Flucloxacillin Sodium
(Ph. Eur. monograph 0668)
C19H16ClFN3NaO5S,H2O 493.9 34214-51-2
Action and use
Penicillin antibacterial.
Preparations
Flucloxacillin Capsules
Co-fluampicil Capsules
Flucloxacillin Infusion
Flucloxacillin Injection
Flucloxacillin Oral Solution
DEFINITION
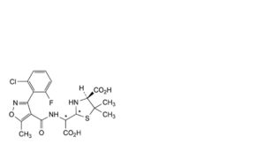
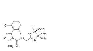
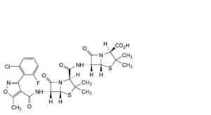
Sodium (2S,5R,6R)-6-[3-(2-chloro-6-fluorophenyl)-5-methyl-1,2-oxazol-4-amido]-3,3-dimethyl-7-oxo-4-thia-1-azabicyclo[3.2.0]heptane-2-carboxylate monohydrate.
Semi-synthetic product derived from a fermentation product.
Content
95.0 per cent to 102.0 per cent (anhydrous substance).
PRODUCTION
The manufacturing process is evaluated to determine the potential presence of N,N-dimethylaniline. Where necessary, the manufacturing process is validated to demonstrate that the flucloxacillin sodium monohydrate complies with the following test:
N,N-Dimethylaniline (2.4.26, Method B)
Maximum 20 ppm.
CHARACTERS
Appearance
White or almost white, hygroscopic, crystalline powder.
Solubility
Freely soluble in water and in methanol, soluble in ethanol (96 per cent), practically insoluble in dichloromethane.
IDENTIFICATION
First identification: A, D.
Second identification: B, C, D.
A. Infrared absorption spectrophotometry (2.2.24).
Comparison flucloxacillin sodium CRS.
B. Thin-layer chromatography (2.2.27).
Test solution: Dissolve 25 mg of the substance to be examined in 5 mL of water R.
Reference solution (a): Dissolve 25 mg of flucloxacillin sodium CRS in 5 mL of water R.
Reference solution (b): Dissolve 25 mg of cloxacillin sodium CRS, 25 mg of dicloxacillin sodium CRS and 25 mg of flucloxacillin sodium CRS in 5 mL of water R.
Plate TLC silanised silica gel plate R.
Mobile phase Mix 30 volumes of acetone R and 70 volumes of a 154 g/L solution of ammonium acetate R adjusted to pH 5.0 with glacial acetic acid R.
Application 1 μL.
Development Over 2/3 of the plate.
Drying In air.
Detection: Expose to iodine vapour until the spots appear and examine in daylight.
System suitability Reference solution (b):
— the chromatogram shows 3 clearly separated spots.
Results The principal spot in the chromatogram obtained with the test solution is similar in position, colour and size to the principal spot in the chromatogram obtained with reference solution (a).
C. Place about 2 mg in a test-tube about 150 mm long and 15 mm in diameter. Moisten with 0.05 mL of water R and add 2 mL of sulfuric acid-formaldehyde reagent R. Mix the contents of the tube by swirling; the colour of the solution is slightly greenish-yellow. Place the test-tube in a water-bath for 1 min; the solution becomes yellow.
D. It gives reaction (a) of sodium (2.3.1).
TESTS
Solution S
Dissolve 2.50 g in carbon dioxide-free water R and dilute to 25.0 mL with the same solvent.
Appearance of solution
Solution S is clear (2.2.1) and its absorbance (2.2.25) at 430 nm is not greater than 0.04.
pH (2.2.3)
5.0 to 7.0 for solution S.
Related substances
Liquid chromatography (2.2.29).
Solvent mixture water R, acetonitrile R (50:50 V/V).
Test solution (a): Dissolve 0.100 g of the substance to be examined in the solvent mixture and dilute to 100.0 mL with the solvent mixture. Protect the solution from light.
Test solution (b): Dilute 2.0 mL of test solution (a) to 20.0 mL with the solvent mixture.
Reference solution (a): Dissolve 25.0 mg of flucloxacillin sodium CRS in the solvent mixture and dilute to 25.0 mL with the solvent mixture. Protect the solution from light.
Reference solution (b): Dilute 2.0 mL of reference solution (a) to 20.0 mL with the solvent mixture.
Reference solution (c): Dilute 1.0 mL of reference solution (a) to 100.0 mL with the solvent mixture.
Reference solution (d): Dissolve 5 mg of flucloxacillin for peak identification CRS (containing impurities A, B, C, D, E, F, G, H, I, J and K) in the solvent mixture and dilute to 5 mL with the solvent mixture. Protect the solution from light.
Reference solution (e): Dissolve 5 mg of flucloxacillin impurity D CRS in the solvent mixture and dilute to 50 mL with the solvent mixture. Protect the solution from light.
Reference solution (f): Dissolve 20 mg of flucloxacillin sodium CRS in the solvent mixture, add 2 mL of reference solution (e) and dilute to 20 mL with the solvent mixture. Protect the solution from light.
