(Ph. Eur. monograph 2280)
C32H40ClNO4 538.1 153439-40-8
Action and use
Histamine H1 receptor antagonist; antihistamine.
Preparation
Fexofenadine Tablets
DEFINITION
2-[4-[(1RS)-1-Hydroxy-4-[4-(hydroxydiphenylmethyl)piperidin-1-yl]butyl]phenyl]-2-methylpropanoic acid hydrochloride.
Content
98.0 per cent to 102.0 per cent (anhydrous substance).
CHARACTERS
Appearance
White or almost white powder.
Solubility
Slightly soluble in water, freely soluble in methanol, very slightly soluble in acetone.
It shows polymorphism (5.9).
IDENTIFICATION
A. Infrared absorption spectrophotometry (2.2.24).
Comparison fexofenadine hydrochloride CRS.
If the spectra obtained in the solid state show differences, dissolve the substance to be examined and the reference substance separately in methanol R, evaporate to dryness and record new spectra using the residues.
B. Dissolve 30 mg of the substance to be examined in a mixture of equal volumes of methanol R and water R; sonicate if necessary and dilute to 2 mL with the same mixture of solvents. The solution gives reaction (a) of chlorides (2.3.1).
TESTS
Impurity B
Liquid chromatography (2.2.29).
Test solution Dissolve 50.0 mg of the substance to be examined in the mobile phase and dilute to 100.0 mL with the mobile phase.
Reference solution (a) Dissolve the contents of a vial of fexofenadine impurity B CRS in the test solution and dilute to 2.0 mL with the test solution.
Reference solution (b) Dilute 1.0 mL of the test solution to 100.0 mL with the mobile phase. Dilute 1.0 mL of this solution to 10.0 mL with the mobile phase.
Column:
— size: l = 0.25 m, Ø = 4.6 mm;
— stationary phase: silica gel BC for chiral chromatography R (5 μm).
Mobile phase Mix 20 volumes of acetonitrile for chromatography R and 80 volumes of a buffer solution prepared as follows: to 1.15 mL of glacial acetic acid R add water for chromatography R, adjust to pH 4.0 ± 0.1 with dilute ammonia R1 and dilute to 1000 mL with water for chromatography R.
Flow rate 0.5 mL/min.
Detection Spectrophotometer at 220 nm.
Injection 20 μL.
Run time 1.2 times the retention time of fexofenadine.
Relative retention With reference to fexofenadine (retention time = about 20 min): impurity B = about 0.7.
System suitability Reference solution (a):
— resolution: minimum 3.0 between the peaks due to fexofenadine and impurity B.
Limits:
— correction factor: for the calculation of content, multiply the peak area of impurity B by 1.3;
— impurity B: not more than the area of the principal peak in the chromatogram obtained with reference solution (b) (0.1 per cent).
Related substances
Liquid chromatography (2.2.29).
Buffer solution Dissolve 6.64 g of sodium dihydrogen phosphate monohydrate R and 0.84 g of sodium perchlorate R in water for chromatography R, adjust to pH 2.0 ± 0.1 with phosphoric acid R and dilute to 1000 mL with water for chromatography R.
Solvent mixture Mix equal volumes of acetonitrile for chromatography R and the buffer solution.
Test solution (a) Dissolve 25.0 mg of the substance to be examined in 25.0 mL of the solvent mixture.
Test solution (b) Dilute 3.0 mL of test solution (a) to 50.0 mL with the mobile phase.
Reference solution (a) Dissolve 25.0 mg of fexofenadine hydrochloride CRS in the solvent mixture and dilute to 25.0 mL with the solvent mixture. Dilute 3.0 mL of this solution to 50.0 mL with the mobile phase.
Reference solution (b) Dilute 1.0 mL of test solution (a) to 100.0 mL with the mobile phase. Dilute 1.0 mL of this solution to 10.0 mL with the mobile phase.
