Edition: BP 2025 (Ph. Eur. 11.6 update)
Action and use
Acaricide and insecticide (veterinary).
Ph Eur
DEFINITION
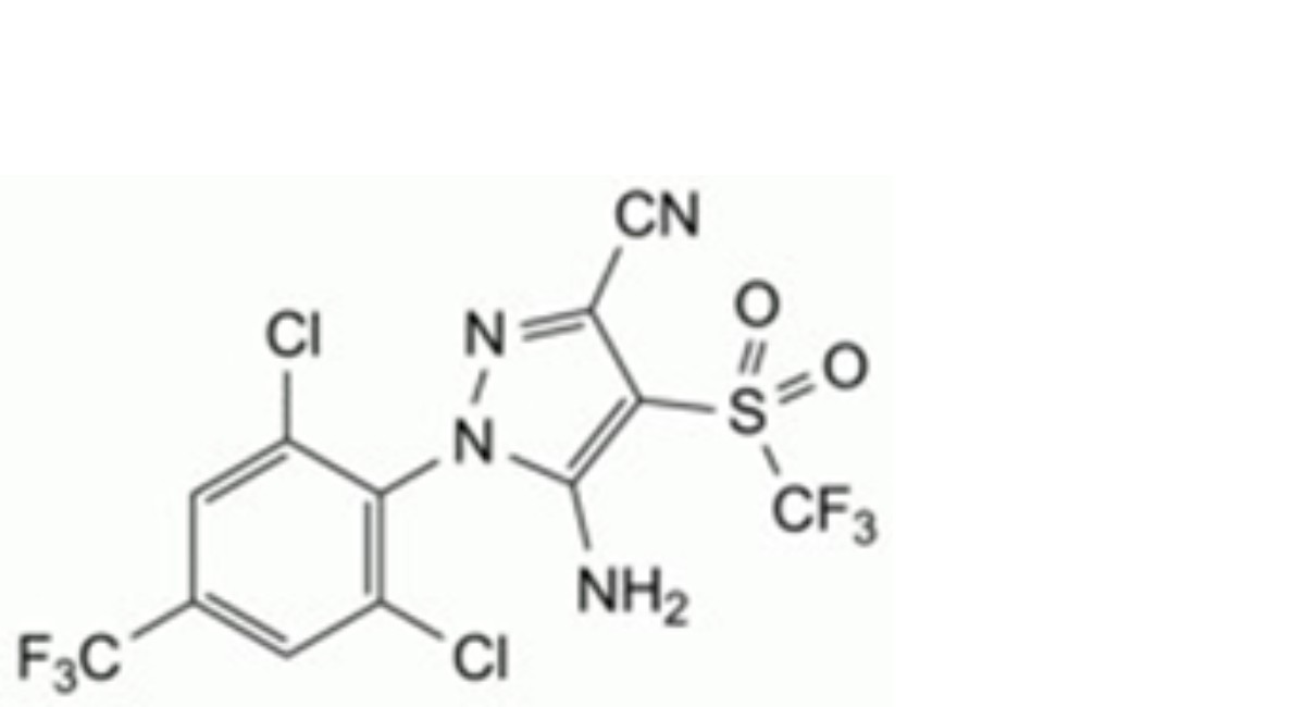
5-Amino-1-[2,6-dichloro-4-(trifluoromethyl)phenyl]-4-[(RS)-(trifluoromethyl)sulfinyl]-1H-pyrazole-3-carbonitrile.
Content
95.5 per cent to 102.0 per cent (dried substance).
CHARACTERS
Appearance
White or almost white or yellowish powder.
Solubility
Practically insoluble in water, soluble in anhydrous ethanol, practically insoluble in heptane. It shows polymorphism (5.9).
IDENTIFICATION
Infrared absorption spectrophotometry (2.2.24).
Comparison fipronil CRS.
If the spectra obtained in the solid state show differences, dissolve the substance to be examined and the reference substance separately in the minimum volume of methylene chloride R, evaporate to dryness and record new spectra using the residues.
TESTS
Related substances
Liquid chromatography (2.2.29). Carry out the test protected from light. Solvent mixture methanol R, water R, acetonitrile R (30:30:40 V/V/V).
Test solution (a) Dissolve 35.0 mg of the substance to be examined in the solvent mixture and dilute to 50.0 mL with the solvent mixture.
Test solution (b) Dilute 3.0 mL of test solution (a) to 20.0 mL with the solvent mixture.
Reference solution (a) Dissolve 1.5 mg of fipronil for system suitability CRS (containing impurities A and B) in the solvent mixture and dilute to 2.0 mL with the solvent mixture.
Reference solution (b) Dilute 1.0 mL of test solution (a) to 100.0 mL with the solvent mixture. Dilute 2.0 mL of this solution to 10.0 mL with the solvent mixture.
Reference solution (c) Dissolve 35.0 mg of fipronil CRS in the solvent mixture and dilute to 50.0 mL with the solvent mixture. Dilute 3.0 mL of the solution to 20.0 mL with the solvent mixture.
Column:
— size: l = 0.15 m, Ø = 4.6 mm;
— stationary phase: end-capped octadecylsilyl silica gel for chromatography R (1.8 µm).
Mobile phase tetrahydrofuran R, methanol R2, water for chromatography R, acetonitrile R1 (0.5:30:30:40 V/V/V/V). Flow rate 1.0 mL/min.
Detection Spectrophotometer at 210 nm.
Injection 5 µL of test solution (a) and reference solutions (a) and (b).
Run time Twice the retention time of fipronil.
Identification of impurities Use the chromatogram supplied with fipronil for system suitability CRS and the chromatogram obtained with reference solution (a) to identify the peaks due to impurities A and B.
Relative retention With reference to fipronil (retention time = about 6 min): impurity A = about 1.3; impurity B = about 1.4.
System suitability Reference solution (a):
— resolution: minimum 2.5 between the peaks due to impurities A and B.
Calculation of percentage contents:
— for each impurity, use the concentration of fipronil in reference solution (b).
Limits:
— impurity B: maximum 3.5 per cent;
— impurity A: maximum 1.5 per cent;
— unspecified impurities: for each impurity, maximum 0.20 per cent;
— total: maximum 4.5 per cent;
— reporting threshold: 0.10 per cent.
Loss on drying (2.2.32)
Maximum 0.5 per cent, determined on 1.000 g by drying in an oven at 105 °C.
Sulfated ash (2.4.14)
Maximum 0.1 per cent, determined on 1.0 g in a platinum crucible.
ASSAY
Liquid chromatography (2.2.29) as described in the test for related substances with the following modification.
Injection Test solution (b) and reference solution (c).
Calculate the percentage content of C12H4Cl2F6N4OS taking into account the assigned content of fipronil CRS.
IMPURITIES
Specified impurities A, B.

A. 5-amino-1-[2,6-dichloro-4-(trifluoromethyl)phenyl]-4-[(trifluoromethyl)sulfanyl]-1H-pyrazole-3-carbonitrile,

B. 5-amino-1-[2,6-dichloro-4-(trifluoromethyl)phenyl]-4-[(trifluoromethyl)sulfonyl]-1H-pyrazole-3-carbonitrile.
Ph Eur