Reference solution (g): Dilute 2 mL of reference solution (f) to 20.0 mL with the solvent mixture.
Column:
— size: l = 0.25 m, Ø = 4.6 mm;
— stationary phase: octadecylsilyl silica gel for chromatography R (5 μm);
— temperature: 40 °C.
Mobile phase:
— mobile phase A: dissolve 1.18 g of sodium hexanesulfonate monohydrate for ion-pair chromatography R in water for chromatography R, add 0.8 mL of concentrated ammonia R1 and dilute to 1000 mL with water for chromatography R; adjust to pH 2.8-3.0 with concentrated phosphoric acid R;
— mobile phase B: acetonitrile for chromatography R;
| Time (min) |
Mobile phase A (per cent V/V) |
Mobile phase B (per cent V/V) |
| 0 – 30 | 80 → 45 | 20 → 55 |
| 30 – 35 | 45 → 35 | 55 → 65 |
Flow rate 1.5 mL/min.
Detection Spectrophotometer at 225 nm.
Injection 10 μL of test solution (a) and reference solutions (c), (d) and (f).
Identification of impurities: Use the chromatogram supplied with flucloxacillin for peak identification CRS and the chromatogram obtained with reference solution (d) to identify the peaks due to impurities A, B, C, D, E, F, G, H, I, J and K.
Relative retention: With reference to flucloxacillin (retention time = about 19 min): impurity C = about 0.09; impurity A (isomer 1) = about 0.48; impurity A (isomer 2) = about 0.50; impurity F = about 0.55; impurity G = about 0.65; impurity B (isomer 1) = about 0.76; impurity B (isomer 2) = about 0.79; impurity D = about 0.94; impurity H = about 1.22; impurity E = about 1.26; impurity I = about 1.35; impurity J = about 1.57; impurity K = about 1.59.
System suitability Reference solution (f):
— resolution: minimum 1.5 between the peaks due to impurity D and flucloxacillin.
Calculation of percentage contents:
— for each impurity, use the concentration of flucloxacillin sodium monohydrate in reference solution (c);
— correction factor: multiply the peak areas of the following impurities by the corresponding correction factor:
impurity B = 1.3; impurity C = 4.2.
Limits:
— impurity A (sum of the 2 isomers): maximum 2.0 per cent;
— impurity B (sum of the 2 isomers): maximum 1.5 per cent;
— impurities C, E: for each impurity, maximum 1.0 per cent;
— impurity H: maximum 0.5 per cent;
— impurities F, I, J, K: for each impurity, maximum 0.4 per cent;
— impurities D, G: for each impurity, maximum 0.3 per cent;
— any other impurity: for each impurity, maximum 0.2 per cent;
— total: maximum 5.0 per cent;
— reporting threshold: 0.05 per cent.
2-Ethylhexanoic acid (2.4.28)
Maximum 0.8 per cent m/m.
Water (2.5.12)
3.0 per cent to 4.5 per cent, determined on 0.300 g.
Pyrogens (2.6.8)
If intended for use in the manufacture of parenteral preparations without a further appropriate procedure for the removal of pyrogens, it complies with the test. Inject per kilogram of the rabbit’s mass 1 mL of a solution in water for injections R containing 20 mg of the substance to be examined per millilitre.
ASSAY
Liquid chromatography (2.2.29) as described in the test for related substances with the following modifications.
Mobile phase:
— mobile phase A: dissolve 1.18 g of sodium hexanesulfonate monohydrate for ion-pair chromatography R in water for chromatography R, add 0.8 mL of concentrated ammonia R1 and dilute to 1000 mL with water for chromatography R; adjust to pH 3.0-3.2 with concentrated phosphoric acid R;
— mobile phase B: acetonitrile for chromatography R;
| Time (min) |
Mobile phase A (per cent V/V) |
Mobile phase B (per cent V/V) |
| 0 – 8 | 65 → 41 | 35 → 59 |
Flow rate 1.8 mL/min.
Injection: Test solution (b) and reference solutions (b) and (g).
Relative retention: With reference to flucloxacillin (retention time = about 5.3 min): impurity D = about 1.04.
System suitability Reference solution (g):
— resolution: minimum 1.5 between the peaks due to impurity D and flucloxacillin.
Calculate the percentage content of C19H16ClFN3NaO5S using the chromatogram obtained with reference solution (b) and taking into account the assigned content of flucloxacillin sodium CRS.
STORAGE
In an airtight container, at a temperature not exceeding 25 °C. If the substance is sterile, the container is also sterile and tamper-evident.
LABELLING
The label states, where applicable, that the substance is suitable for use in the manufacture of parenteral preparations.
IMPURITIES
Specified impurities A, B, C, D, E, F, G, H, I, J, K.

