(Ph. Eur. monograph 2923)
C17H18N3NaO3S 367.4 161796-78-7
Action and use
Proton pump inhibitor; treatment of peptic ulcer disease.
Preparations
Esomeprazole for Injection
Esomeprazole Gastro-resistant Capsules
Esomeprazole Gastro-resistant Tablets
DEFINITION
Sodium 5-methoxy-2-[(S)-[(4-methoxy-3,5-dimethylpyridin-2-yl)methanesulfinyl]-1H-benzimidazol-1-ide.
Content
99.0 per cent to 101.0 per cent (anhydrous substance).
CHARACTERS
Appearance
White or almost white, amorphous or crystalline powder, slightly hygroscopic.
Solubility
Freely soluble in water and in ethanol (96 per cent), soluble in propylene glycol, very slightly soluble in methylene chloride.
It shows polymorphism (5.9).
IDENTIFICATION
A. Infrared absorption spectrophotometry (2.2.24).
Comparison: esomeprazole sodium CRS.
If the spectra obtained in the solid state show differences, dissolve the substance to be examined and the reference substance separately in ethanol (96 per cent) R, evaporate to dryness and record new spectra using the residues.
B. Enantiomeric purity (see Tests).
C. Ignite 1 g and cool. Add 1 mL of water R to the residue and neutralise with hydrochloric acid R. Filter and dilute the filtrate to 4 mL with water R. 0.1 mL of the solution gives reaction (b) of sodium (2.3.1).
TESTS
Solution S
Dissolve 0.50 g in carbon dioxide-free water R and dilute to 25 mL with the same solvent.
Appearance of solution
Solution S is clear (2.2.1) and not more intensely coloured than reference solution Y7 (2.2.2, Method II).
pH (2.2.3)
10.3 to 11.3 for solution S.
Enantiomeric purity
Liquid chromatography (2.2.29): use the normalisation procedure. Prepare the solutions immediately before use.
Buffer solution pH 6.0: Mix 20 mL of a 179.1 g/L solution of disodium hydrogen phosphate dodecahydrate R and 70 mL of a 156.0 g/L solution of sodium dihydrogen phosphate R, then dilute to 1000.0 mL with water for chromatography R. Dilute 250 mL of this solution to 1000.0 mL with water for chromatography R.
Buffer solution pH 11.0: Mix 11 mL of a 95.0 g/L solution of trisodium phosphate dodecahydrate R and 22 mL of a 179.1 g/L solution of disodium hydrogen phosphate dodecahydrate R, then dilute to 1000.0 mL with water R.
Test solution: Dissolve 40 mg of the substance to be examined in buffer solution pH 11.0 and dilute to 50.0 mL with the same buffer solution. Dilute 1.0 mL of this solution to 25.0 mL with buffer solution pH 11.0.
Reference solution (a): Dissolve 2 mg of omeprazole CRS in buffer solution pH 11.0 and dilute to 50 mL with the same buffer solution. Dilute 1 mL of the solution to 10 mL with buffer solution pH 11.0.
Reference solution (b): Dilute 1.0 mL of the test solution to 100.0 mL with buffer solution pH 11.0. Dilute 1.0 mL of this solution to 20.0 mL with buffer solution pH 11.0.
Column:
— size: l = 0.10 m, Ø = 4.0 mm;
— stationary phase: α1-acid-glycoprotein silica gel for chiral separation R (5 μm).
Mobile phase: acetonitrile R, buffer solution pH 6.0 (15:85 V/V).
Flow rate: 0.6 mL/min.
Detection: Spectrophotometer at 302 nm.
Injection: 20 μL.
Run time: 1.5 times the retention time of esomeprazole.
Identification of impurities: Use the chromatogram obtained with reference solution (a) to identify the peak due to impurity B.
Relative retention: With reference to esomeprazole (retention time = about 4 min): impurity B = about 0.7.
System suitability: Reference solution (a):
— resolution: minimum 2.8 between the peaks due to impurity B and esomeprazole.
Limit:
— impurity B: maximum 0.2 per cent;
— reporting threshold: 0.05 per cent (reference solution (b)); disregard any peak other than impurity B and esomeprazole.
Related substances
