(Ph. Eur. monograph 1103)
C28H36N2O8 528.6 990-73-8
Action and use
Opioid receptor agonist; analgesic.
Preparations
Bupivacaine and Fentanyl Injection
Fentanyl Injection
DEFINITION
N-Phenyl-N-[1-(2-phenylethyl)piperidin-4-yl]propanamide dihydrogen 2-hydroxypropane-1,2,3-tricarboxylate.
Content
99.0 per cent to 101.0 per cent (dried substance).
CHARACTERS
Appearance
White or almost white powder.
Solubility
Soluble in water, freely soluble in methanol, sparingly soluble in ethanol (96 per cent), very slightly soluble in methylene chloride.
mp
About 152 °C, with decomposition.
IDENTIFICATION
Infrared absorption spectrophotometry (2.2.24).
Comparison fentanyl citrate CRS.
TESTS
Appearance of solution
The solution is clear (2.2.1) and colourless (2.2.2, Method II).
Dissolve 0.2 g of the substance to be examined in water R and dilute to 20 mL with the same solvent.
Related substances
Liquid chromatography (2.2.29).
Solvent mixture methanol R, water R (50:50 V/V).
Test solution Dissolve 39.3 mg of the substance to be examined in 2.5 mL of methanol R and dilute to 5.0 mL with water R.
Reference solution (a) Dilute 1.0 mL of the test solution to 10.0 mL with the solvent mixture. Dissolve the contents of a vial of fentanyl impurity mixture CRS (impurities C and D) in 1.0 mL of this solution, using sonication for 1 min if necessary.
Reference solution (b) Dilute 1.0 mL of the test solution to 100.0 mL with the solvent mixture. Dilute 1.0 mL of this solution to 10.0 mL with the solvent mixture.
Column:
— size: l = 0.15 m, Ø = 2.1 mm;
— stationary phase: end-capped ethylene-bridged phenylsilyl silica gel for chromatography (hybrid material) R (1.7 μm);
— temperature: 45 °C.
Mobile phase:
— mobile phase A: dissolve 0.8 g of ammonium acetate R in water for chromatography R, add 2 mL of trifluoroacetic acid R and dilute to 1000.0 mL with water for chromatography R;
— mobile phase B: add 2 mL of trifluoroacetic acid R to 950 mL of acetonitrile R1 and shake to homogenise; dissolve 0.8 g of ammonium acetate R in this solution and shake until complete dissolution, then dilute to 1000.0 mL with acetonitrile R1;
| Time (min) |
Mobile phase A (per cent V/V) |
Mobile phase B (per cent V/V) |
| 0 – 1 | 98 | 2 |
| 1 – 5 | 98 → 90 | 2 → 10 |
| 5 – 17 | 90 → 70 | 10 → 30 |
| 17 – 30 | 70 → 5 | 30 → 95 |
| 30 – 31 | 5 | 95 |
Flow rate 0.35 mL/min.
Detection Spectrophotometer at 210 nm.
Injection 5 μL.
Identification of impurities Use the chromatogram supplied with fentanyl impurity mixture CRS and the chromatogram obtained with reference solution (a) to identify the peaks due to impurities C and D.
Relative retention With reference to fentanyl (retention time = about 19 min): impurity D = about 0.8; impurity C = about 0.9.
System suitability Reference solution (a):
— resolution: minimum 5.0 between the peaks due to impurity C and fentanyl.
Calculation of percentage contents:
— for each impurity, use the concentration of fentanyl citrate in reference solution (b).
Limits:
— impurities C, D: for each impurity, maximum 0.15 per cent;
— unspecified impurities: for each impurity, maximum 0.10 per cent;
— total: maximum 0.4 per cent;
— reporting threshold: 0.05 per cent.
Loss on drying (2.2.32)
Maximum 0.5 per cent, determined on 1.000 g by drying in vacuo at 60 °C.
ASSAY
Dissolve 0.300 g in 50 mL of a mixture of 1 volume of anhydrous acetic acid R and 7 volumes of methyl ethyl ketone R.
Titrate with 0.1 M perchloric acid, determining the end-point potentiometrically (2.2.20).
1 mL of 0.1 M perchloric acid is equivalent to 52.86 mg of C28H36N2O8.
STORAGE
Protected from light.
IMPURITIES
Specified impurities C, D.
Other detectable impurities (the following substances would, if present at a sufficient level, be detected by one or other of the tests in the monograph. They are limited by the general acceptance criterion for other/unspecified impurities and/or by the general monograph Substances for pharmaceutical use (2034). It is therefore not necessary to identify these impurities for demonstration of compliance. See also 5.10. Control of impurities in substances for pharmaceutical use) A, B, E, F, G,H, I.

A. (1rs,4rs)-1-(2-phenylethyl)-4-(N-phenylpropanamido)piperidine N-oxide,

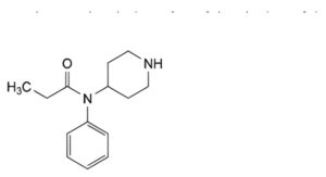
B. N-phenyl-N-(piperidin-4-yl)propanamide,

C. N-phenyl-N-[1-(2-phenylethyl)piperidin-4-yl]acetamide,

D. N-phenyl-1-(2-phenylethyl)piperidin-4-amine,

E. benzaldehyde,

F. N-phenylpiperidin-4-amine,

G. 1-benzyl-N-phenylpiperidin-4-amine,

H. N-(1-benzylpiperidin-4-yl)-N-phenylpropanamide,

I. (2-bromoethyl)benzene.






