(Ph. Eur. monograph 1212)
C27H37FO5 460.6. 29205-06-9
Action and use
Glucocorticoid.
DEFINITION
6α-Fluoro-11β-hydroxy-16α-methyl-3,20-dioxopregna-1,4-dien-21-yl 2,2-dimethylpropanoate.
Content
96.0 per cent to 102.0 per cent (dried substance).
CHARACTERS
Appearance
White or almost white, crystalline powder.
Solubility
Practically insoluble in water, freely soluble in methylene chloride, sparingly soluble in ethanol (96 per cent). IDENTIFICATION
First identification: A, B.
Second identification: C, D.
A. Infrared absorption spectrophotometry (2.2.24).
Comparison fluocortolone pivalate for ID and assay CRS.
B. Examine the chromatograms obtained in the assay.
Results The principal peak in the chromatogram obtained with test solution (b) is similar in retention time. and size to the principal peak in the chromatogram obtained with reference solution (d).
C. Thin-layer chromatography (2.2.27).
Solvent mixture methanol R, methylene chloride R (10:90 V/V).
Test solution: Dissolve 10 mg of the substance to be examined in the solvent mixture and dilute to 10 mL. with the solvent mixture.
Reference solution (a): Dissolve 20 mg of fluocortolone pivalate for ID and assay CRS in the solvent mixture and dilute to 20 mL with the solvent mixture.
Reference solution (b): Dissolve 10 mg of norethisterone CRS in reference solution (a) and dilute to 10 mL with reference solution (a).
Plate TLC silica gel F254 plate R.
Mobile phase Add a mixture of 1.2 volumes of water R and 8 volumes of methanol R to a mixture of 15 volumes of ether R and 77 volumes of methylene chloride R.
Application 5 μL.
Development Over 3/4 of the plate.
Drying In air.
Detection A Examine in ultraviolet light at 254 nm.
Results A: The principal spot in the chromatogram obtained with the test solution is similar in position and size to the principal spot in the chromatogram obtained with reference solution (a).
Detection B: Spray with alcoholic solution of sulfuric acid R, heat at 120 °C for 10 min or until the spots appear, then allow to cool; examine in daylight and in ultraviolet light at 365 nm.
Results B: The principal spot in the chromatogram obtained with the test solution is similar in position, colour in daylight, fluorescence in ultraviolet light at 365 nm and size to the principal spot in the chromatogram obtained with reference solution (a).
System suitability: Reference solution (b):
— the chromatogram shows 2 clearly separated spots.
D. Mix about 5 mg with 45 mg of heavy magnesium oxide R and ignite in a crucible until an almost white residue is obtained (usually less than 5 min). Allow to cool, add 1 mL of water R, 0.05 mL of phenolphthalein solution R1 and about 1 mL of dilute hydrochloric acid R to render the solution colourless. Filter and add to the filtrate a freshly prepared mixture of 0.1 mL of alizarin S solution R and 0.1 mL of zirconyl nitrate solution R. Mix, allow to stand for 5 min and compare the colour of the solution with that of a blank prepared in the same manner. The test solution is yellow and the blank is red.
TESTS
Specific optical rotation (2.2.7)
+ 105 to + 110 (dried substance).
Dissolve 0.25 g in methylene chloride R and dilute to 25.0 mL with the same solvent.
Related substances
Liquid chromatography (2.2.29).
Test solution (a): Dissolve 25.0 mg of the substance to be examined in acetonitrile R and dilute to 25.0 mL with the same solvent.
Test solution (b): Dissolve 25.0 mg of the substance to be examined in a mixture of 50.0 mL of acetonitrile R and 50.0 mL of water R.
Reference solution (a): Dilute 1.0 mL of test solution (a) to 100.0 mL with acetonitrile R. Dilute 1.0 mL of this solution to 10.0 mL with acetonitrile R.
Reference solution (b): Dissolve 2 mg of fluocortolone pivalate for system suitability CRS (containing impurities C, D, E and F) in 2 mL of acetonitrile R.
Reference solution (c): Dissolve 2 mg of fluocortolone pivalate for peak identification CRS (containing impurity A) in 2 mL of acetonitrile R.
