Edition: BP 2025 (Ph. Eur. 11.6 update)
Estradiol Vaginal Tablets from different manufacturers, whilst complying with the requirements of the monograph, are not interchangeable unless otherwise justified and authorised.
Action and use
Estrogen.
DEFINITION
Estradiol Vaginal Tablets contain Estradiol Hemihydrate. They are formulated so that the medicament is released over a period of several hours.
PRODUCTION
A suitable dissolution test for lipophilic solid dosage forms is carried out to demonstrate the appropriate release of estradiol. The dissolution profile reflects the in vivo performance which in turn is compatible with the dosage schedule recommended by the manufacturer.
The vaginal tablets comply with the requirements stated under Vaginal Preparations and with the following requirements.
Content of estradiol, C18H24O2
90.0 to 110.0% of the stated amount.
IDENTIFICATION
A. Carry out the method for thin-layer chromatography, Appendix III A, using the following solutions.
(1) To a quantity of powdered tablets containing the equivalent of 0.38 mg of estradiol, add 50 mL of propan-2-ol and allow to disintegrate by stirring overnight. Centrifuge the resulting suspension, evaporate an aliquot of 40 mL of the supernatant to dryness and dissolve the residue in 3 mL of propan-2-ol. Evaporate to dryness, reconstitute with 300 μL of absolute ethanol to produce a solution containing the equivalent of 0.1% w/v of estradiol, centrifuge and use the supernatant liquid.
(2) 0.1% w/v of estradiol hemihydrate BPCRS in absolute ethanol.
CHROMATOGRAPHIC CONDITIONS
(a) Use as the coating silica gel (Kieselgel 60 HPTLC plates are suitable).
(b) Use the mobile phase as described below.
(c) Apply 5 μL of each solution.
(d) Develop the plate to 8 cm.
(e) After removal of the plate, dry in air and spray with ethanolic sulfuric acid (5%). Heat the plate at 105° for 15 minutes and examine under ultraviolet light (365 nm).
MOBILE PHASE
10 volumes of acetone and 90 volumes of dichloromethane.
CONFIRMATION
The principal spot in the chromatogram obtained with solution (1) corresponds in position, size and colour to that in the chromatogram obtained with solution (2).
B. In the test for Uniformity of content, the chromatogram obtained with solution (1) shows a peak with the same retention time as the peak due to estradiol in the chromatogram obtained with solution (2).
TESTS
Related substances
Carry out the method for liquid chromatography, Appendix III D, using the following solutions.
(1) To a quantity of powdered tablets, add absolute ethanol to produce a solution containing the equivalent of 0.00024% w/v of estradiol. Stir for a minimum of 16 hours, shake thoroughly, and centrifuge. Evaporate 10 mL of the supernatant to dryness. Dissolve the residue in 1 mL of water and add 7 mL of a mixture of 2 volumes of acetone and 5 volumes of toluene. Mix using a vortex mixer at 12 minute intervals for 1 hour and allow the mixture to stand for 15 minutes before evaporating 5 mL of the organic phase to dryness. Reconstitute the residue in 2 mL of absolute ethanol to produce a solution containing the equivalent of 0.00086% w/v of estradiol. Centrifuge and use the supernatant liquid.
(2) Dilute 1 volume of solution (1) to 100 volumes with absolute ethanol.
(3) 0.0025% w/v of estradiol hemihydrate BPCRS and 0.0000125% w/v of estrone BPCRS in absolute ethanol.
(4) Dilute 1 volume of solution (2) to 10 volumes with absolute ethanol.
CHROMATOGRAPHIC CONDITIONS
(a) Use a stainless steel column (25 cm × 4.6 mm) packed with end-capped octadecylsilyl silica gel for chromatography (5 μm) (Water Symmetry C18 is suitable).
(b) Use gradient elution and the mobile phase described below.
(c) Use a flow rate of 1 mL per minute.
(d) Use an ambient column temperature.
(e) Use a detection wavelength of 220 nm.
(f) Inject 100 μL of each solution.
MOBILE PHASE
Mobile phase A acetonitrile.
Mobile phase B water.