Reference solution (c) Dissolve 1 mg each of fexofenadine impurity A CRS and fexofenadine impurity C CRS in 20 mL of reference solution (a) and dilute to 200.0 mL with the mobile phase.
Column:
— size: l = 0.25 m, Ø = 4.6 mm;
— stationary phase: phenylsilyl silica gel for chromatography R (5 μm).
Mobile phase Mix 350 volumes of acetonitrile for chromatography R and 650 volumes of the buffer solution; add 3 volumes of triethylamine R and mix.
Flow rate 1.5 mL/min.
Detection Spectrophotometer at 220 nm.
Injection 20 μL of test solution (a) and reference solutions (b) and (c).
Relative retention With reference to fexofenadine (retention time = about 9 min): impurity A = about 1.7;
impurity D = about 2.3; impurity C = about 3.2.
Run time 6 times the retention time of fexofenadine for test solution (a) and reference solution (c), twice the retention time of fexofenadine for reference solution (b).
System suitability Reference solution (c):
— resolution: minimum 10 between the peaks due to fexofenadine and impurity A.
Limits:
— correction factor: for the calculation of content, multiply the peak area of impurity A by 1.4;
— impurities A, C, D: not more than the area of the principal peak in the chromatogram obtained with reference solution (b) (0.1 per cent);
— unspecified impurities: for each impurity, not more than the area of the principal peak in the chromatogram obtained with reference solution (b) (0.10 per cent);
— total: not more than 3 times the area of the principal peak in the chromatogram obtained with reference solution (b) (0.3 per cent);
— disregard limit: 0.5 times the area of the principal peak in the chromatogram obtained with reference solution (b) (0.05 per cent).
Water (2.5.32)
Maximum 0.5 per cent.
Dissolve 1.000 g in anhydrous methanol R and dilute to 5.0 mL with the same solvent. Use 1.0 mL of this solution.
Sulfated ash (2.4.14)
Maximum 0.1 per cent, determined on 1.0 g.
ASSAY
Liquid chromatography (2.2.29) as described in the test for related substances with the following modifications.
Injection Test solution (b) and reference solution (a).
Run time Twice the retention time of fexofenadine.
Calculate the percentage content of fexofenadine hydrochloride from the declared content of fexofenadine
hydrochloride CRS.
IMPURITIES
Specified impurities A, B, C, D.
Other detectable impurities (the following substances would, if present at a sufficient level, be detected by one or other of the tests in the monograph. They are limited by the general acceptance criterion for other/unspecified impurities and/or by the general monograph Substances for pharmaceutical use (2034). It is therefore not necessary to identify these impurities for demonstration of compliance. See also 5.10. Control of impurities in substances for pharmaceutical use) E, F, G.

A. 2-[4-[4-[4-(hydroxydiphenylmethyl)piperidin-1-yl]butanoyl]phenyl]-2-methylpropanoic acid,

B. 2-[3-[(1RS)-1-hydroxy-4-[4-(hydroxydiphenylmethyl)piperidin-1-yl]butyl]phenyl]-2-methylpropanoic acid,

C. (1RS)-4-[4-(hydroxydiphenylmethyl)piperidin-1-yl]-1-[4-(1-methylethyl)phenyl]butan-1-ol,

D. methyl 2-[4-[(1RS)-1-hydroxy-4-[4-(hydroxydiphenylmethyl)piperidin-1-yl]butyl]phenyl]-2-methylpropanoate,

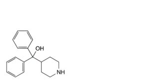
E. diphenyl(piperidin-4-yl)methanol,

F. 2-[4-[1-hydroxy-4-[4-(hydroxydiphenylmethyl)piperidin-1-yl]butyl]phenyl]propanoic acid,

G. 2-[4-[(1RS)-4-[4-(diphenylmethylidene)piperidin-1-yl]-1-hydroxybutyl]phenyl]-2-methylpropanoic acid.