Reference solution (d): Dissolve 25.0 mg of fluocortolone pivalate for ID and assay CRS in a mixture of 50.0 mL of acetonitrile R and 50.0 mL of water R.
Column:
— size: l = 0.25 m, Ø = 4.6 mm;
— stationary phase: end-capped octadecylsilyl silica gel for chromatography R (5 μm).
Mobile phase methanol R1, acetonitrile for chromatography R, water for chromatography R (25:30:32 V/V/V).
Flow rate 1.5 mL/min.
Detection: Spectrophotometer at 243 nm.
Injection 20 μL of test solution (a) and reference solutions (a), (b) and (c).
Run time: Twice the retention time of fluocortolone pivalate.
Identification of impurities: Use the chromatogram supplied with fluocortolone pivalate for system suitability CRS and the chromatogram obtained with reference solution (b) to identify the peaks due to impurities C, D, E and F; use the chromatogram supplied with fluocortolone pivalate for peak identification CRS and the chromatogram obtained with reference solution (c) to identify the peak due to impurity A.
Relative retention: With reference to fluocortolone pivalate (retention time = about 21 min): impurity A = about 0.2; impurity C = about 0.9; impurity D = about 1.1; impurity E = about 1.4; impurity F = about 1.6.
System suitability Reference solution (b):
— resolution: minimum 1.5 between the peaks due to fluocortolone pivalate and impurity D.
Calculation of percentage contents:
— correction factors: multiply the peak areas of the following impurities by the corresponding correction factor: impurity E = 1.4; impurity F = 1.3;
— for each impurity, use the concentration of fluocortolone pivalate in reference solution (a).
Limits:
— impurities C, D: for each impurity, maximum 1.0 per cent;
— impurity A: maximum 0.3 per cent;
— impurity E: maximum 0.2 per cent;
— impurity F: maximum 0.15 per cent;
— unspecified impurities: for each impurity, maximum 0.10 per cent;
— total: maximum 2.0 per cent;
— reporting threshold: 0.05 per cent.
Loss on drying (2.2.32)
Maximum 1.0 per cent, determined on 1.000 g by drying in an oven at 105 °C.
Sulfated ash (2.4.14)
Maximum 0.1 per cent, determined on 1.0 g in a platinium crucible.
ASSAY
Liquid chromatography (2.2.29) as described in the test for related substances with the following modifications.
Mobile phase methanol R1, acetonitrile for chromatography R, water for chromatography R (25:40:32 V/V/V).
Injection 10 μL of test solution (b) and reference solutions (b) and (d).
Run time 1.5 times the retention time of fluocortolone pivalate.
Relative retention With reference to fluocortolone pivalate (retention time = about 11 min): impurity D = about 1.1.
System suitability Reference solution (b):
— resolution: minimum 1.5 between the peaks due to fluocortolone pivalate and impurity D.
Calculate the percentage content of C27H37FO5 taking into account the assigned content of fluocortolone pivalate for ID and assay CRS.
STORAGE
Protected from light.
IMPURITIES
Specified impurities A, C, D, E, F.
Other detectable impurities (the following substances would, if present at a sufficient level, be detected by one or other of the tests in the monograph. They are limited by the general acceptance criterion for other/unspecified impurities and/or by the general monograph Substances for pharmaceutical use (2034). It is therefore not necessary to identify these impurities for demonstration of compliance. See also 5.10. Control of impurities in substances for pharmaceutical use) B.

A. 6α-fluoro-11β,21-dihydroxy-16α-methylpregna-1,4-diene-3,20-dione (fluocortolone),

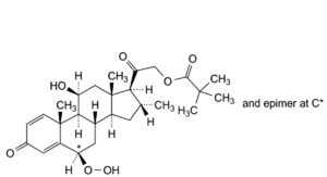
B. 6αβ-hydroperoxy-11β-hydroxy-16α-methyl-3,20-dioxopregna-1,4-dien-21-yl 2,2-dimethylpropanoate,

C. 6α-fluoro-16α-methyl-3,11,20-trioxopregna-1,4-dien-21-yl 2,2-dimethylpropanoate,

D. 6α-fluoro-11β-hydroxy-16α-methyl-3,20-dioxopregn-4-en-21-yl 2,2-dimethylpropanoate,

E. 4-fluoro-11β-hydroxy-16α-methyl-3,20-dioxopregna-1,4-dien-21-yl 2,2-dimethylpropanoate,

F. 6α-fluoro-16α-methyl-3,20-dioxopregna-1,4-dien-21-yl 2,2-dimethylpropanoate.