Liquid chromatography (2.2.29). Prepare the solutions immediately before use.
Buffer solution pH 7.6: Dissolve 5.7 g of disodium hydrogen phosphate dihydrate R and 0.7 g of sodium dihydrogen phosphate monohydrate R in water for chromatography R and dilute to 1000.0 mL with the same solvent.
Test solution: Dissolve 10 mg of the substance to be examined in mobile phase A and dilute to 50.0 mL with mobile phase A.
Reference solution (a): Dissolve 1 mg of omeprazole CRS and 1 mg of omeprazole impurity D CRS in mobile phase A and dilute to 50 mL with mobile phase A.
Reference solution (b): Dilute 1.0 mL of the test solution to 100.0 mL with mobile phase A. Dilute 1.0 mL of this solution to 10.0 mL with mobile phase A.
Column:
— size: l = 0.10 m, Ø = 4.6 mm;
— stationary phase: end-capped octadecylsilyl amorphous organosilica polymer for chromatography R (3.5 μm).
Mobile phase:
— mobile phase A: mix 100 mL of acetonitrile R and 100 mL of buffer solution pH 7.6 and dilute to 1000.0 mL with water for chromatography R;
— mobile phase B: mix 10 mL of buffer solution pH 7.6 and 800 mL of acetonitrile R and dilute to 1000.0 mL with water for chromatography R;
| Time
(min) |
Mobile phase A
(per cent V/V) |
Mobile phase B
(per cent V/V) |
| 0 – 2 | 100 | 0 |
| 2 – 12 | 100 → 80 | 0 → 20 |
| 12 – 32 | 80 → 0 | 20 → 100 |
Flow rate: 1.0 mL/min.
Detection: Spectrophotometer at 302 nm.
Injection; 20 μL.
Identification of impurities; Use the chromatogram obtained with reference solution (a) to identify the peak due to impurity D.
Relative retention: With reference to esomeprazole (retention time = about 16 min): impurity D = about 0.9.
System suitability: Reference solution (a):
— resolution: minimum 2.0 between the peaks due to impurity D and omeprazole.
Calculation of percentage contents:
— for each impurity, use the concentration of esomeprazole sodium in reference solution (b).
Limits:
— impurity D: maximum 0.2 per cent;
— unspecified impurities: for each impurity, maximum 0.10 per cent;
— total: maximum 0.5 per cent;
— reporting threshold: 0.05 per cent.
Water (2.5.12)
Maximum 4.0 per cent, determined on 0.300 g.
ASSAY
Dissolve 0.300 g in 50 mL of carbon dioxide-free water R. Titrate with 0.1 M hydrochloric acid, determining the end-point potentiometrically (2.2.20).
1 mL of 0.1 M hydrochloric acid is equivalent to 36.74 mg of C17H18N3NaO3S.
STORAGE
In an airtight container, protected from light.
IMPURITIES
Specified impurities B, D.
Other detectable impurities (the following substances would, if present at a sufficient level, be detected by one or other of the tests in the monograph. They are limited by the general acceptance criterion for other/unspecified impurities and/or by the general monograph Substances for pharmaceutical use (2034). It is therefore not necessary to identify these impurities for demonstration of compliance. See also 5.10. Control of impurities in substances for pharmaceutical use) A, C, E, F, G.

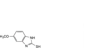
A. 5-methoxy-1H-benzimidazole-2-thiol,

B. 5-methoxy-2-[(R)-(4-methoxy-3,5-dimethylpyridin-2-yl)methanesulfinyl]-1H-benzimidazole ((R)-omeprazole),

C. 5-methoxy-2-[[(4-methoxy-3,5-dimethylpyridin-2-yl)methyl]sulfanyl]-1H-benzimidazole (ufiprazole),

D. 5-methoxy-2-[(4-methoxy-3,5-dimethylpyridin-2-yl)methanesulfonyl]-1H-benzimidazole (omeprazole sulfone),

E. 4-methoxy-2-[[(RS)-5-methoxy-1H-benzimidazole-2-sulfinyl]methyl]-3,5-dimethylpyridine 1-oxide,

F. 8-methoxy-1,3-dimethyl-12-sulfanylidenepyrido[1′,2′:3,4]imidazo[1,2-a]benzimidazol-2(12H)-one,

G. 9-methoxy-1,3-dimethyl-12-sulfanylidenepyrido[1′,2′:3,4]imidazo[1,2-a]benzimidazol-2(12H)-one.






