(Ph. Eur. monograph 2287)
C13H12F2N6O 306.3 86386-73-4
Action and use
Antifungal.
Preparations
Fluconazole Capsules
Fluconazole Oral Suspension
Fluconazole Infusion
DEFINITION
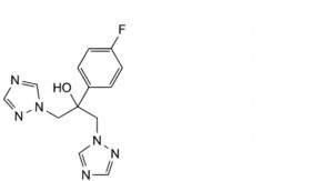
2-(2,4-Difluorophenyl)-1,3-bis(1H-1,2,4-triazol-1-yl)propan-2-ol.
Content
99.0 per cent to 101.0 per cent (dried substance).
CHARACTERS
Appearance
White or almost white, hygroscopic, crystalline powder.
Solubility
Slightly soluble in water, freely soluble in methanol, soluble in acetone.
It shows polymorphism (5.9).
IDENTIFICATION
Infrared absorption spectrophotometry (2.2.24).
Comparison fluconazole CRS.
If the spectra obtained in the solid state show differences, dissolve the substance to be examined and the reference substance separately in the minimum volume of methylene chloride R, evaporate to dryness on a water-bath and record new spectra using the residues.
TESTS
Appearance of solution
The solution is clear (2.2.1) and colourless (2.2.2, Method II).
Dissolve 1.0 g in methanol R and dilute to 20 mL with the same solvent.
Related substances
Liquid chromatography (2.2.29).
Test solution Dissolve 0.100 g of the substance to be examined in the mobile phase, sonicate if necessary, and dilute to 10.0 mL with the mobile phase.
Reference solution (a): Dilute 5.0 mL of the test solution to 100.0 mL with the mobile phase. Dilute 1.0 mL of this solution to 10.0 mL with the mobile phase.
Reference solution (b): Dissolve 5 mg of fluconazole for peak identification CRS (containing impurity A) in the mobile phase, sonicate if necessary, and dilute to 10 mL with the mobile phase.
Reference solution (c): Dissolve 3.0 mg of fluconazole impurity B CRS in the mobile phase, sonicate if necessary, and dilute to 100.0 mL with the mobile phase.
Reference solution (d) Dissolve 3.0 mg of fluconazole impurity C CRS in the mobile phase and dilute to 20.0 mL with the mobile phase.
Reference solution (e) To 1.0 mL of reference solution (d) add 1.0 mL of the test solution and dilute to 10.0 mL with the mobile phase.
Reference solution (f) Dilute 1.0 mL of reference solution (d) to 10.0 mL with the mobile phase.
Column:
— size: l = 0.15 m, Ø = 4.6 mm;
— stationary phase: octadecylsilyl silica gel for chromatography R1 (5 μm);
— temperature: 40 °C.
Mobile phase acetonitrile R, 0.63 g/L solution of ammonium formate R (14:86 V/V).
Flow rate 1.0 mL/min.
Detection: Spectrophotometer at 260 nm.
Injection 20 μL of the test solution and reference solutions (a), (b), (c), (e) and (f).
Run time 3.5 times the retention time of fluconazole.
Identification of impurities: Use the chromatogram supplied with fluconazole for peak identification CRS and the chromatogram obtained with reference solution (b) to identify the peak due to impurity A; use the chromatogram obtained with reference solution (c) to identify the peak due to impurity B and the chromatogram obtained with reference solution (f) to identify the peak due to impurity C.
Relative retention: With reference to fluconazole (retention time = about 11 min): impurity B = about 0.4; impurity A = about 0.5; impurity C = about 0.8.
System suitability Reference solution (e):
— resolution: minimum 3.0 between the peaks due to impurity C and fluconazole.
Limits:
— impurity A: not more than 0.8 times the area of the principal peak in the chromatogram obtained with reference solution (a) (0.4 per cent);
— impurity B: not more than the area of the principal peak in the chromatogram obtained with reference solution (c) (0.3 per cent);
— impurity C: not more than the area of the principal peak in the chromatogram obtained with reference solution (f) (0.15 per cent);
— unspecified impurities: for each impurity, not more than 0.2 times the area of the principal peak in the chromatogram obtained with reference solution (a) (0.10 per cent);
— total: maximum 0.6 per cent;
— disregard limit: 0.1 times the area of the principal peak in the chromatogram obtained with reference solution (a) (0.05 per cent).
Loss on drying (2.2.32)
Maximum 0.5 per cent, determined on 1.000 g by drying in an oven at 105 °C.
Sulfated ash (2.4.14)
Maximum 0.1 per cent, determined on 1.0 g.
ASSAY
Dissolve 0.125 g in 60 mL of anhydrous acetic acid R. Titrate with 0.1 M perchloric acid, determining the end-point potentiometrically (2.2.20).
1 mL of 0.1 M perchloric acid is equivalent to 15.32 mg of C13H12F2N6O.
STORAGE
In an airtight container.
IMPURITIES
Specified impurities A, B, C.
Other detectable impurities (the following substances would, if present at a sufficient level, be detected by one or other of the tests in the monograph. They are limited by the general acceptance criterion for other/unspecified impurities and/or by the general monograph Substances for pharmaceutical use (2034). It is therefore not necessary to identify these impurities for demonstration of compliance. See also 5.10. Control of impurities in substances for pharmaceutical use) D, E, F, G, H, I.

A. (2RS)-2-(2,4-difluorophenyl)-1-(1H-1,2,4-triazol-1-yl)-3-(4H-1,2,4-triazol-4-yl)propan-2-ol,

B. 2-[2-fluoro-4-(1H-1,2,4-triazol-1-yl)phenyl]-1,3-bis(1H-1,2,4-triazol-1-yl)propan-2-ol,

C. 1,1′-(1,3-phenylene)di-1H-1,2,4-triazole,

D. 2-(4-fluorophenyl)-1,3-bis(1H-1,2,4-triazol-1-yl)propan-2-ol,

E. 1-(2,4-difluorophenyl)-2-(1H-1,2,4-triazol-1-yl)ethanone,

F. (2RS)-2-(2,4-difluorophenyl)-3-(1H-1,2,4-triazol-1-yl)propane-1,2-diol,

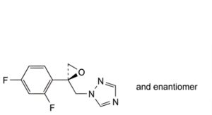
G. 1-[[(2RS)-2-(2,4-difluorophenyl)oxiran-2-yl]methyl]-1H-1,2,4-triazole,

H. (2RS)-1-bromo-2-(2,4-difluorophenyl)-3-(1H-1,2,4-triazol-1-yl)propan-2-ol,

I. 4-amino-1-[(2RS)-2-(2,4-difluorophenyl)-2-hydroxy-3(1H-1,2,4-triazol-1-yl)propyl]-4H-1,2,4-triazolium.






