(Ph. Eur. monograph 1781)
C10H13FN5O7P 365.2 75607-67-9
Action and use
Purine analogue; cytotoxic.
DEFINITION
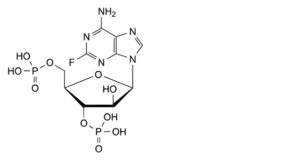
2-Fluoro-9-(5-O-phosphono-β-D-arabinofuranosyl)-9H-purin-6-amine.
Content
97.0 per cent to 102.0 per cent (anhydrous substance).
CHARACTERS
Appearance
White or almost white, hygroscopic, crystalline powder.
Solubility
Slightly soluble in water, freely soluble in dimethylformamide, very slightly soluble in anhydrous ethanol.
IDENTIFICATION
Infrared absorption spectrophotometry (2.2.24).
Comparison fludarabine phosphate CRS.
TESTS
Appearance of solution
The solution is clear (2.2.1) and not more intensely coloured than reference solution BY5 (2.2.2, Method II).
Dissolve 50 mg in 5.0 mL of dimethylformamide R using sonication.
Specific optical rotation (2.2.7)
+ 10.0 to + 14.0 (anhydrous substance).
Dissolve 0.100 g in water R using sonication and dilute to 20.0 mL with the same solvent.
Related substances
Liquid chromatography (2.2.29): use the normalisation procedure. Prepare the solutions immediately before use.
Test solution (a): Dissolve 20 mg of the substance to be examined in 50 mL of water R using sonication and dilute to 100.0 mL with the same solvent.
Test solution (b): Dissolve 24.0 mg of the substance to be examined in 50 mL of water R; using sonication and dilute to 100.0 mL with the same solvent. Dilute 25.0 mL of the solution to 100.0 mL with the mobile phase.
Reference solution (a): In order to prepare impurities A and B in situ, dissolve 20 mg of the substance to be examined in 20 mL of a 10.3 g/L solution of hydrochloric acid R using sonication. Heat in a water-bath at 80 °C for 15 min, cool to room temperature, mix and dilute to 100 mL with water R.
Reference solution (b): Dilute 1.0 mL of test solution (a) to 100.0 mL with water R. Dilute 1.0 mL of this solution to 20.0 mL with water R.
Reference solution (c): Dissolve 5 mg of fludarabine for system suitability CRS (containing impurities D, E and F) in 10 mL of water R using sonication and dilute to 25 mL with the same solvent.
Reference solution (d): Dissolve 2 mg of fludarabine for peak identification CRS (containing impurity C) in 5 mL of water R using sonication and dilute to 10 mL with the same solvent.
Reference solution (e): Dissolve 24.0 mg of fludarabine phosphate CRS in 50 mL of water R using sonication and dilute to 100.0 mL with the same solvent. Dilute 25.0 mL of the solution to 100.0 mL with the mobile phase.
Blank solution 2.06 g/L solution of hydrochloric acid R.
A. Early eluting impurities.
Column:
— size: l = 0.15 m, Ø = 4.6 mm;
— stationary phase: end-capped octadecylsilyl silica gel for chromatography R (5 μm).
Mobile phase: Mix 60 volumes of methanol R and 940 volumes of a 1.36 g/L solution of potassium dihydrogen phosphate R.
Flow rate 1 mL/min.
Detection Spectrophotometer at 260 nm and at 292 nm.
Injection 10 μL of test solution (a) and reference solutions (a), (b) and (d).
Run time 4.5 times the retention time of the principal peak in the chromatogram obtained with test solution (a).
Identification of impurities: Use the chromatogram obtained with reference solution (a) at 292 nm to identify the peaks due to impurities A and B, the response at 292 nm being much higher than at 260 nm; use the chromatogram supplied with fludarabine for peak identification CRS and the chromatogram obtained with reference solution (d) at 260 nm to identify impurity C.
Relative retention: With reference to fludarabine phosphate (retention time = about 9 min): impurity A = about 0.26; impurity B = about 0.34; impurity C = about 0.42.
System suitability Reference solution (a) at 292 nm:
— resolution: minimum 2.0 between the peaks due to impurities A and B.
Limits At 260 nm:
— correction factors: for the calculation of contents, multiply the peak areas of the following impurities by the corresponding correction factor: impurity A = 4.0; impurity B = 2.5; impurity C = 1.9;
— impurity A: maximum 0.8 per cent;
— impurity C: maximum 0.4 per cent;
— impurity B: maximum 0.2 per cent;
