(Ph. Eur. monograph 1012)
C8H15N7O2S3 337.4 76824-35-6
Action and use
Histamine H2 receptor antagonist; treatment of peptic ulceration.
Preparation
Famotidine Tablets
DEFINITION
3-[[[2-[(Diaminomethylidene)amino]thiazol-4-yl]methyl]sulfanyl]-N′-sulfamoylpropanimidamide.
Content
98.5 per cent to 101.5 per cent (dried substance).
CHARACTERS
Appearance
White or yellowish-white, crystalline powder or crystals.
Solubility
Very slightly soluble in water, freely soluble in glacial acetic acid, very slightly soluble in anhydrous ethanol, practically insoluble in ethyl acetate. It dissolves in dilute mineral acids.
It shows polymorphism (5.9).
IDENTIFICATION
Infrared absorption spectrophotometry (2.2.24).
Comparison: famotidine CRS.
If the spectra obtained show differences, suspend 0.10 g of the substance to be examined and 0.10 g of the reference substance separately in 5 mL of water R. Heat to boiling and allow to cool, scratching the wall of the tube with a glass rod to initiate crystallisation. Filter, wash the crystals with 2 mL of iced water R and dry in an oven at 80 °C at a pressure not exceeding 670 Pa for 1 h. Record new spectra using the residues.
TESTS
Appearance of solution
Dissolve 0.20 g in a 50 g/L solution of hydrochloric acid R, heating to 40 °C if necessary, and dilute to 20 mL with the same acid. The solution is clear (2.2.1) and not more intensely coloured than reference solution BY7 (2.2.2, Method II).
Related substances
Liquid chromatography (2.2.29).
Test solution: Dissolve 12.5 mg of the substance to be examined in mobile phase A and dilute to 25.0 mL with mobile phase A.
Reference solution (a): Dilute 1.0 mL of the test solution to 100.0 mL with mobile phase A. Dilute 1.0 mL of this solution to 10.0 mL with mobile phase A.
Reference solution (b): Dissolve 2.5 mg of famotidine impurity D CRS in methanol R and dilute to 10.0 mL with the same solvent. To 1.0 mL of the solution add 0.50 mL of the test solution and dilute to 100.0 mL with mobile phase A.
Reference solution (c): Dissolve 5.0 mg of famotidine for system suitability CRS (containing impurities A, B, C, D, F and G) in mobile phase A and dilute to 10.0 mL with mobile phase A.
Column:
— size: l = 0.25 m, Ø = 4.6 mm;
— stationary phase: end-capped octadecylsilyl silica gel for chromatography R (5 μm);
— temperature: 50 °C.
Mobile phase:
— mobile phase A: mix 6 volumes of methanol R, 94 volumes of acetonitrile R and 900 volumes of a 1.882 g/L solution of sodium hexanesulfonate R previously adjusted to pH 3.5 with acetic acid R;
— mobile phase B: acetonitrile R;
| Time
(min) |
Mobile phase A
(per cent V/V) |
Mobile phase B
(per cent V/V) |
Flow rate
(mL/min) |
| 0 – 23 | 100 → 96 | 0 → 4 | 1 |
| 23 – 27 | 96 | 4 | 1 → 2 |
| 27 – 47 | 96 → 78 | 4 → 22 | 2 |
Detection: Spectrophotometer at 265 nm.
Injection: 20 μL.
Identification of impurities: Use the chromatogram supplied with famotidine for system suitability CRS and the chromatogram obtained with reference solution (c) to identify the peaks due to impurities A, B, C, F and G; use the chromatogram obtained with reference solution (b) to identify the peak due to impurity D.
Relative retention: With reference to famotidine (retention time = about 21 min): impurity D = about 1.1; impurity C = about 1.2; impurity G = about 1.4; impurity F = about 1.5; impurity A = about 1.6; impurity B = about 2.0.
System suitability:
— retention time: famotidine = 19-23 min in all the chromatograms;
— resolution: minimum 3.5 between the peaks due to famotidine and impurity D in the chromatogram obtained with reference solution (b).
Limits:
— correction factors: for the calculation of content, multiply the peak areas of the following impurities by the corresponding correction factor: impurity A = 1.9; impurity B = 2.5; impurity C = 1.9; impurity F = 1.7; impurity G = 1.4;
— impurities C, D: for each impurity, not more than 3 times the area of the principal peak in the chromatogram obtained with reference solution (a) (0.3 per cent);
— impurities A, B, F, G: for each impurity, not more than 1.5 times the area of the principal peak in the chromatogram obtained with reference solution (a) (0.15 per cent);
— unspecified impurities: for each impurity, not more than the area of the principal peak in the chromatogram obtained with reference solution (a) (0.10 per cent);
— total: not more than 8 times the area of the principal peak in the chromatogram obtained with reference solution (a) (0.8 per cent);
— disregard limit: 0.5 times the area of the principal peak in the chromatogram obtained with reference solution (a) (0.05 per cent).
Loss on drying (2.2.32)
Maximum 0.5 per cent, determined on 1.000 g by drying in an oven at 80 °C at a pressure not exceeding 670 Pa for 5 h.
Sulfated ash (2.4.14)
Maximum 0.1 per cent, determined on 1.0 g.
ASSAY
Dissolve 0.120 g in 60 mL of anhydrous acetic acid R. Titrate with 0.1 M perchloric acid, determining the end-point potentiometrically (2.2.20).
1 mL of 0.1 M perchloric acid is equivalent to 16.87 mg of C8H15N7O2S3.
STORAGE
Protected from light.
IMPURITIES
Specified impurities A, B, C, D, F, G.
Other detectable impurities (the following substances would, if present at a sufficient level, be detected by one or other of the tests in the monograph. They are limited by the general acceptance criterion for other/unspecified impurities and/or by the general monograph Substances for pharmaceutical use (2034). It is therefore not necessary to identify these impurities for demonstration of compliance. See also 5.10. Control of impurities in substances for pharmaceutical use) E, H, I, J.

