
— impurities C, E, G: for each impurity, maximum 0.3 per cent;
— impurities H, I: for each impurity, maximum 0.15 per cent;
— unspecified impurities: for each impurity, maximum 0.10 per cent;
— total: maximum 1.2 per cent;
— reporting threshold: 0.05 per cent.
Water (2.5.12)
5.0 per cent to 8.5 per cent, determined on 0.150 g.
Sulfated ash (2.4.14)
Maximum 0.2 per cent, determined on 1.0 g.
ASSAY
Liquid chromatography (2.2.29) as described in the test for related substances with the following modification.
Injection Test solution and reference solution (a).
STORAGE
Protected from light, under inert gas.
IMPURITIES
Specified impurities A, C, D, E, G, H, I.
Other detectable impurities (the following substances would, if present at a sufficient level, be detected by one or other of the tests in the monograph. They are limited by the general acceptance criterion for other/unspecified impurities and/or by the general monograph Substances for pharmaceutical use (2034). It is therefore not necessary to identify these impurities for demonstration of compliance. See also 5.10. Control of impurities in substances for pharmaceutical use) B, F.

A. (2S)-2-(4-aminobenzamido)pentanedioic acid (N-(4-aminobenzoyl)-L-glutamic acid),

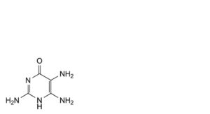
B. 2,5,6-triaminopyrimidin-4(1H)-one,

C. (2S)-2-[4-[[(2-amino-4-oxo-1,4-dihydropteridin-7-yl)methyl]amino]benzamido]pentanedioic acid (isofolic acid),

D. 4-[[(2-amino-4-oxo-1,4-dihydropteridin-6-yl)methyl]amino]benzoic acid (pteroic acid),

E. (2S)-2-[4-[bis[(2-amino-4-oxo-1,4-dihydropteridin-6-yl)methyl]amino]benzamido]pentanedioic acid (6-pterinylfolic acid),

F. 2-amino-7-(chloromethyl)pteridin-4(1H)-one,

G. (2S)-[4-[(2-amino-7-methyl-4-oxo-1,4-dihydropteridin-6-yl)amino]benzamido]pentanedioic acid,

H. (2S)-2-[4-[(4S)-4-[4-[[(2-amino-4-oxo-1,4-dihydropteridin-6-yl)methyl]amino]benzamido]-4-
carboxybutanamido]benzamido]pentanedioic acid,
I. unknown structure.