— unspecified impurities eluting before fludarabine phosphate: for each impurity, maximum 0.10 per cent;
— disregard limit: the area of the principal peak in the chromatogram obtained with reference solution (b) (0.05 per cent); disregard any peak eluting after fludarabine phosphate.
B. Late eluting impurities.
Conditions as described under Test A with the following modifications.
Mobile phase: Mix 200 volumes of methanol R and 800 volumes of a 1.36 g/L solution of potassium dihydrogen phosphate R.
Detection: Spectrophotometer at 260 nm.
Injection 10 μL of test solution (a) and reference solutions (b) and (c).
Run time 8 times the retention time of the principal peak in the chromatogram obtained with test solution (a).
Identification of impurities: Use the chromatogram supplied with fludarabine for system suitability CRS and the chromatogram obtained with reference solution (c) to identify the peaks due to impurities D, E and F.
Relative retention: With reference to fludarabine phosphate (retention time = about 2.5 min): impurity D = about 1.5; impurity E = about 1.9; impurity F = about 2.5.
System suitability Reference solution (c):
— resolution: minimum 5.0 between the peaks due to fludarabine phosphate and impurity D.
Limits:
— correction factors: for the calculation of contents, multiply the peak areas of the following impurities by the corresponding correction factor: impurity D = 0.5; impurity E = 0.6; impurity F = 1.8;
— impurity E: maximum 0.2 per cent;
— impurity F: maximum 0.2 per cent;
— impurity D: maximum 0.15 per cent;
— unspecified impurities eluting after fludarabine phosphate: for each impurity, maximum 0.10 per cent;
— disregard limit: the area of the principal peak in the chromatogram obtained with reference solution (b) (0.05 per cent); disregard any peak eluting before fludarabine phosphate.
Total of impurities eluting before fludarabine phosphate in test A, apart from impurities A, B and C, and after fludarabine phosphate in test B, apart from impurities D, E and F Maximum 0.5 per cent.
Total of all impurities eluting before fludarabine phosphate in test A and after fludarabine phosphate in test B Maximum 2.0 per cent.
Ethanol (2.4.24, System A)
Maximum 1.0 per cent.
Water (2.5.12)
Maximum 3.0 per cent, determined on 0.200 g (ground to a very fine powder). Stir the substance in 15 mL of anhydrous methanol R for about 15 s before titrating.
ASSAY
Liquid chromatography (2.2.29) as described in test A for related substances with the following modifications.
Detection Spectrophotometer at 260 nm.
Injection 10 μL of test solution (b) and reference solution (e).
Calculate the percentage content of C10H13FN5O7P taking into account the assigned content of fludarabine phosphate CRS.
STORAGE
In an airtight container, protected from light, at a temperature of 2 °C to 8 °C.
IMPURITIES
Specified impurities A, B, C, D, E, F.
Other detectable impurities (the following substances would, if present at a sufficient level, be detected by one or other of the tests in the monograph. They are limited by the general acceptance criterion for other/unspecified impurities and/or by the general monograph Substances for pharmaceutical use (2034). It is therefore not necessary to identify these impurities for demonstration of compliance. See also 5.10. Control of impurities in substances for pharmaceutical use) G, H, I, J.

A. 6-amino-9-(5-O-phosphono-β-D-arabinofuranosyl)-9H-purin-2-ol,

B. 6-amino-7H-purin-2-ol,

C. 9-(3,5-di-O-phosphono-β-D-arabinofuranosyl)-2-fluoro-9H-purin-6-amine,

D. 2-fluoro-7H-purin-6-amine,

E. 9-β-D-arabinofuranosyl-2-fluoro-9H-purin-6-amine,

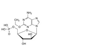
F. 2-ethoxy-9-(5-O-phosphono-β-D-arabinofuranosyl)-9H-purin-6-amine,

G. 9-(2-chloro-2-deoxy-5-O-phosphono-β-D-arabinofuranosyl)-2-fluoro-9H-purin-6-amine,

H. 9-(2,5-anhydro-β-D-arabinofuranosyl)-2-fluoro-9H-purin-6-amine,

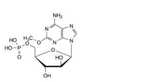
I. 9-(5-O-phosphono-β-D-arabinofuranosyl)-9H-purine-2,6-diamine,

J. 2-methoxy-9-(5-O-phosphono-β-D-arabinofuranosyl)-9H-purin-6-amine.