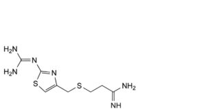
A. 3-[[[2-[(diaminomethylidene)amino]thiazol-4-yl]methyl]sulfanyl]propanimidamide,

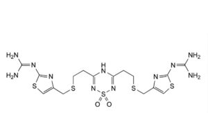
B. 3,5-bis[2-[[[2-[(diaminomethylidene)amino]thiazol-4-yl]methyl]sulfanyl]ethyl]-4H-1,2,4,6-thiatriazine 1,1-dioxide,

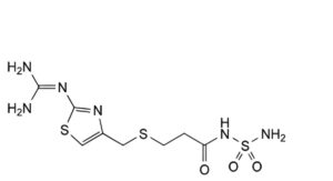
C. 3-[[[2-[(diaminomethylidene)amino]thiazol-4-yl]methyl]sulfanyl]-N-sulfamoylpropanamide,

D. 3-[[[2-[(diaminomethylidene)amino]thiazol-4-yl]methyl]sulfanyl]propanamide,

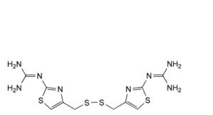
E. 2,2′-[disulfanediylbis(methylenethiazole-4,2-diyl)]diguanidine,

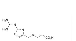
F. 3-[[[2-[(diaminomethylidene)amino]thiazol-4-yl]methyl]sulfanyl]propanoic acid,

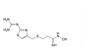
G. N-cyano-3-[[[2-[(diaminomethylidene)amino]thiazol-4-yl]methyl]sulfanyl]propanimidamide,

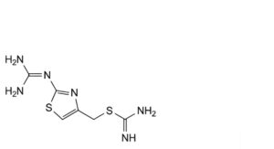
H. [2-[(diaminomethylidene)amino]thiazol-4-yl]methyl carbamimidothioate,

I. 3-[[[2-[(diaminomethylidene)amino]thiazol-4-yl]methyl]sulfinyl]-N-sulfamoylpropanamide,

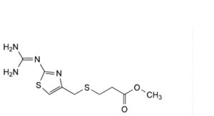
J. methyl 3-[[[2-[(diaminomethylidene)amino]thiazol-4-yl]methyl]sulfanyl]propanoate.