A. (2Ξ,4S)-2-[(Ξ)-carboxy[3-(2-chloro-6-fluorophenyl)-5-methyl-1,2-oxazol-4-amido]methyl]-5,5-dimethyl-1,3-thiazolidine-4-carboxylic acid (penicilloic acids of flucloxacillin),

B. (2Ξ,4S)-2-[[3-(2-chloro-6-fluorophenyl)-5-methyl-1,2-oxazol-4-amido]methyl]-5,5-dimethyl-1,3-thiazolidine-4-carboxylic acid (penilloic acids of flucloxacillin),

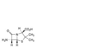
C. (2S,5R,6R)-6-amino-3,3-dimethyl-7-oxo-4-thia-1-azabicyclo[3.2.0]heptane-2-carboxylic acid (6-aminopenicillanic acid),

D. 3-(2-chloro-6-fluorophenyl)-5-methyl-1,2-oxazole-4-carboxylic acid,

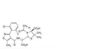
E. (2S,5R,6R)-6-[(2S,5R,6R)-6-[3-(2-chloro-6-fluorophenyl)-5-methyl-1,2-oxazol-4-amido]-3,3-dimethyl-7-oxo-4-thia-1-azabicyclo[3.2.0]heptane-2-amido]-3,3-dimethyl-7-oxo-4-thia-1-azabicyclo[3.2.0]heptane-2-carboxylic acid (6-APA flucloxacillin amide),

F. [3-(2-chloro-6-fluorophenyl)-5-methyl-1,2-oxazol-4-amido]acetic acid,

G. (2Ξ,4S)-3-acetyl-2-[(Ξ)-carboxy[3-(2-chloro-6-fluorophenyl)-5-methyl-1,2-oxazol-4-amido]methyl]-5,5-dimethyl-1,3-thiazolidine-4-carboxylic acid,

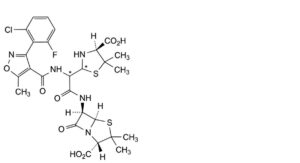
H. (2Ξ,4S)-2-[(Ξ)-carboxy[3-(2-chloro-6-fluorophenyl)-5-methyl-1,2-oxazol-4-amido]methyl]-3-[[3-(2-chloro-6-fluorophenyl)-5-methyl-1,2-oxazol-4-amido]acetyl]-5,5-dimethyl-1,3-thiazolidine-4-carboxylic acid,

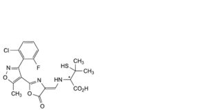
I. (2Ξ)-2-[[(Z)-[2-[3-(2-chloro-6-fluorophenyl)-5-methyl-1,2-oxazol-4-yl]-5-oxo-1,3-oxazol-4(5H)-ylidene]methyl]amino]-3-methyl-3-sulfanylbutanoic acid,

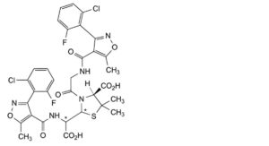
J. (2S,5R,6R)-6-[(2Ξ)-2-[(2Ξ,4S)-4-carboxy-5,5-dimethyl-1,3-thiazolidin-2-yl]-2-[3-(2-chloro-6-fluorophenyl)-5-methyl-1,2-oxazol-4-amido]acetamido]-3,3-dimethyl-7-oxo-4-thia-1-azabicyclo[3.2.0]heptane-2-carboxylic acid,
K. unknown structure.






