(Ph. Eur. monograph 1517)
C14H12FNO3 261.3 42835-25-6
Action and use
Antibacterial.
DEFINITION
(RS)-9-Fluoro-5-methyl-1-oxo-6,7-dihydro-1H,5H-benzo[i,j]quinolizine-2-carboxylic acid.
Content
99.0 per cent to 101.0 per cent (dried substance).
CHARACTERS
Appearance
White or almost white, microcrystalline powder.
Solubility
Practically insoluble in water, sparingly soluble in methylene chloride, very slightly soluble in methanol. It is freely soluble in dilute solutions of alkali hydroxides.
IDENTIFICATION
First identification: A, B.
Second identification: B, C, D.
A. Infrared absorption spectrophotometry (2.2.24).
Comparison flumequine CRS.
B. Optical rotation (see Tests).
C. Thin-layer chromatography (2.2.27).
Test solution Dissolve 5 mg of the substance to be examined in 10 mL of methylene chloride R.
Reference solution Dissolve 5 mg of flumequine CRS in 10 mL of methylene chloride R.
Plate TLC silica gel F254 plate R.
Mobile phase ammonia R, water R, ethanol (96 per cent) R (10:10:90 V/V/V).
Application 5 μL.
Development Over 2/3 of the plate.
Drying In air.
Detection Examine in ultraviolet light at 254 nm.
Results The principal spot in the chromatogram obtained with the test solution is similar in position and size to the principal spot in the chromatogram obtained with the reference solution.
D. Mix about 5 mg with 45 mg of heavy magnesium oxide R and ignite in a crucible until an almost white residue is obtained (usually less than 5 min). Allow to cool, add 1 mL of water R, 0.05 mL of phenolphthalein solution R1 and about 2 mL of dilute hydrochloric acid R to render the solution colourless. Filter and add to the filtrate a freshly prepared mixture of 0.1 mL of alizarin S solution R and 0.1 mL of zirconyl nitrate solution R. Mix, allow to stand for 5 min and compare the colour of the solution with that of a blank prepared in the same manner. The test solution changes from red to yellow and the blank remains red.
TESTS
Solution S
Dissolve 5.00 g in 0.5 M sodium hydroxide and dilute to 50.0 mL with the same solvent.
Appearance of solution
Solution S is clear (2.2.1) and not more intensely coloured than reference solution BY5 (2.2.2, Method II).
Optical rotation (2.2.7)
-0.10° to + 0.10°, determined on solution S.
Related substances
Liquid chromatography (2.2.29).
Test solution: Dissolve 35.0 mg of the substance to be examined in dimethylformamide R and dilute to 100.0 mL with the same solvent.
Reference solution (a) Dissolve the contents of a vial of flumequine impurity B CRS in 2.0 mL of a 50 μg/mL solution of flumequine CRS in dimethylformamide R.
Reference solution (b): Dilute 1.0 mL of the test solution to 200.0 mL with dimethylformamide R.
Column:
— size: l = 0.15 m, Ø = 4.6 mm;
— stationary phase: octadecylsilyl silica gel for chromatography R (5 μm).
Mobile phase methanol R, 1.36 g/L solution of potassium dihydrogen phosphate R (49:51 V/V).
Flow rate 0.8 mL/min.
Detection Spectrophotometer at 313 nm.
Injection 10 μL; inject dimethylformamide R as a blank.
Run time 3 times the retention time of flumequine.
Relative retention With reference to flumequine (retention time = about 13 min): impurity A = about 0.67; impurity B = about 0.85.
System suitability Reference solution (a):
— resolution: minimum 2.0 between the peaks due to impurity B and flumequine.
Limits:
— impurities A, B: for each impurity, not more than the area of the principal peak in the chromatogram obtained with reference solution (b) (0.5 per cent);
— unspecified impurities: for each impurity, not more than 0.2 times the area of the principal peak in the
chromatogram obtained with reference solution (b) (0.10 per cent);
— total: not more than twice the area of the principal peak in the chromatogram obtained with reference solution (b) (1.0 per cent);
— disregard limit: 0.1 times the area of the principal peak in the chromatogram obtained with reference solution (b) (0.05 per cent).
Loss on drying (2.2.32)
Maximum 0.5 per cent, determined on 1.000 g by drying in an oven at 105 °C for 3 h.
Sulfated ash (2.4.14)
Maximum 0.1 per cent, determined on 1.0 g in a platinum crucible.
ASSAY
Dissolve 0.500 g in 50 mL of dimethylformamide R. Titrate with 0.1 M tetrabutylammonium hydroxide, determining the end- point potentiometrically (2.2.20).
1 mL of 0.1 M tetrabutylammonium hydroxide is equivalent to 26.13 mg of C14H12FNO3.
IMPURITIES
Specified impurities A, B.

A. (RS)-5-methyl-1-oxo-6,7-dihydro-1H,5H-benzo[i,j]quinolizine-2-carboxylic acid (defluoroflumequine),

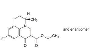
B. ethyl (RS)-9-fluoro-5-methyl-1-oxo-6,7-dihydro-1H,5H-benzo[i,j]quinolizine-2-carboxylate (flumequine ethyl ester).