| Time (Minutes) | Mobile phase A (% v/v) | Mobile phase B (% v/v) | Comment |
|---|---|---|---|
| 0–35 | 80 → 15 | 20 → 85 | Linear gradient |
| 35–49 | 15 | 85 | Isocratic |
| 49–50 | 15 → 80 | 85 → 20 | Linear gradient |
| 50–55 | 80 | 20 | Re-equilibration |
When the chromatograms are recorded under the prescribed conditions, the retention times relative to estradiol (retention time about 26 min) are: impurity 2, about 0.7; impurity 3, about 0.96 and estrone, about 1.13.
SYSTEM SUITABILITY
The test is not valid unless, in the chromatogram obtained with solution (3), the resolution between estradiol and estrone is at least 7.0.
LIMITS
Identify any peaks in the chromatogram obtained with solution (1) due to impurity 3 and multiply the peak area by the correction factor 0.3.
In the chromatogram obtained with solution (1):
the area of any peak corresponding to impurity 2 is not greater than 1.5 times the area of the peak in the chromatogram obtained with solution (2) (1.5%);
the area of any peak corresponding to impurity 3 is not greater than 1.3 times the area of the peak in the chromatogram obtained with solution (2) (1.3%);
the area of any other secondary peak is not greater than the area of the principal peak in the chromatogram obtained with solution (2) (1.0%);
the sum of the areas of all secondary peaks is not greater than 4 times the area of the principal peak in the chromatogram obtained with solution (2) (4.0%).
Disregard any peak with an area less than the area of the principal peak in the chromatogram obtained with solution (4) (0.1%).
Uniformity of content
Tablets containing less than the equivalent of 2 mg and/or less than 2% w/w of estradiol comply with the requirements stated under Tablets using the following method of analysis. Carry out the method for liquid chromatography, Appendix III D, using the following solutions in solvent A.
Solvent A Equal volumes of acetonitrile R1 and water.
(1) Add 7 mL of solvent A to one tablet. Stir the mixture for a minimum of 16 hours with a magnetic stirrer, dilute to 10 mL with the same solvent and centrifuge. Dilute the supernatant liquid with solvent A, if necessary, to produce a solution expected to contain the equivalent of 0.0001% w/v of estradiol.
(2) 0.0001% w/v of estradiol hemihydrate BPCRS in solvent A.
(3) 0.0002% w/v of estradiol hemihydrate BPCRS and 0.00007% w/v of estrone BPCRS in solvent A.
CHROMATOGRAPHIC CONDITIONS
(a) Use a stainless steel column (30 cm × 3.9 mm) packed with end-capped octadecylsilyl silica gel for chromatography (4 μm) (Nova-Pak C18 is suitable).
(b) Use isocratic elution and the mobile phase described below.
(c) Use a flow rate of 1 mL per minute.
(d) Use an ambient column temperature.
(e) Use a detection wavelength of 205 nm.
(f) Inject 20 μL of each solution.
(g) When the chromatograms are recorded under the prescribed conditions the retention time of the peak due to estradiol is about 26 minutes.
MOBILE PHASE
450 volumes of water and 550 volumes of acetonitrile R1.
SYSTEM SUITABILITY
The test is not valid unless, in the chromatogram obtained with solution (3), the resolution between the peaks due to estradiol and estrone is at least 2.0.
DETERMINATION OF CONTENT
Calculate the content of C18H24O2 in each tablet using the declared content of C18H24O2 in estradiol hemihydrate BPCRS.
ASSAY
Use the average of the individual results determined in the test for Uniformity of content.
STORAGE
Estradiol Vaginal Tablets should be protected from light.
LABELLING
The quantity of active ingredient is stated in terms of the equivalent amount of estradiol.
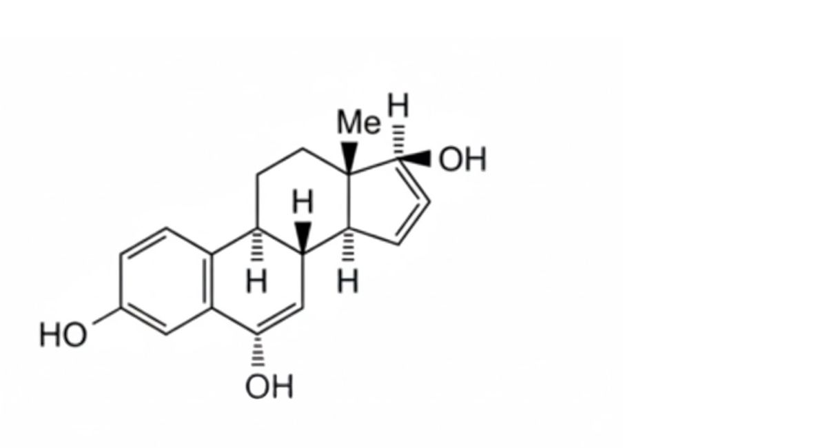
IMPURITIES
The impurities limited by the requirements of this monograph include those listed under Estradiol Hemihydrate and:

1. estra-1,3,5(10)-triene-3,6α,17β-triol (6α-hydroxy-estradiol),

2. 3,17β-dihydroxyestra-1,3,5(10)-trien-6-one (6-keto-estradiol),

3. estra-1,3,5(10),6-tetraene-3,17β-diol (Δ6-estradiol).






