(Ph. Eur. monograph 1722)
C26H28Cl2F2N2 477.4 30484-77-6
Action and use
Calcium channel blocker.
DEFINITION
1-[Bis(4-fluorophenyl)methyl]-4-[(2E)-3-phenylprop-2-en-1-yl]piperazine dihydrochloride.
Content
99.0 per cent to 101.5 per cent (dried substance).
CHARACTERS
Appearance
White or almost white powder, hygroscopic.
Solubility
Slightly soluble in water, sparingly soluble in methanol, slightly soluble in ethanol (96 per cent) and in methylene chloride.
IDENTIFICATION
A. Infrared absorption spectrophotometry (2.2.24).
Comparison: flunarizine dihydrochloride CRS.
B. Dissolve 25 mg in 2 mL of methanol R and add 0.5 mL of water R. The solution gives reaction (a) of chlorides (2.3.1).
TESTS
Related substances
Liquid chromatography (2.2.29). Prepare the solutions immediately before use and protect from light.
Test solution: Dissolve 0.100 g of the substance to be examined in methanol R and dilute to 10.0 mL with the same solvent.
Reference solution (a): Dissolve 10 mg of flunarizine for system suitability CRS (containing impurities B and C) in methanol R and dilute to 1 mL with the same solvent.
Reference solution (b): Dilute 1.0 mL of the test solution to 100.0 mL with methanol R. Dilute 1.0 mL of this solution to 10.0 mL with methanol R.
Column:
— size: l = 0.10 m, Ø = 4.6 mm;
— stationary phase: base-deactivated end-capped octadecylsilyl silica gel for chromatography R (3 μm).
Mobile phase:
— mobile phase A: solution containing 23.8 g/L of tetrabutylammonium hydrogen sulfate R and 7 g/L of ammonium acetate R;
— mobile phase B: acetonitrile for chromatography R;
| Time (min) |
Mobile phase A (per cent V/V) |
Mobile phase B (per cent V/V) |
| 0 – 12 | 80 → 40 | 20 → 60 |
| 12 – 15 | 40 | 60 |
Flow rate: 1.5 mL/min.
Detection: Spectrophotometer at 230 nm.
Injection: 10 μL.
Identification of impurities: Use the chromatogram supplied with flunarizine for system suitability CRS and the chromatogram obtained with reference solution (a) to identify the peaks due to impurities B and C.
Relative retention: With reference to flunarizine (retention time = about 8 min): impurity B = about 0.93; impurity C = about 0.96.
System suitability: Reference solution (a):
— peak-to-valley ratio: minimum 1.5, where Hp = height above the baseline of the peak due to impurity C and Hv = height above the baseline of the lowest point of the curve separating this peak from the peak due to flunarizine.
Calculation of percentage contents:
— for each impurity, use the concentration of flunarizine dihydrochloride in reference solution (b).
Limits:
— impurity B: maximum 0.3 per cent;
— unspecified impurities: for each impurity, maximum 0.10 per cent;
— total: maximum 0.5 per cent;
— reporting threshold: 0.05 per cent.
Loss on drying (2.2.32)
Maximum 5.0 per cent, determined on 1.000 g by drying in an oven at 105 °C for 4 h.
Sulfated ash (2.4.14)
Maximum 0.1 per cent, determined on 1.0 g in a platinum crucible.
ASSAY
Dissolve 0.200 g in 70 mL of ethanol (96 per cent) R. Carry out a potentiometric titration (2.2.20), using 0.1 M sodium hydroxide. Read the volume added at the second point of inflexion. Carry out a blank titration.
1 mL of 0.1 M sodium hydroxide is equivalent to 23.87 mg of C26H28Cl2F2N2.
STORAGE
In an airtight container, protected from light.
IMPURITIES
Specified impurities B.
Other detectable impurities (the following substances would, if present at a sufficient level, be detected by one or other of the tests in the monograph. They are limited by the general acceptance criterion for other/unspecified impurities and/or by the general monograph Substances for pharmaceutical use (2034). It is therefore not necessary to identify these impurities for demonstration of compliance. See also 5.10. Control of impurities in substances for pharmaceutical use) A, C, D.

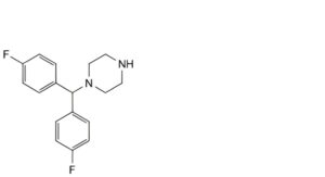
A. 1-[bis(4-fluorophenyl)methyl]piperazine,

B. 1-[(RS)-(4-fluorophenyl)phenylmethyl]-4-[(2E)-3-phenylprop-2-en-1-yl]piperazine,

C. 1-[(RS)-(2-fluorophenyl)(4-fluorophenyl)methyl]-4-[(2E)-3-phenylprop-2-en-1-yl]piperazine,

D. 1-[bis(4-fluorophenyl)methyl]-4-[(2Z)-3-phenylprop-2-en-1-yl]piperazine.






