(Ph. Eur. monograph 1326)
C15H14FN3O3 303.3 78755-81-4
Action and use
Benzodiazepine receptor antagonist.
DEFINITION
Ethyl 8-fluoro-5-methyl-6-oxo-5,6-dihydro-4H-imidazo[1,5-a][1,4]benzodiazepine-3-carboxylate.
Content
99.0 per cent to 101.0 per cent (dried substance).
CHARACTERS
Appearance
White or almost white, crystalline powder.
Solubility
Very slightly soluble in water, freely soluble in methylene chloride, sparingly soluble in methanol.
mp
198 °C to 202 °C.
IDENTIFICATION
Infrared absorption spectrophotometry (2.2.24).
Comparison: Ph. Eur. reference spectrum of flumazenil.
TESTS
Appearance of solution
The solution is clear (2.2.1) and is not more intensely coloured than reference solution BY7 (2.2.2, Method II).
Dissolve 0.10 g in methanol R and dilute to 10 mL with the same solvent.
Impurity C
Maximum 1 per cent.
Dissolve 0.10 g in 0.5 mL of methylene chloride R and dilute to 10 mL with butanol R. To 5.0 mL of this solution add 2.0 mL of ninhydrin solution R and heat in a water-bath at 95 °C for 15 min. Any blue-purple colour in the solution is not more intense than that in a standard prepared at the same time and in the same manner using 5.0 mL of a 0.1 g/L solution of dimethylformamide diethylacetal R in butanol R.
Related substances
Liquid chromatography (2.2.29).
Test solution: Dissolve 50.0 mg of the substance to be examined in 5 mL of methanol R and dilute to 25.0 mL with the mobile phase.
Reference solution (a): Dissolve 2.0 mg of flumazenil impurity B CRS and 2.0 mg of the substance to be examined in the mobile phase and dilute to 25.0 mL with the mobile phase. Dilute 2.0 mL of this solution to 25.0 mL with the mobile phase.
Reference solution (b): Dilute 10.0 mL of the test solution to 100.0 mL with the mobile phase. Dilute 1.0 mL of this solution to 100.0 mL with the mobile phase.
Column:
— size: l = 0.25 m, Ø = 4.6 mm,
— stationary phase: end-capped octadecylsilyl silica gel for chromatography R (5 μm).
Mobile phase: To 800 mL of water R adjusted to pH 2.0 with phosphoric acid R, add 130 mL of methanol R and 70 mL of tetrahydrofuran R and mix.
Flow rate: 1 mL/min.
Detection: Spectrophotometer at 230 nm.
Injection: 20 μL.
Run time: 3 times the retention time of flumazenil.
Relative retention: With reference to flumazenil (retention time = about 14 min): impurity A = about 0.4; impurity D = about 0.5; impurity E = about 0.6; impurity B = about 0.7; impurity F = about 2.4.
System suitability Reference solution (a):
— resolution: minimum 3.0 between the peaks due to impurity B and flumazenil.
Limits:
— impurity B: not more than twice the area of the principal peak in the chromatogram obtained with reference solution (b) (0.2 per cent),
— unspecified impurities: for each impurity, not more than the area of the principal peak in the chromatogram obtained with reference solution (b) (0.10 per cent),
— total: not more than twice the area of the principal peak in the chromatogram obtained with reference solution (b) (0.2 per cent),
— disregard limit: 0.5 times the area of the principal peak in the chromatogram obtained with reference solution (b) (0.05 per cent).
Loss on drying (2.2.32)
Maximum 0.5 per cent, determined on 1.000 g by drying in an oven at 105 °C.
Sulfated ash (2.4.14)
Maximum 0.1 per cent, determined on 1.0 g in a platinum crucible.
ASSAY
Dissolve 0.250 g in 50 mL of a mixture of 2 volumes of acetic anhydride R and 3 volumes of anhydrous acetic acid R.
Titrate with 0.1 M perchloric acid, determining the end-point potentiometrically (2.2.20).
1 mL of 0.1 M perchloric acid is equivalent to 30.33 mg of C15H14FN3O3.
IMPURITIES
Specified impurities B, C.
Other detectable impurities (the following substances would, if present at a sufficient level, be detected by one or other of the tests in the monograph. They are limited by the general acceptance criterion for other/unspecified impurities and/or by the general monograph Substances for pharmaceutical use (2034). It is therefore not necessary to identify these impurities for demonstration of compliance. See also 5.10. Control of impurities in substances for pharmaceutical use) A, D, E, F.

A. 8-fluoro-5-methyl-6-oxo-5,6-dihydro-4H-imidazo[1,5-a][1,4]benzodiazepine-3-carboxylic acid,

B. ethyl 8-hydroxy-5-methyl-6-oxo-5,6-dihydro-4H-imidazo[1,5-a][1,4]benzodiazepine-3-carboxylate,

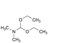
C. diethoxy-N,N-dimethylmethanamine,

D. 7-fluoro-4-methyl-3,4-dihydro-1H-1,4-benzodiazepine-2,5-dione,

E. ethyl 5-methyl-6-oxo-5,6-dihydro-4H-imidazo[1,5-a][1,4]benzodiazepine-3-carboxylate,

F. ethyl 8-chloro-5-methyl-6-oxo-5,6-dihydro-4H-imidazo[1,5-a][1,4]benzodiazepine-3-carboxylate.






